Skip to content
Competishun Header
Home
Courses
Test Series
Books
Free Resources
Result
Contact Us
Free Resources
Courses
Test Series
JEE Solutions
NCERT PDF
Books
Gallery
Result
Blogs
Watch JEE Free Lectures
↗
Download Our App
↗
Follow Us
Login / Register
Back
Report
Report Issue
×
Wrong Answer
Typo Error
Image Issue
Not Clear
Other
JEE MAIN 2019
12-4-19_S1
Question
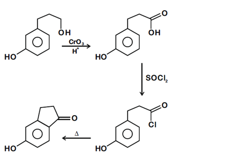
The major product of the following reaction is
Options
A
B
C
D
✓ Correct! Well done.
✗ Incorrect. Try again or view the solution.
View Solution
Solution
Question Tags
JEE Main
Chemistry
Medium
Start Preparing for JEE with Competishun
YouTube
Books
App
Tests
Filters
0
Subject
▾
Exam
▾
JEE Main
JEE Advance
Difficulty
▾
Easy
Medium
Hard
Year
▾
✕ Clear All
Showing
18
questions
Q
JEE-Main 2024
2024
Number of compounds from the following with zero dipole moment is $\_\_\_\_$ . $...
JEE Main
Chemistry
Easy
View Solution
→
Q
JEE-Main 2024
2024
Considering acetic acid dissociates in water, its dissociation constant is $6.25 \times 10^{-5}$. If 5 mL of acetic acid is...
JEE Main
Chemistry
Easy
View Solution
→
Q
JEE-Main 2024
2024
The product © in the following sequence of reactions has $\_\_\_\_$ $\pi$ bonds.
JEE Main
Chemistry
Easy
View Solution
→
Q
JEE-Main 2024
2024
Consider the following single step reaction in gas phase at constant temperature. $$ 2 \mathrm{~A}_{(\mathrm{p})}+\mathrm{B}_{(\mathrm{g})} \rightarrow \mathrm{C}_{(\mathrm{p})} $$ The initial...
JEE Main
Chemistry
Easy
View Solution
→
Q
JEE-Main 2024
2024
In the Claisen-Schmidt reaction to prepare 351 g of dibenzalacetone using 87 g of acetone, the amount of benzaldehyde required...
JEE Main
Chemistry
Easy
View Solution
→
Q
JEE-Main 2024
2024
Using the given figure, the ratio of $R_f$ values of sample A and sample C is $\mathrm{x} \times 10^{-2}$. Value...
JEE Main
Chemistry
Easy
View Solution
→
Q
JEE-Main 2024
2024
In an atom, total number of electrons having quantum numbers $n=4,\left|m_1\right|=1$ and $m_s=-\frac{1}{2}$ is
JEE Main
Chemistry
Easy
View Solution
→
Q
JEE-Main 2024
2024
X of enthanamine was subjected to reaction with $\mathrm{NaNO}_2 / \mathrm{HCl}$ followed by hydrolysis to liberate $\mathrm{N}_2$ and HCl ....
JEE Main
Chemistry
Easy
View Solution
→
Q
JEE-Main 2024
2024
The fusion of chromite ore with sodium carbonate in the presence of air leads to the formation of products A...
JEE Main
Chemistry
Easy
View Solution
→
Q
JEE-Main 2024
2024
Combustion of 1 mole of benzene is expressed at $$ \mathrm{C}_6 \mathrm{H}_6(1)+\frac{15}{2} \mathrm{O}_2(\mathrm{~g}) \rightarrow \mathrm{CO}_2(\mathrm{~g})+3 \mathrm{H}_2 \mathrm{O}(1) . $$ The...
JEE Main
Chemistry
Easy
View Solution
→
Q
JEE-Main 2024
2024
Coagulation of egg, on heating is because of :
JEE Main
Chemistry
Easy
View Solution
→
Q
JEE-Main 2024
2024
The correct statements from the following are :
JEE Main
Chemistry
Easy
View Solution
→
Q
JEE-Main 2024
2024
Identify A and B in the given chemical reaction sequence : -
JEE Main
Chemistry
Easy
View Solution
→
Q
JEE-Main 2024
2024
The number of ions from the following that have the ability to liberate hydrogen from a dilute acid is $\_\_\_\_$...
JEE Main
Chemistry
Easy
View Solution
→
Q
JEE-Main 2024
2024
The number of complexes from the following with no electrons in the $\mathrm{t}_2$ orbital is $\_\_\_\_$ . $$ \mathrm{TiCl}_4,\left[\mathrm{MnO}_4\right]^{-},\left[\mathrm{FeO}_4\right]^{2-},\left[\mathrm{FeCl}_4\right]^{-},\left[\mathrm{CoCl}_4\right]^{2-} $$
JEE Main
Chemistry
Easy
View Solution
→
Q
JEE Main 2024
2024
A series LCR circuit is subjected to an AC signal of $200 \mathrm{~V}, 50 \mathrm{~Hz}$. If the voltage across the...
JEE Main
Physics
Easy
View Solution
→
Q
JEE Main 2024
2024
A man carrying a monkey on his shoulder does cycling smoothly on a circular track of radius 9 m and...
JEE Main
Physics
Easy
View Solution
→
Q
JEE Main 2024
2024
The electrostatic force $\left(\overrightarrow{\mathrm{F}}_1\right)$ and magnetic force ( $\overrightarrow{\mathrm{F}}_2$ ) acting on a charge q moving with velocity v can...
JEE Main
Physics
Easy
View Solution
→
Load More Questions
Check this project
|
Best Developer Portfolio
Scan the code
Powered by
Joinchat
Hello 👋 Welcome to Competishun – India’s most trusted platform for JEE & NEET preparation.
Need help with JEE / NEET courses, fees, batches, test series or free study material? Chat with us now 👇
Open Chat