Competishun Header

Report Issue

JEE MAIN 2024
08-04-2024 S1
Question
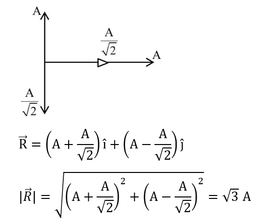
Three vectors $\overrightarrow{\mathrm{OP}}, \overrightarrow{\mathrm{OQ}}$ and $\overrightarrow{\mathrm{OR}}$ each of magnitude A are acting as shown in figure. The resultant of the three vectors is A√x. The value of x is
Question Image
Write Your Answer
✓ Correct! Well done.
✗ Incorrect. Try again or view the solution.
Solution
Solution Image
Question Tags
JEE Main
Physics
Medium
Start Preparing for JEE with Competishun
Filters 0
JEE Main
JEE Advance
Easy
Medium
Hard
Showing 18 questions
QJee Main 20242024
The function $f(x)=\frac{x}{x^2-6 x-16}, x \in \mathbb{R}-\{-2,8\}$
JEE MainMathematicsEasy
View Solution
QJEE MAIN 20242024
Let $\alpha=\sum_{\mathrm{k}=0}^{\mathrm{n}}\left(\frac{\left({ }^{\mathrm{n}} \mathrm{C}_{\mathrm{k}}\right)^2}{\mathrm{k}+1}\right)$ and $\beta=\sum_{\mathrm{k}=0}^{\mathrm{n}-1}\left(\frac{{ }^{\mathrm{n}} \mathrm{C}_{\mathrm{k}}{ }^{\mathrm{n}} \mathrm{C}_{\mathrm{k}+1}}{\mathrm{k}+2}\right)$. If $5 \alpha=6 \beta$, then $n$ equals
JEE MainMathematicsMedium
View Solution
QJee Main 20242024
Let $x=\frac{m}{n}\left(\mathrm{~m}, n\right.$ are co-prime natural numbers) be a solution of the equation $\cos \left(2 \sin ^{-1} x\right)=\frac{1}{9}$ and let...
JEE MainMathematicsEasy
View Solution
QJEE MAIN 20242024
If three successive terms of a G.P. with common ratio $r(r>1)$ are the lengths of the sides of a triangle...
JEE MainMathematicsEasy
View Solution
QJEE MAIN 20242024
Consider two circles $\mathrm{C}_1: \mathrm{x}^2+\mathrm{y}^2=25$ and $\mathrm{C}_2:(\mathrm{x}-\alpha)^2+y^2=16$, where $\alpha \in(5,9)$. Let the angle between the two radii (one to each...
JEE MainMathematicsMedium
View Solution
QJee Main 20242024
Let A be the point of intersection of the lines $3 \mathrm{x}+2 y=14,5 x-y=6$ and $B$ be the point of...
JEE MainMathematicsEasy
View Solution
QJee Main 20242024
If each term of a geometric progression $a_1, a_2, a_3, \ldots$ with $a_1=\frac{1}{8}$ and $a_2 \neq a_1$, is the arithmetic...
JEE MainMathematicsMedium
View Solution
QJEE MAIN 20242024
Let a line passing through the point $(-1,2,3)$ intersect the lines $\mathrm{L}_1: \frac{\mathrm{x}-1}{3}=\frac{\mathrm{y}-2}{2}=\frac{\mathrm{z}+1}{-2}$ at $M(\alpha, \beta, \gamma)$ and $L_2: \frac{x+2}{-3}=\frac{y-2}{-2}=\frac{z-1}{4}$...
JEE MainMathematicsMedium
View Solution
QJEE MAIN 20242024
Let the locus of the mid points of the chords of circle $x^2+(y-1)^2=1$ drawn from the origin intersect the line...
JEE MainMathematicsEasy
View Solution
QJEE-Main 20242024
Let the complex numbers $\alpha$ and $\frac{1}{\bar{\alpha}}$ lie on the circles $\left|z-z_0\right|^2=4$ and $\left|z-z_0\right|^2=16$ respectively, where $\mathrm{z}_0=1+\mathrm{i}$. Then, the value...
JEE MainMathematicsMedium
View Solution
QJEE-Main 20242024
The lines $\frac{x-2}{2}=\frac{y}{-2}=\frac{z-7}{16}$ and $\frac{x+3}{4}=\frac{y+2}{3}=\frac{z+2}{1}$ intersect at the point $P$. If the distance of P from the line $\frac{x+1}{2}= \frac{\mathrm{y}-1}{3}=\frac{\mathrm{z}-1}{1}$...
JEE MainMathematicsEasy
View Solution
QJEE-Main 20242024
Consider a circle $(x-\alpha)^2+(y-\beta)^2=50$, where $\alpha, \beta>0$. If the circle touches the line $y+x=0$ at the point P , whose...
JEE MainMathematicsEasy
View Solution
QJEE MAIN 20242024
Let $Y=Y(X)$ be a curve lying in the first quadrant such that the area enclosed by the line $\mathrm{Y}-\mathrm{y}=\mathrm{Y}^{\prime}(\mathrm{x})(\mathrm{X}- \mathrm{x})$...
JEE MainMathematicsHard
View Solution
QJEE Main 20242024
The correct statement/s about Hydrogen bonding is/are :
A. Hydrogen bonding exists when H is covalently bonded to the...
JEE MainChemistryEasy
View Solution
QJEE-Main 20242024
If the solution curve, of the differential equation $\frac{d y}{d x}=\frac{x+y-2}{x-y}$ passing through the point $(2,1)$ is $...
JEE MainMathematicsMedium
View Solution
QJEE-Main 20242024
Let $f(x)=\int_0^x g(t) \log _e\left(\frac{1-t}{1+t}\right) d t$, where $g$ is a continuous odd function. If $...
JEE MainMathematicsHard
View Solution
QJEE MAIN 20242024
Let $\mathrm{R}=\left(\begin{array}{lll}\mathrm{x} & 0 & 0 \\ 0 & \mathrm{y} & 0 \\ 0 & 0 & \mathrm{z}\end{array}\right)$ be a...
JEE MainMathematicsHard
View Solution
QJEE MAIN 20242024
Let Ajay will not appear in JEE exam with probability $\mathrm{p}=\frac{2}{7}$, while both Ajay and Vijay will appear in the...
JEE MainMathematicsEasy
View Solution
Check this project | Best Developer Portfolio