Skip to content
Competishun Header
Home
Courses
Test Series
Books
Free Resources
Result
Contact Us
Free Resources
Courses
Test Series
JEE Solutions
NCERT PDF
Books
Gallery
Result
Blogs
Watch JEE Free Lectures
↗
Download Our App
↗
Follow Us
Login / Register
Back
Report
Report Issue
×
Wrong Answer
Typo Error
Image Issue
Not Clear
Other
JEE MAIN 2023
24-01-2023 S1
Question
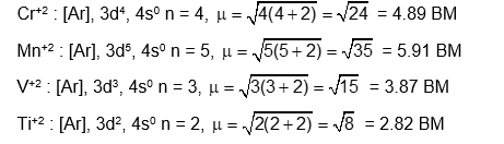
The magnetic moment of a transition metal compound has been calculated to be 3.87 B.M. The metal ion is
Select the correct option:
A
$\mathrm{Cr}^{2+}$
B
$\mathrm{Mn}^{2+}$
C
$\mathrm{V}^{2+}$
D
$\mathrm{Ti}^{2+}$
✓ Correct! Well done.
✗ Incorrect. Try again or view the solution.
View Solution
Solution
Question Tags
JEE Main
Chemistry
Easy
Start Preparing for JEE with Competishun
YouTube
Books
App
Tests
Filters
0
Subject
▾
Exam
▾
JEE Main
JEE Advance
Difficulty
▾
Easy
Medium
Hard
Year
▾
✕ Clear All
Showing
18
questions
Q
JEE MAIN_2026
A mass of 1 kg is kept on a inclined plane with $30^{\circ}$ inclination with respect to horizontal plane and...
JEE Main
Physics
Medium
View Solution
→
Q
JEE MAIN_2026
In an experiment to determine the resistance of a given wire using Ohm's law, the voltmeter and ammeter readings are...
JEE Main
Physics
Hard
View Solution
→
Q
JEE MAIN_2026
Match List - I with List - II where h (Planck's constant), G (gravitational constant) and c (speed of light...
JEE Main
Physics
Hard
View Solution
→
Q
JEE MAIN_2026
In the given circuit below inductance values of $L_1, L_2$ and $L_3$ are same. The magnetic energy stored in the...
JEE Main
Physics
Medium
View Solution
→
Q
JEE MAIN_2026
The charged particle moving in a uniform magnetic field of $(3 \hat{i}+2 \hat{j}) \mathrm{T}$ has an acceleration $...
JEE Main
Physics
Easy
View Solution
→
Q
JEE MAIN_2026
A transverse wave on a string is described by $y=3 \sin (36 t+0.018 x+\pi / 4)$. where $x, y$ are...
JEE Main
Physics
Medium
View Solution
→
Q
JEE MAIN_2026
From 18 m height above the ground a ball is dropped from rest. The height above the ground at which...
JEE Main
Physics
Easy
View Solution
→
Q
JEE MAIN_2026
A cube has side length 5 cm and modulus of rigidity $10^5 \mathrm{~N} / \mathrm{m}^2$. The displacement produced by a...
JEE Main
Physics
Easy
View Solution
→
Q
JEE MAIN_2026
For the given logic circuit, which of the following inputs combination will make both LED-1 and LED-2 to glow?
JEE Main
Physics
Hard
View Solution
→
Q
JEE MAIN_2026
An a.c. source of angular frequency $\omega$ is connected across a resistor R and a capacitor C in series. The...
JEE Main
Physics
Medium
View Solution
→
Q
JEE MAIN_2026
Two wires as shown in the figure below, made of steel and have breaking stress of $...
JEE Main
Physics
Medium
View Solution
→
Q
JEE MAIN_2026
A compound microscope is designed with two symmetric biconvex lenses. The objective lens is cut vertically, creating two identical plano-convex...
JEE Main
Physics
Medium
View Solution
→
Q
JEE MAIN_2026
Light source having wavelength 331 nm is used to generate photo-electrons whose stopping potential is 0.2 V . The work...
JEE Main
Physics
Easy
View Solution
→
Q
JEE MAIN_2026
A ray of light passing through an equilateral prism is having velocity $2.12 \times 10^8 \mathrm{~m} / \mathrm{s}$ in the...
JEE Main
Physics
Easy
View Solution
→
Q
JEE MAIN_2026
In Young's double slit experiment, the fringe width of the interference pattern produced on the screen is $2.4 \mu \mathrm{~m}$....
JEE Main
Physics
Easy
View Solution
→
Q
JEE MAIN_2026
Refer to the figure given below, current between terminals A and B is $\_\_\_\_$ A.
JEE Main
Physics
Medium
View Solution
→
Q
JEE MAIN_2026
A displacement current of 4.0 A can be set up in the space between two parallel plates of $...
JEE Main
Physics
Easy
View Solution
→
Q
JEE MAIN_2026
In the hydrogen atom, the electron makes a transition from the higher orbit (i) to a lower orbit (f). The...
JEE Main
Physics
Medium
View Solution
→
Load More Questions
Check this project
|
Best Developer Portfolio
Scan the code
Powered by
Joinchat
Hello 👋 Welcome to Competishun – India’s most trusted platform for JEE & NEET preparation.
Need help with JEE / NEET courses, fees, batches, test series or free study material? Chat with us now 👇
Open Chat