Competishun Header

Report Issue

JEE MAIN 2019
12-04-2019 S2
Question
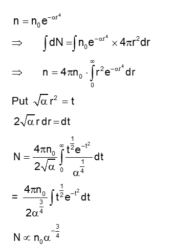
The number density of molecules of a gas depends on their distance $r$ from the origin as $n(r)=n_0 e^{\alpha r^4}$. Then the total number of molecules is proportional to
Select the correct option:
A
$n_0 \alpha^{-3 / 4}$
B
$\sqrt{n_0} \alpha^{1 / 2}$
C
$\mathrm{n}_0 \alpha^{1 / 4}$
D
$n_0 \alpha^{-3}$
✓ Correct! Well done.
✗ Incorrect. Try again or view the solution.
Solution
Question Tags
JEE Main
Physics
Medium
Start Preparing for JEE with Competishun
Filters 0
JEE Main
JEE Advance
Easy
Medium
Hard
Showing 18 questions
QJEE MAIN_2026
Three masses $m_1=4 \mathrm{~kg}, m_2=4 \mathrm{~kg}$ and $m_3=6 \mathrm{~kg}$ are suspended from a fixed smooth frictionless pulley as shown in...
JEE MainPhysicsMedium
View Solution
QJEE MAIN_2026
When one moves from a point 16 km below the earth's surface to a point 16 km above the earth's...
JEE MainPhysicsMedium
View Solution
QJEE MAIN_2026
$\mathrm{L}, \mathrm{C}$ and R represents physical quantities inductance, capacitance and resistance respectively. The dimensional formula $\mathrm{ML}^2 \mathrm{~T}^{-4} \mathrm{~A}^{-2}$ corresponds to...
JEE MainPhysicsHard
View Solution
QJEE MAIN_2026
In a Vernier calipers, when both jaws touch each other, zero of the Vernier scale is shifted to the right...
JEE MainPhysicsEasy
View Solution
QJEE MAIN_2026
A body of mass 2 kg begins to move under the influence of time dependent force $...
JEE MainPhysicsMedium
View Solution
QJEE Mains 20262026
A salt with few drops of conc. HCl gives apple green colour in flame test. The group precipitate of the...
JEE MainChemistryMedium
View Solution
QJEE Mains 20262026
Consider the three aromatic molecules (P, Q and R) whose structures have been given below :
JEE MainChemistryMedium
View Solution
QJEE Mains 20262026
Match the following
JEE MainChemistryEasy
View Solution
QJEE MAIN_2026
The velocity of a particle executing simple harmonic motion along $x$-axis is described as $v^2=50-x^2$, where x represents displacement. If...
JEE MainPhysicsEasy
View Solution
QJEE MAIN_2026
The surface tension of a soap solution is $3.5 \times 10^{-2} \mathrm{~N} / \mathrm{m}$. The work required to increase the...
JEE MainPhysicsMedium
View Solution
QJEE MAIN_2026
A 1 kg block subjected to two simultaneous forces $(2 \hat{\mathrm{i}}+3 \hat{\mathrm{j}}+4 \hat{\mathrm{k}}) \mathrm{N}$ and $(3 \hat{i}-\hat{j}-2 \hat{k}) \mathrm{N}$ is...
JEE MainPhysicsEasy
View Solution
QJEE MAIN_2026
An unpolarized light is incident on the plane interface of air-dielectric medium shown in figure. If the incident angle is...
JEE MainPhysicsHard
View Solution
QJEE MAIN_2026
The voltage and the current between A and B points shown in the circuit are _____.
JEE MainPhysicsMedium
View Solution
QJEE Main 20262026
For the given molecule, "x", the preferred site for the attack of the electrophile is :
JEE MainChemistryEasy
View Solution
QJEE Mains 20262026
In IUPAC nomenclature, the correct order of decreasing priority of functional group is:
JEE MainChemistryEasy
View Solution
QJEE Main 20262026
Given below are two statements:
Statement (I) : Benzyl chloride reacts faster in $\mathrm{S}_{\mathrm{N}} 1$ mechanism than ethyl chloride.
...
JEE MainPhysicsEasy
View Solution
QJEE MAIN_2026
Consider a circuit consisting of a capacitor $(20 \mu \mathrm{~F})$, resistor $(100 \Omega)$ and two identical diodes as shown in...
JEE MainPhysicsMedium
View Solution
QJEE MAIN_2026
Given below are two statements:
Statement (I) : 1, 2, 3-Trihydroxypropane can be separated from water by simple distillation.
Statement...
JEE MainChemistryEasy
View Solution
Check this project | Best Developer Portfolio