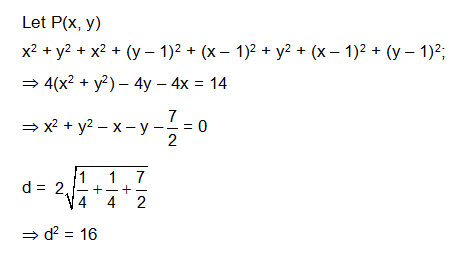
The locus of a point, which moves such that the sum of squares of its distances from the points $(0,0),(1,0)$, $(0,1)(1,1)$ is 18 units, is a circle of diameter $d$. Then $d 2$ is equal to $\_\_\_\_$ .
Hello 👋 Welcome to Competishun – India’s most trusted platform for JEE & NEET preparation. Need help with JEE / NEET courses, fees, batches, test series or free study material? Chat with us now 👇