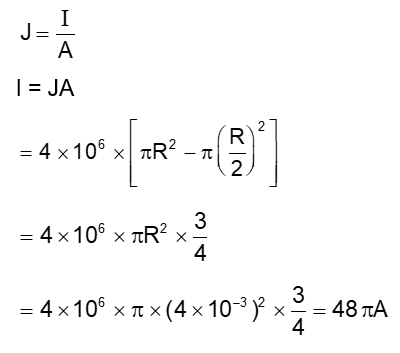
The current density in a cylindrical wire of radius 4 mm is 4 $\times 10^6 \mathrm{Am}^{-2}$. The current through the outer portion of the wire between radial distance $\frac{R}{2}$ and $R$ is $\_\_\_\_$ $\pi \mathrm{A}$.
Hello 👋 Welcome to Competishun – India’s most trusted platform for JEE & NEET preparation. Need help with JEE / NEET courses, fees, batches, test series or free study material? Chat with us now 👇