Competishun Header

Report Issue

JEE MAIN 2026
23-01-2026 S1
Question
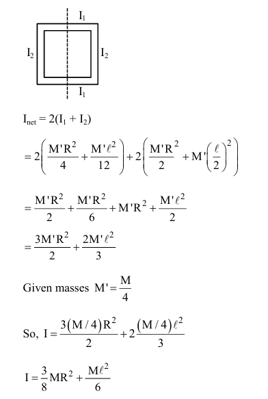
The moment of inertia of a square loop made of four uniform solid cylinders, each having radius $R$ and length $\mathrm{L}(\mathrm{R}<\mathrm{L})$ about an axis passing through the mid points of opposite sides, is (Take the mass of the entire loop as $M$ ):
Options
Options Image
A
B
C
D
✓ Correct! Well done.
✗ Incorrect. Try again or view the solution.
Solution
Solution Image
Question Tags
JEE Main
Physics
Hard
Start Preparing for JEE with Competishun
Video Solution
BY competishun
Video Solution
Watch Solution
Filters 0
JEE Main
JEE Advance
Easy
Medium
Hard
Showing 18 questions
QJEE Main 20242024
Let y=y(x) be the solution of the differential equation $(x+y+2)^2 d x=d y, y(0)=-2$. Let the maximum and minimum values...
JEE MainMathematicsEasy
View Solution
QJEE Main 20242024
Consider a line L passing through the points $\mathrm{P}(1,2,1)$ and $\mathrm{Q}(2,1,-1)$. If the mirror image of the point $\mathrm{A}(2,2,2)$ in...
JEE MainMathematicsEasy
View Solution
QJEE Main 20242024
Consider a triangle ABC having the vertices $\mathrm{A}(1,2), \mathrm{B}(\alpha, \beta)$ and $\mathrm{C}(\gamma, \delta)$ and angles $\angle \mathrm{ABC}=\frac{\pi}{6}$ and $...
JEE MainMathematicsEasy
View Solution
QJEE Main 20242024
In a tournament, a team plays 10 matches with probabilities of winning and losing each match as $\frac{1}{3}$ and $\frac{2}{3}$...
JEE MainMathematicsEasy
View Solution
QJEE Main 20242024
There are 4 men and 5 women in Group A, and 5 men and 4 women in Group B. If...
JEE MainMathematicsEasy
View Solution
QJEE Main 20242024
Let 𝐴 be a 2 × 2 symmetric matrix such that $A\left[\begin{array}{l}1 \\ 1\end{array}\right]=\left[\begin{array}{l}3 \\ 7\end{array}\right]$ and the determinant of...
JEE MainMathematicsEasy
View Solution
QJEE Main 20242024
Consider the function $\mathrm{f}: \mathbb{R} \rightarrow \mathbb{R}$ defined by $f(x)=\frac{2 x}{\sqrt{1+9 x^2}}$. If the composition of $...
JEE MainMathematicsEasy
View Solution
QJEE Main 20242024
Let f: ℝ → ℝ be a thrice differentiable function such that f(0) = 0, f(1) = 1, f(2) =...
JEE MainMathematicsEasy
View Solution
QJEE Main 20242024
If $\int \operatorname{cosec}^5 x d x=\alpha \cot x \operatorname{cosec} x\left(\operatorname{cosec}^2 x+\frac{3}{2}\right)+\beta \log _e\left|\tan \frac{x}{2}\right|+C$ where $\alpha, \beta \in \mathbb{R}$ and...
JEE MainMathematicsEasy
View Solution
QJEE Main 20242024
Let $S=\left\{\sin ^2 2 \theta:\left(\sin ^4 \theta+\cos ^4 \theta\right) x^2+(\sin 2 \theta) x+\left(\sin ^6 \theta+\cos ^6 \theta\right)=0\right.$ has real roots...
JEE MainMathematicsEasy
View Solution
QJEE Main 20242024
Let P the point of intersection of the lines $\frac{x-2}{1}=\frac{y-4}{5}=\frac{z-2}{1}$ and $\frac{x-3}{2}=\frac{y-2}{3}=\frac{z-3}{2}$. Then, the shortest distance of $P$ from the...
JEE MainMathematicsEasy
View Solution
QJEE Main 20242024
Let $y=y(x)$ be the solution of the differential equation $\left(x^2+4\right)^2 d y+\left(2 x^3 y+8 x y-2\right) d x=0$. If $y(0)=$...
JEE MainMathematicsEasy
View Solution
QJEE Main 20242024
Given the inverse trigonometric function assumes principal values only. Let $x, y$ be any two real numbers in $[-1,1]$ such...
JEE MainMathematicsEasy
View Solution
QJEE Main 20242024
Let P Q be a chord of the parabola $y^2=12 x$ and the midpoint of PQ be at $(4,1)$. Then,...
JEE MainMathematicsEasy
View Solution
QJEE Main 20242024
Consider a hyperbola $H$ having centre at the origin and foci and the $x$-axis. Let $C_1$ be the circle touching...
JEE MainMathematicsEasy
View Solution
QJEE Main 20242024
If the coefficients of $x^4, x^5$ and $x^6$ in the expansion of $(1+x)^n$ are in the arithmetic progression, then the...
JEE MainMathematicsEasy
View Solution
QJEE Main 20242024
Let f(x) = 3 $ \sqrt{\mathrm{x}-2}+\sqrt{4-\mathrm{x}}$ be a real valued function. If $\alpha$ and $\beta$ are respectively the minimum and...
JEE MainMathematicsEasy
View Solution
QJEE Main 20242024
If the value of the integral $\int_{-1}^1 \frac{\cos \alpha x}{1+3^x} d x$ is $\frac{2}{\pi}$. Then, a value of $\alpha$ is
JEE MainMathematicsEasy
View Solution
Check this project | Best Developer Portfolio