Competishun Header

Report Issue

JEE Advance2018
Paper-1
Question
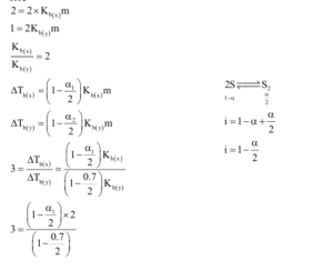
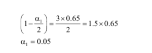
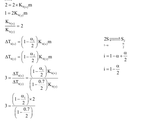
The plot given below shows $\mathrm{P}-\mathrm{T}$ curves (where $P$ is the pressure and $T$ is the temperature) for two solvents $\mathbf{X}$ and $\mathbf{Y}$ and isomolal soluOn addition of equal number of moles of a non-volatile solute $\mathbf{S}$ in equal amount (in kg ) of these solvents, the elevation of boiling point of solvent $\mathbf{X}$ is three times that of solvent $\mathbf{Y}$. Solute $\mathbf{S}$ is known to undergo dimerization in these solvents. If the degree of dimerization is 0.7 in solvent $\mathbf{Y}$, the degree of dimerization in solvent $\mathbf{X}$ is $\_\_\_\_$ .tions of NaCl in these solvents. NaCl completely dissociates in both the solvents.
Write Your Answer
✓ Correct! Well done.
✗ Incorrect. Try again or view the solution.
Solution
Question Tags
JEE Advance
Chemistry
Easy
Start Preparing for JEE with Competishun
Filters 0
JEE Main
JEE Advance
Easy
Medium
Hard
Showing 18 questions
QJEE Main 20242024
Let z be a complex number such that the real part of $\frac{z-2 i}{z+2 i}$ is zero. Then, the maximum...
JEE MainMathematicsEasy
View Solution
QJEE Main 20242024
Let $\int_0^x \sqrt{1-\left(y^{\prime}(t)\right)^2} \mathrm{dt}=\int_0^{\mathrm{x}} \mathrm{y}(\mathrm{t}) \mathrm{dt}, 0 \leq \mathrm{x} \leq 3, \mathrm{y} \geq 0, y(0)=0$. Then at $x=2, y^{\prime \prime}+y+1$...
JEE MainMathematicsEasy
View Solution
QJEE Main 20242024
Consider the line L passing through the points $(1,2,3)$ and $(2,3,5)$. The distance of the point $\left(\frac{11}{3}, \frac{11}{3}, \frac{19}{3}\right)$ from...
JEE MainMathematicsEasy
View Solution
QJEE Main 20242024
$\operatorname{Lim}_{x \rightarrow 0} \frac{e-(1+2 x)^{\frac{1}{2 x}}}{x}$ is equal to :
JEE MainMathematicsEasy
View Solution
QJEE Main 20242024
When $\Delta \mathrm{H}_{\text {vap }}=30 \mathrm{~kJ} / \mathrm{mol}$ and $\Delta \mathrm{S}_{\text {vap }}=75 \mathrm{~J} \mathrm{~mol}^{-1} \mathrm{~K}^{-1}$, then the temperature of...
JEE MainChemistryEasy
View Solution
QJEE Main 20242024
Total number of electron present in $\left(\pi^*\right)$ molecular orbitals of $\mathrm{O}_2, \mathrm{O}_2^{+}$and $\mathrm{O}_2^{-}$is $\_\_\_\_$ .
JEE MainPhysicsEasy
View Solution
QJEE Main 20242024
Number of compounds from the following which cannot undergo Friedel-Crafts reactions is :____ toluene, nitrobenzene, xylene, cumene, aniline, chlorobenzene, m-nitroaniline,...
JEE MainPhysicsEasy
View Solution
QJEE Main 20242024
Based on Heisenberg's uncertainty principle, the uncertainty in the velocity of the electron to be found within an atomic nucleus...
JEE MainChemistryEasy
View Solution
QJEE Main 20242024
Consider the following first order gas phase reaction at constant temperature
$ \mathrm{A}(\mathrm{~g}) \rightarrow 2 \mathrm{~B}(\mathrm{~g})+\mathrm{C}(\mathrm{~g}) $
If...
JEE MainChemistryEasy
View Solution
QJEE Main 20242024
Consider the following test for a group-IV cation.
$\mathrm{M}^{2+}+\mathrm{H}_2 \mathrm{~S} \rightarrow \mathrm{~A}$ (Black precipitate) + byproduct $\mathrm{A}+$ aqua regia...
JEE MainChemistryEasy
View Solution
QJEE Main 20242024
The vapour pressure of pure benzene and methyl benzene at $27^{\circ} \mathrm{C}$ is given as 80 Torr and 24 Torr...
JEE MainChemistryEasy
View Solution
QJEE Main 20242024
A transition metal 'M' among Sc, Ti, V , Cr, Mn and Fe has the highest second ionisation enthalpy. The...
JEE MainPhysicsEasy
View Solution
QJEE Main 20242024
Number of oxygen atoms present in chemical formula of fuming sulphuric acid is
JEE MainPhysicsEasy
View Solution
QJEE Main 20242024
The electronic configuration of Einsteinium is : (Given atomic number of Einsteinium = 99)
JEE MainPhysicsEasy
View Solution
QJEE Main 20242024
Which out of the following is a correct equation to show change in molar conductivity with respect to concentration for...
JEE MainChemistryEasy
View Solution
QJEE Main 20242024
Which of the following compounds will give silver mirror with ammoniacal silver nitrate?
(A) Formic acid
(B) Formaldehyde...
JEE MainChemistryEasy
View Solution
QJEE Main 20242024
The incorrect statement regarding ethyne is
JEE MainChemistryEasy
View Solution
QJEE Main 20242024
Given below are two statements :
Statement I : The higher oxidation states are more stable down the group...
JEE MainChemistryEasy
View Solution
Check this project | Best Developer Portfolio