Competishun Header

Report Issue

JEE-MAIN 2020
05-09-2020 S2
Question
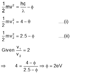
The surface of a metal is illuminated alternately with photons of energies $E_1=4 \mathrm{eV}$ and $E_2=2.5 \mathrm{eV}$ respectively. The ratio of maximum speeds of the photoelectrons emitted in the two cases is 2 . The work function of the metal in $(e V)$ is $\_\_\_\_$ .
Write Your Answer
✓ Correct! Well done.
✗ Incorrect. Try again or view the solution.
Solution
Solution Image
Question Tags
JEE Main
Physics
Easy
Start Preparing for JEE with Competishun
Filters 0
JEE Main
JEE Advance
Easy
Medium
Hard
Showing 18 questions
QJEE ADVANCE 20062006
The species present in solution when $\mathrm{CO}_2$ is dissolved in water are
JEE AdvanceChemistryEasy
View Solution
QJEE Advance 20062006
A circle touches the line L and the circle $\mathrm{C}_1$ externally such that both the circles are on the same...
JEE AdvanceMathematicsEasy
View Solution
QJEE Advance 20062006
Function $\mathrm{x}=\mathrm{A} \sin ^2 \omega \mathrm{t}+\mathrm{B} \cos ^2 \omega \mathrm{t}+\mathrm{C} \sin \omega \mathrm{t} \cos \omega \mathrm{t}$ represents SHM
JEE AdvancePhysicsEasy
View Solution
QJEE ADVANCE 20062006
If the bond length of CO bond in carbon monoxide is $1.128 \AA$, then what is the value of CO...
JEE AdvanceChemistryEasy
View Solution
QJEE Advance 20062006
Let ABCD be a square of side length 2 units. $\mathrm{C}_2$ is the circle through vertices $\mathrm{A}, \mathrm{B}, \mathrm{C}, \mathrm{D}$...
JEE AdvanceMathematicsEasy
View Solution
QJEE Advance 20062006
If $\mathrm{f}^{\prime}(\mathrm{x})<0 \forall \mathrm{x} \in(\mathrm{a}, \mathrm{b})$ and c is a point such that $\mathrm{a}<\mathrm{c}<\mathrm{b}$, and (c, $\left.\mathrm{f}(\mathrm{c})\right)$ is the point lying on the curve for which $\mathrm{F}(\mathrm{c})$ is maximum, then $f^{\prime}(c)$ is equal to
JEE AdvanceMathematicsEasy
View Solution
QJEE Advance 20062006
Suppose we define the definite integral using the following formula $\int_a f(x) d x=\frac{b-a}{2}(f(a)+f(b))$, for more accurate result for $...
JEE AdvanceMathematicsEasy
View Solution
QJEE ADVANCE 20062006
$$ \mathrm{N}_2+3 \mathrm{H}_2 \rightleftharpoons 2 \mathrm{NH}_3 $$ Which is correct statement if $\mathrm{N}_2$ is added at equilibrium condition?
JEE AdvanceChemistryEasy
View Solution
QJEE ADVANCE 20062006
The direct conversion of A to B is difficult, hence it is carried out by the following shown path:
JEE AdvanceChemistryEasy
View Solution
QJEE Advance 20062006
If $n$ is even and $E$ denotes the event of choosing even numbered urn $\left(P\left(u_i\right)=\frac{1}{n}\right)$, then the value of $...
JEE AdvanceMathematicsEasy
View Solution
QJEE Advance 20062006
If $\mathrm{P}\left(\mathrm{u}_{\mathrm{i}}\right)=\mathrm{c}$, where c is a constant then $\mathrm{P}\left(\mathrm{u}_{\mathrm{n}} / \mathrm{w}\right)$ is equal to
JEE AdvanceMathematicsEasy
View Solution
QJEE Advance 20062006
A solid cylinder of mass $m$ and radius $r$ is rolling on a rough inclined plane of inclination $\theta$. The...
JEE AdvancePhysicsEasy
View Solution
QJEE Advance 20062006
If $P\left(u_i\right) \propto i$, where $i=1,2,3, \ldots n$, then $\lim _{n \rightarrow \infty} P(w)$ is equal to
JEE AdvanceMathematicsEasy
View Solution
QJEE ADVANCE 20062006
$\mathrm{CuSO}_4$ decolourises on addition of KCN , the product is
JEE AdvanceChemistryEasy
View Solution