Competishun Header

Report Issue

JEE ADVANCE 2010
paper 1
Question
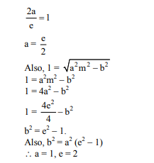
The line $2 x+y=1$ is tangent to the hyperbola $\frac{x^2}{a^2}-\frac{y^2}{b^2}=1$. If this line passes through the point of intersection of the nearest directrix and the $x$-axis, then the eccentricity of the hyperbola is
Write Your Answer
✓ Correct! Well done.
✗ Incorrect. Try again or view the solution.
Solution
Question Tags
JEE Advance
Mathematics
Easy
Start Preparing for JEE with Competishun
Filters 0
JEE Main
JEE Advance
Easy
Medium
Hard
Showing 18 questions
QJEE Main 20242024
The number of species from the following that have pyramidal geometry around the central atom is $\_\_\_\_$
$...
JEE MainChemistryEasy
View Solution
QJEE Main 20242024
The number of unpaired d-electrons in $\left[\mathrm{Co}\left(\mathrm{H}_2 \mathrm{O}\right)_6\right]^{3+}$ is $\_\_\_\_$
JEE MainChemistryEasy
View Solution
QJEE Main 20242024
A first row transition metal in its +2 oxidation state has a spin-only magnetic moment value of 3.86 BM. The...
JEE MainChemistryEasy
View Solution
QJEE Main 20242024
For a strong electrolyte, a plot of molar conductivity against (concentration) ${ }^{1 / 2}$ is a straight line, with...
JEE MainChemistryEasy
View Solution
QJEE Main 20242024
Given below are two statements:
Statement I : The correct order of first ionization enthalpy values of Li, Na, F...
JEE MainChemistryEasy
View Solution
QJEE Main 20242024
Choose the Incorrect Statement about Dalton's Atomic Theory
JEE MainChemistryEasy
View Solution
QJee Main 20242024
Let the slope of the line $45 x+5 y+3=0$ be $27 r_1+\frac{9 r_2}{2}$ for some $r_1, r_2 \in R$. Then...
JEE MainMathematicsEasy
View Solution
QJee Main 20242024
Let the set $C=\left\{(x, y) \mid x^2-2^y=2023, x, y \in \mathbb{N}\right\}$. Then $\sum_{(x, y) \in C}(x+y)$ is equal to
JEE MainMathematicsMedium
View Solution
QJee Main 20242024
Remainder when $64^{32^{32}}$ is divided by 9 is equal to
JEE MainMathematicsMedium
View Solution
QJee Main 20242024
Let $f(x)=\sqrt{\lim _{r \rightarrow x}\left\{\frac{2 r^2\left[(f(r))^2-f(x) f(r)\right]}{r^2-x^2}-r^3 e^{\frac{f(r)}{r}}\right\}}$ be differentiable in $(-\infty, 0) \cup(0, \infty)$ and $f(1)=1$. Then the value...
JEE MainMathematicsHard
View Solution
Q JEE MAIN 20242024
The number of symmetric relations defined on the set $\{1,2,3,4\}$ which are not reflexive is
JEE MainMathematicsEasy
View Solution
QJee Main 20242024
Let $O$ be the origin, and $M$ and $N$ be the points on the lines $\frac{x-5}{4}=\frac{y-4}{1}=\frac{z-5}{3}$ and $\frac{x+8}{12}=\frac{y+2}{5}=\frac{z+11}{9}$ respectively such...
JEE MainMathematicsMedium
View Solution
QJEE Main 20242024
Fuel cell, using hydrogen and oxygen as fuels,
A. has been used in spaceship
B. has as efficiency...
JEE MainChemistryEasy
View Solution
QJEE Main 20242024
If an iron (III) complex with the formula $\left[\mathrm{Fe}\left(\mathrm{NH}_3\right)_{\mathrm{x}}(\mathrm{CN})_{\mathrm{y}}\right]^{-}$has no electron in its $\mathrm{e}_{\mathrm{g}}$ orbital, then the value of $\mathrm{x}+\mathrm{y}$...
JEE MainChemistryEasy
View Solution
QJee Main 20242024
Let the area of the region $\left\{(x, y): 0 \leq x \leq 3,0 \leq y \leq \min \left\{\mathrm{x}^2+2,2 \mathrm{x}+2\right\}\right\}$ be...
JEE MainMathematicsMedium
View Solution
QJEE Main 20242024
The correct order of the first ionization enthalpy is
JEE MainChemistryEasy
View Solution
QJEE MAIN 20242024
The variance $\sigma^2$ of the data
JEE MainMathematicsEasy
View Solution
QJee Main 20242024
If $\int_{\frac{\pi}{6}}^{\frac{\pi}{3}} \sqrt{1-\sin 2 x} d x=\alpha+\beta \sqrt{2}+\gamma \sqrt{3}$, where $\alpha, \beta$ and $\gamma$ are rational numbers, then $...
JEE MainMathematicsMedium
View Solution
Check this project | Best Developer Portfolio