Skip to content
Competishun Header
Home
Courses
Test Series
Books
Free Resources
Result
Contact Us
Free Resources
Courses
Test Series
JEE Solutions
NCERT PDF
Books
Gallery
Result
Blogs
Watch JEE Free Lectures
↗
Download Our App
↗
Follow Us
Login / Register
Back
Report
Report Issue
×
Wrong Answer
Typo Error
Image Issue
Not Clear
Other
JEE MAIN 2020
08-01-20 S1
Question
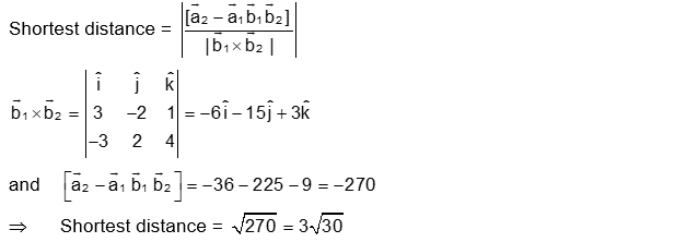
The shortest distance between the lines
$\frac{x-3}{3}=\frac{y-8}{-1}=\frac{z-3}{1}$ and $\frac{x+3}{-3}=\frac{y+7}{2}=\frac{z-6}{2}$ is
Select the correct option:
A
$2 \sqrt{30}$
B
$\frac{7}{2} \sqrt{30}$
C
$3 \sqrt{30}$
D
3
✓ Correct! Well done.
✗ Incorrect. Try again or view the solution.
View Solution
Solution
Question Tags
JEE Main
Mathematics
Easy
Start Preparing for JEE with Competishun
YouTube
Books
App
Tests
Filters
0
Subject
▾
Exam
▾
JEE Main
JEE Advance
Difficulty
▾
Easy
Medium
Hard
Year
▾
✕ Clear All
Showing
18
questions
Q
JEE Advance 2006
2006
A massless rod is suspended by two identical strings AB and CD of equal length. A block of mass m...
JEE Advance
Physics
Easy
View Solution
→
Q
JEE Advance 2006
2006
Graph of position of image vs position of point object from a convex lens is shown. Then, focal length of...
JEE Advance
Physics
Easy
View Solution
→
Q
JEE Advance 2006
2006
The equations of the common tangents to the parabola $y=x^2$ and $y=-(x-2)^2$ is/are
JEE Advance
Mathematics
Easy
View Solution
→
Q
JEE Advance 2006
2006
Let $\vec{a}=\hat{i}+2 \hat{j}+\hat{k}, \vec{b}=\hat{i}-\hat{j}+\hat{k}$ and $\vec{c}=\hat{i}-\hat{j}-\hat{k}$. A vector in the plane of $\vec{a}$ and $\vec{b}$ whose projection on $\vec{c}$ is...
JEE Advance
Mathematics
Easy
View Solution
→
Q
JEE Advance 2006
2006
A plane passes through $(1,-2,1)$ and is perpendicular to two planes $2 x-2 y+z=0$ and $x-y+2 z=4$. The distance of...
JEE Advance
Mathematics
Easy
View Solution
→
Q
JEE Advance 2006
2006
Given a sample of Radium-226 having half-life of 4 days. Find the probability, a nucleus disintegrates after 2 half lives.
JEE Advance
Physics
Easy
View Solution
→
Q
JEE Advance 2006
2006
The axis of a parabola is along the line $\mathrm{y}=\mathrm{x}$ and the distance of its vertex from origin is $\sqrt{2}$...
JEE Advance
Mathematics
Easy
View Solution
→
Q
JEE Advance 2006
2006
Let $\theta \in\left(0, \frac{\pi}{4}\right)$ and $\mathrm{t}_1=(\tan \theta)^{\tan \theta}, \mathrm{t}_2=(\tan \theta)^{\cot \theta}, \mathrm{t}_3=(\cot \theta)^{\tan \theta}$ and $\mathrm{t}_4=(\cot \theta)^{\cot \theta}$, then
JEE Advance
Mathematics
Easy
View Solution
→
Q
JEE Advance 2006
2006
If $r, s, t$ are prime numbers and $p, q$ are the positive integers such that the LCM of $...
JEE Advance
Mathematics
Easy
View Solution
→
Q
JEE Advance 2006
2006
If $f^{\prime}(x)=-f(x)$ and $g(x)=f^{\prime}(x)$ and $F(x)=\left(f\left(\frac{x}{2}\right)\right)^2+\left(g\left(\frac{x}{2}\right)\right)^2$ and given that $F(5)=5$, then $F(10)$ is equal to
JEE Advance
Mathematics
Easy
View Solution
→
Q
JEE Advance 2006
2006
Let $\mathrm{a}, \mathrm{b}, \mathrm{c}$ be the sides of a triangle. No two of them are equal and $\lambda \in \mathrm{R}$....
JEE Advance
Mathematics
Easy
View Solution
→
Q
JEE Advance 2006
2006
A biconvex lens of focal length $f$ forms a circular image of sun of radius $r$ in focal plane. Then
JEE Advance
Physics
Easy
View Solution
→
Q
JEE Advance 2006
2006
If $w=\alpha+i \beta$, where $\beta \neq 0$ and $z \neq 1$, satisfies the condition that $\left(\frac{w-\bar{w} z}{1-z}\right)$ is purely real,...
JEE Advance
Mathematics
Easy
View Solution
→
Q
JEE ADVANCE 2006
2006
A solution when diluted with $\mathrm{H}_2 \mathrm{O}$ and boiled, it gives a white precipitate. On addition of excess $...
JEE Advance
Chemistry
Easy
View Solution
→
Q
JEE Advance 2006
2006
A point object is placed at a distance of 20 cm from a thin plano-convex lens of focal length 15...
JEE Advance
Physics
Easy
View Solution
→
Q
JEE Advance 2006
2006
Given an isosceles triangle, whose one angle is $120^{\circ}$ and radius of its incircle $=\sqrt{3}$. Then the area of the...
JEE Advance
Mathematics
Easy
View Solution
→
Q
JEE Advance 2006
2006
Two blocks A and B of masses 2 m and m , respectively, are connected by a massless and inextensible...
JEE Advance
Physics
Easy
View Solution
→
Q
JEE ADVANCE 2006
2006
$\mathrm{B}(\mathrm{OH})_3+\mathrm{NaOH} \rightleftharpoons \mathrm{NaBO}_2+\mathrm{Na}\left[\mathrm{B}(\mathrm{OH})_4\right]+\mathrm{H}_2 \mathrm{O}$
JEE Advance
Chemistry
Easy
View Solution
→
Load More Questions
Scan the code
Powered by
Joinchat
Hello 👋 Welcome to Competishun – India’s most trusted platform for JEE & NEET preparation.
Need help with JEE / NEET courses, fees, batches, test series or free study material? Chat with us now 👇
Open Chat