Skip to content
Competishun Header
Home
Courses
Test Series
Books
Free Resources
Result
Contact Us
Free Resources
Courses
Test Series
JEE Solutions
NCERT PDF
Books
Gallery
Result
Blogs
Watch JEE Free Lectures
↗
Download Our App
↗
Follow Us
Login / Register
Back
Report
Report Issue
×
Wrong Answer
Typo Error
Image Issue
Not Clear
Other
JEE MAIN 2025
03-04-25 S2
Question
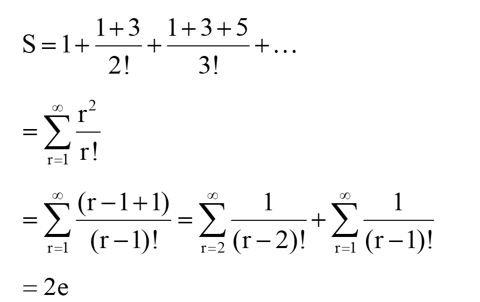
The sum $1+\frac{1+3}{2!}+\frac{1+3+5}{3!}+\frac{1+3+5+7}{4!}+\ldots$ upto $\infty$ terms, is equal to
Select the correct option:
A
3e
B
6e
C
2e
D
4e
✓ Correct! Well done.
✗ Incorrect. Try again or view the solution.
View Solution
Solution
Question Tags
JEE Main
Mathematics
Medium
Start Preparing for JEE with Competishun
YouTube
Books
App
Tests
Video Solution
BY competishun
Watch Solution
YouTube
Share this solution:
Share on WhatsApp
Filters
0
Subject
▾
Exam
▾
JEE Main
JEE Advance
Difficulty
▾
Easy
Medium
Hard
Year
▾
✕ Clear All
Showing
18
questions
Q
JEE Advanced 2020
2020
Let the function : (0,𝜋)→ℝ be defined by
$ (\theta)=(\sin \theta+\cos \theta)^2+(\sin \theta-\cos \theta)^4 $
Suppose the function...
JEE Advance
Mathematics
Easy
View Solution
→
Q
JEE Advanced 2020
2020
Let 𝑓:ℝ→ℝ be a differentiable function such that its derivative 𝑓′ is continuous and ƒ(𝜋) = −6.
If $...
JEE Advance
Mathematics
Easy
View Solution
→
Q
JEE Advanced 2020
2020
Let the function $f:[0,1] \rightarrow \mathbb{R}$ be defined by $\mathrm{f}(\mathrm{x})=\frac{4^{\mathrm{x}}}{4^{\mathrm{x}}+2}$ Then the value of $\mathrm{f}\left(\frac{1}{40}\right)+\mathrm{f}\left(\frac{2}{40}\right)+\mathrm{f}\left(\frac{3}{40}\right)+\ldots \ldots \ldots+\mathrm{f}\left(\frac{39}{40}\right)-\mathrm{f}\left(\frac{1}{2}\right)$ is
JEE Advance
Mathematics
Easy
View Solution
→
Q
JEE Advanced 2020
2020
Two fair dice, each with faces numbered 1,2,3,4,5 and 6, are rolled together and the sum of the numbers on...
JEE Advance
Mathematics
Easy
View Solution
→
Q
JEE Advanced 2020
2020
In a hotel, four rooms are available. Six persons are to be accommodated in these four rooms in such a...
JEE Advance
Mathematics
Easy
View Solution
→
Q
JEE Advanced 2020
2020
An engineer is required to visit a factory for exactly four days during the first 15 days of every month...
JEE Advance
Mathematics
Easy
View Solution
→
Q
JEE Advanced 2020
2020
For non-negative integers s and r, let
$...
JEE Advance
Mathematics
Easy
View Solution
→
Q
JEE Advanced 2020
2020
Let a and b be positive real numbers. Suppose $\overrightarrow{\mathrm{PQ}}=a \hat{\mathrm{i}}+b \hat{\mathrm{j}}$ and $\overrightarrow{\mathrm{PS}}=a \hat{\mathrm{i}}-b \hat{\mathrm{j}}$ are adjacent sides of...
JEE Advance
Mathematics
Easy
View Solution
→
Q
JEE Advanced 2020
2020
Let $\alpha, \beta, \gamma, \delta$ be real numbers such that $\alpha^2+\beta^2+\gamma^2 \neq 0$ and $\alpha+\gamma=1$. Suppose the point $(3,2,-1)$ is...
JEE Advance
Mathematics
Easy
View Solution
→
Q
JEE Advanced 2020
2020
Let 𝒇:ℝ→ℝ and 𝒈:ℝ→ℝ be functions satisfying 𝑓(𝑥+𝑦)=𝑓(𝑥)+𝑓(𝑦)+𝑓(𝑥)𝑓(𝑦) and 𝑓(𝑥)=𝑥𝑔(𝑥) for all 𝑥,𝑦∈ℝ. If $\lim _{x \rightarrow 0} g(x)=1$, then...
JEE Advance
Mathematics
Easy
View Solution
→
Q
JEE Advanced 2020
2020
Let b be a nonzero real number. Suppose $f: \mathbb{R} \rightarrow \mathbb{R}$ is a differentiable function such that $(0)=1$. If...
JEE Advance
Mathematics
Easy
View Solution
→
Q
JEE Advanced 2020
2020
The value of the limit
$...
JEE Advance
Mathematics
Easy
View Solution
→
Q
JEE Advanced 2020
2020
Let the functions : (−1,1)→ℝ and 𝑔 : (−1,1)→(−1,1) be defined by ƒ(𝑥) = |2𝑥−1|+|2𝑥+1| and 𝑔(𝑥) = 𝑥−[𝑥], where...
JEE Advance
Mathematics
Easy
View Solution
→
Q
JEE Advanced 2020
2020
The trace of a square matrix is defined to be the sum of its diagonal entries. If A is a...
JEE Advance
Mathematics
Easy
View Solution
→
Q
JEE Advanced 2020
2020
Let O be the centre of the circle $\mathrm{x}^2+\mathrm{y}^2=\mathrm{r}^2$, where $\mathrm{r}>\frac{\sqrt{5}}{2}$. Suppose $P Q$ is a chord of this circle...
JEE Advance
Mathematics
Easy
View Solution
→
Q
JEE Advanced 2020
2020
The probability that a missile hits a target successfully is 0.75. In order to destroy the target completely, at least...
JEE Advance
Mathematics
Easy
View Solution
→
Q
JEE Advanced 2020
2020
For a complex number z, let $\operatorname{Re}(z)$ denote the real part of $z$. Let $S$ be the set of all...
JEE Advance
Mathematics
Easy
View Solution
→
Q
JEE Advanced 2020
2020
Let e denote the base of the natural logarithm. The value of the real number a for which the right...
JEE Advance
Mathematics
Easy
View Solution
→
Load More Questions
Scan the code
Powered by
Joinchat
Hello 👋 Welcome to Competishun – India’s most trusted platform for JEE & NEET preparation.
Need help with JEE / NEET courses, fees, batches, test series or free study material? Chat with us now 👇
Open Chat