Skip to content
Home
Courses
Test Series
Books
Free Resources
Result
Gallery
Home
Courses
Test Series
Books
Free Resources
Result
Gallery
Contact us
Back
Report
Report Issue
×
Wrong Answer
Typo Error
Image Issue
Not Clear
Other
JEE MAIN 2025
24-01-2025 SHIFT-1
Question
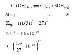
$\;{{\rm{K}}_{{\rm{sp }}}}$ for ${\rm{Cr}}{({\rm{OH}})_3}$ is $1.6 \times {10^{ - 30}}$. What is the molar solubility of this salt in water?
Select the correct option:
A
$\sqrt[5]{{1.8 \times {{10}^{ - 30}}}}$
B
$\sqrt[2]{{1.6 \times {{10}^{ - 30}}}}$
C
$\sqrt[4]{{\frac{{1.6 \times {{10}^{ - 30}}}}{{27}}}}$
D
$\frac{{1.8 \times {{10}^{ - 30}}}}{{27}}$
✓ Correct! Well done.
✗ Incorrect. Try again or view the solution.
View Solution
Solution
Question Tags
JEE Main
Chemistry
Easy
Start Preparing for JEE with Competishun
YouTube
App
Tests
Scan the code
Powered by
Joinchat
Hello 👋 Welcome to Competishun – India’s most trusted platform for JEE & NEET preparation.
Need help with JEE / NEET courses, fees, batches, test series or free study material? Chat with us now 👇
Open Chat