Skip to content
Competishun Header
Home
Courses
Test Series
Books
Free Resources
Result
Contact Us
Free Resources
Courses
Test Series
JEE Solutions
NCERT PDF
Books
Gallery
Result
Blogs
Watch JEE Free Lectures
↗
Download Our App
↗
Follow Us
Login / Register
Back
Report
Report Issue
×
Wrong Answer
Typo Error
Image Issue
Not Clear
Other
JEE MAIN_2021_
27-07-21
Question
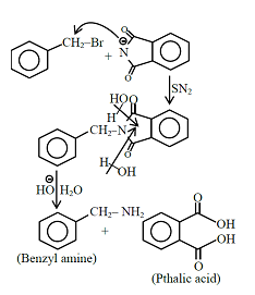
What is A in the following reaction?
Options
A
B
C
D
✓ Correct! Well done.
✗ Incorrect. Try again or view the solution.
View Solution
Solution
Question Tags
JEE Main
Chemistry
Medium
Start Preparing for JEE with Competishun
YouTube
Books
App
Tests
Filters
0
Subject
▾
Exam
▾
JEE Main
JEE Advance
Difficulty
▾
Easy
Medium
Hard
Year
▾
✕ Clear All
Showing
18
questions
Q
JEE MAIN_2026
An electromagnetic wave travels in free space along the $x$-direction. At a particular point in space and time, $...
JEE Main
Physics
Easy
View Solution
→
Q
JEE MAIN_2026
A spherical ball of mass 2 kg falls from a height of 10 m and is brought to rest after...
JEE Main
Physics
Easy
View Solution
→
Q
JEE MAIN_2026
If an air bubble of diameter 2 mm rises steadily through a liquid of density $2000 \mathrm{~kg} / \mathrm{m}^3$ at...
JEE Main
Physics
Medium
View Solution
→
Q
JEE MAIN_2026
A mixture of carbon dioxide and oxygen has volume $8310 \mathrm{~cm}^3$, temperature 300 K , pressure 100 kPa and mass...
JEE Main
Physics
Medium
View Solution
→
Q
JEE MAIN_2026
The surface tension of a soap bubble is $0.03 \mathrm{~N} / \mathrm{m}$. The work done in increasing the diameter of...
JEE Main
Physics
Easy
View Solution
→
Q
JEE MAIN_2026
In a screw gauge the zero of main scale reference line coincides with the fifth division of the circular scale...
JEE Main
Physics
Medium
View Solution
→
Q
JEE MAIN_2026
If a body of mass 1 kg falls on the earth from infinity, it attains velocity $(v)$ and kinetic energy...
JEE Main
Physics
Easy
View Solution
→
Q
JEE MAIN_2026
If X and Y are the inputs, the given circuit works as _____ .
JEE Main
Physics
Easy
View Solution
→
Q
JEE MAIN_2026
A particle having charge $10^{-9} \mathrm{C}$ moving in $x-y$ plane in fields of $0.4 \hat{j} \mathrm{~N} / \mathrm{C}$ and $...
JEE Main
Physics
Medium
View Solution
→
Q
JEE MAIN_2026
Two blocks of masses 2 kg and 1 kg respectively, are tied to the ends of a string which passes...
JEE Main
Physics
Medium
View Solution
→
Q
JEE MAIN_2026
A 0.5 kg mass is in contact against the inner wall of a cylindrical drum of radius 4 m rotating...
JEE Main
Physics
Easy
View Solution
→
Q
JEE MAIN_2026
Dimensions of universal gravitational constant (G) in terms of Planck's constant (h), distance (L), mass (M) and time (T) are...
JEE Main
Physics
Medium
View Solution
→
Q
JEE MAIN_2026
Refer the figure given below. m1 and m2 are refractive indices of air and lens material. The height of image...
JEE Main
Physics
Easy
View Solution
→
Q
JEE_MAIN_2026
For a thin symmetric prism made of glass (refractive index 1.5 ), the ratio of incident angle and minimum deviation...
JEE Main
Physics
Easy
View Solution
→
Q
JEE_MAIN_2026
A tub is filled with water and a wooden cube $10 \mathrm{~cm} \times 10 \mathrm{~cm} \times 10 \mathrm{~cm}$ is placed...
JEE Main
Physics
Easy
View Solution
→
Q
JEE MAIN_2026
A uniform wire of length $l$ of weight w is suspended from the roof with a weight of W at...
JEE Main
Physics
Medium
View Solution
→
Q
JEE MAIN_2026
$1 \mu \mathrm{C}$ charge moving with velocity $\vec{v}=(\hat{i}-2 \hat{j}+3 \hat{k}) \mathrm{m} / \mathrm{s}$ in the region of magnetic field $...
JEE Main
Physics
Easy
View Solution
→
Q
JEE MAIN_2026
A vessel contains $0.15 \mathrm{~m}^3$ of a gas at pressure 8 bar and temperature $140^{\circ} \mathrm{C}$ with $c_p=3 R$ and...
JEE Main
Physics
Medium
View Solution
→
Load More Questions
Check this project
|
Best Developer Portfolio
Scan the code
Powered by
Joinchat
Hello 👋 Welcome to Competishun – India’s most trusted platform for JEE & NEET preparation.
Need help with JEE / NEET courses, fees, batches, test series or free study material? Chat with us now 👇
Open Chat