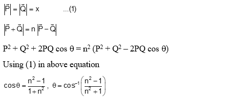
Two vectors $\vec{P}$ and $\vec{Q}$ have equal magnitudes. If the magnitude of $\vec{P}+\vec{Q}$ is $n$ times magnitude of $\vec{P}-\vec{Q}$, then angle between $\vec{P}$ and $\vec{Q}$ is :
Hello 👋 Welcome to Competishun – India’s most trusted platform for JEE & NEET preparation. Need help with JEE / NEET courses, fees, batches, test series or free study material? Chat with us now 👇