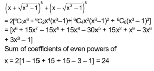
The sum of the co-efficients of all even degree terms in x in the expansion of $\left(x+\sqrt{x^3-1}\right)^6+\left(x-\sqrt{x^3-1}\right)^6,(x>1)$ is equal to :
Hello 👋 Welcome to Competishun – India’s most trusted platform for JEE & NEET preparation. Need help with JEE / NEET courses, fees, batches, test series or free study material? Chat with us now 👇