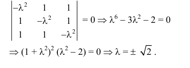
The number of distinct real values of $\lambda$, for which the vectors $-\lambda^2 \hat{i}+\hat{j}+\hat{k}, \hat{i}-\lambda^2 \hat{j}+\hat{k}$ and $\hat{i}+\hat{j}-\lambda^2 \hat{k}$ are coplanar, is
Hello 👋 Welcome to Competishun – India’s most trusted platform for JEE & NEET preparation. Need help with JEE / NEET courses, fees, batches, test series or free study material? Chat with us now 👇