Skip to content
Competishun Header
Home
Courses
Test Series
Books
Free Resources
Result
Contact Us
Free Resources
Courses
Test Series
JEE Solutions
NCERT PDF
Books
Gallery
Result
Blogs
Watch JEE Free Lectures
↗
Download Our App
↗
Follow Us
Login / Register
Back
Report
Report Issue
×
Wrong Answer
Typo Error
Image Issue
Not Clear
Other
JEE MAIN 2021
25-02-21 S1
Question
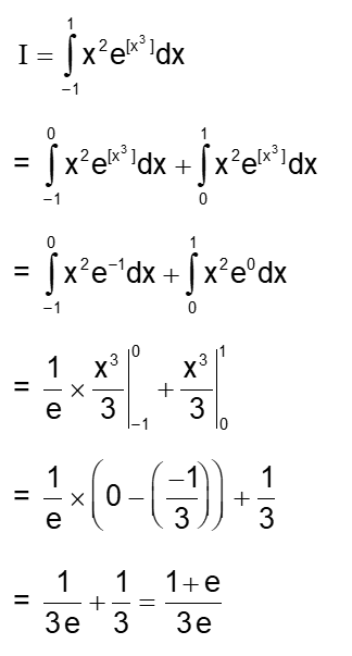
The value of $\int_{-1}^1 x^2 e^{\left[x^3\right]} d x$ where $[t]$ denotes the greatest integer $\leq t$, is:
Select the correct option:
A
$\frac{e-1}{3 e}$
B
$\frac{e+1}{3}$
C
$\frac{e+1}{3e}$
D
$\frac{1}{3e}$
✓ Correct! Well done.
✗ Incorrect. Try again or view the solution.
View Solution
Solution
Question Tags
JEE Main
Mathematics
Medium
Start Preparing for JEE with Competishun
YouTube
Books
App
Tests
Filters
0
Subject
▾
Exam
▾
JEE Main
JEE Advance
Difficulty
▾
Easy
Medium
Hard
Year
▾
✕ Clear All
Showing
18
questions
Q
JEE ADVANCE 2006
2006
Which of the following reactants on reaction with conc. NaOH followed by acidification gives the following lactone as the only...
JEE Advance
Chemistry
Easy
View Solution
→
Q
JEE Advance 2006
2006
The graph between $1 / \lambda$ and stopping potential (V) of three metals having work functions $\phi_1, \phi_2$ and $\phi_3$...
JEE Advance
Physics
Easy
View Solution
→
Q
JEE Advance 2006
2006
In a dark room with ambient temperature $\mathrm{T}_0$, a black body is kept at a temperature T . Keeping the...
JEE Advance
Physics
Easy
View Solution
→
Q
JEE ADVANCE 2006
2006
The species present in solution when $\mathrm{CO}_2$ is dissolved in water are
JEE Advance
Chemistry
Easy
View Solution
→
Q
JEE Advance 2006
2006
A circle touches the line L and the circle $\mathrm{C}_1$ externally such that both the circles are on the same...
JEE Advance
Mathematics
Easy
View Solution
→
Q
JEE Advance 2006
2006
Function $\mathrm{x}=\mathrm{A} \sin ^2 \omega \mathrm{t}+\mathrm{B} \cos ^2 \omega \mathrm{t}+\mathrm{C} \sin \omega \mathrm{t} \cos \omega \mathrm{t}$ represents SHM
JEE Advance
Physics
Easy
View Solution
→
Q
JEE ADVANCE 2006
2006
If the bond length of CO bond in carbon monoxide is $1.128 \AA$, then what is the value of CO...
JEE Advance
Chemistry
Easy
View Solution
→
Q
JEE Advance 2006
2006
Let ABCD be a square of side length 2 units. $\mathrm{C}_2$ is the circle through vertices $\mathrm{A}, \mathrm{B}, \mathrm{C}, \mathrm{D}$...
JEE Advance
Mathematics
Easy
View Solution
→
Q
JEE Advance 2006
2006
If $\mathrm{f}^{\prime}(\mathrm{x})<0 \forall \mathrm{x} \in(\mathrm{a}, \mathrm{b})$ and c is a point such that $\mathrm{a}<\mathrm{c}<\mathrm{b}$, and (c, $\left.\mathrm{f}(\mathrm{c})\right)$ is the point lying on the curve for which $\mathrm{F}(\mathrm{c})$ is maximum, then $f^{\prime}(c)$ is equal to
JEE Advance
Mathematics
Easy
View Solution
→
Q
JEE Advance 2006
2006
Suppose we define the definite integral using the following formula $\int_a f(x) d x=\frac{b-a}{2}(f(a)+f(b))$, for more accurate result for $...
JEE Advance
Mathematics
Easy
View Solution
→
Q
JEE ADVANCE 2006
2006
$$ \mathrm{N}_2+3 \mathrm{H}_2 \rightleftharpoons 2 \mathrm{NH}_3 $$ Which is correct statement if $\mathrm{N}_2$ is added at equilibrium condition?
JEE Advance
Chemistry
Easy
View Solution
→
Q
JEE ADVANCE 2006
2006
The direct conversion of A to B is difficult, hence it is carried out by the following shown path:
JEE Advance
Chemistry
Easy
View Solution
→
Q
JEE Advance 2006
2006
If $n$ is even and $E$ denotes the event of choosing even numbered urn $\left(P\left(u_i\right)=\frac{1}{n}\right)$, then the value of $...
JEE Advance
Mathematics
Easy
View Solution
→
Q
JEE Advance 2006
2006
If $\mathrm{P}\left(\mathrm{u}_{\mathrm{i}}\right)=\mathrm{c}$, where c is a constant then $\mathrm{P}\left(\mathrm{u}_{\mathrm{n}} / \mathrm{w}\right)$ is equal to
JEE Advance
Mathematics
Easy
View Solution
→
Q
JEE Advance 2006
2006
A solid cylinder of mass $m$ and radius $r$ is rolling on a rough inclined plane of inclination $\theta$. The...
JEE Advance
Physics
Easy
View Solution
→
Q
JEE Advance 2006
2006
If $P\left(u_i\right) \propto i$, where $i=1,2,3, \ldots n$, then $\lim _{n \rightarrow \infty} P(w)$ is equal to
JEE Advance
Mathematics
Easy
View Solution
→
Q
JEE ADVANCE 2006
2006
$\mathrm{CuSO}_4$ decolourises on addition of KCN , the product is
JEE Advance
Chemistry
Easy
View Solution
→
Q
JEE Advance 2006
2006
$f(x)=\left\{\begin{array}{ll}e^x, & 0 \leq x \leq 1 \\ 2-e^{x-1}, & 1
JEE Advance
Mathematics
Easy
View Solution
→
Load More Questions
Scan the code
Powered by
Joinchat
Hello 👋 Welcome to Competishun – India’s most trusted platform for JEE & NEET preparation.
Need help with JEE / NEET courses, fees, batches, test series or free study material? Chat with us now 👇
Open Chat