Skip to content
Competishun Header
Home
Courses
Test Series
Books
Free Resources
Result
Contact Us
Free Resources
Courses
Test Series
JEE Solutions
NCERT PDF
Books
Gallery
Result
Blogs
Watch JEE Free Lectures
↗
Download Our App
↗
Follow Us
Login / Register
Back
Report
Report Issue
×
Wrong Answer
Typo Error
Image Issue
Not Clear
Other
JEE Advance 2012
paper 2
Multiple correct answers - Select all that apply
Question
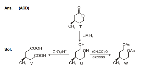
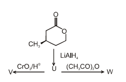
With reference to the scheme given, which of the given statments(s) about T, U, V and W is (are) correct?
Select ALL correct options:
A
T is soluble in hot aqueous NaOH
B
$U$ is optically active
C
Molecular formula of W is $\mathrm{C}_{10} \mathrm{H}_{18} \mathrm{O}_4$
D
V gives effervescence on treatment with aqueous $\mathrm{NaHCO}_3$
Submit Selected Answers
✓ Correct! Well done.
✗ Incorrect. Try again or view the solution.
⚠ Partially correct. Some answers are missing.
View Solution
Solution
Question Tags
JEE Advance
Chemistry
Easy
Start Preparing for JEE with Competishun
YouTube
Books
App
Tests
Filters
0
Subject
▾
Exam
▾
JEE Main
JEE Advance
Difficulty
▾
Easy
Medium
Hard
Year
▾
✕ Clear All
Showing
18
questions
Q
JEE Main 2024
2024
Given below are two statements :
Statement I : When the white light passed through a prism, the red...
JEE Main
Physics
Easy
View Solution
→
Q
JEE Main 2024
2024
Consider the matrices : $\mathrm{A}=\left[\begin{array}{rr}2 & -5 \\ 3 & \mathrm{~m}\end{array}\right], \mathrm{B}=\left[\begin{array}{c}20 \\ \mathrm{~m}\end{array}\right]$ and $X=\left[\begin{array}{l}x \\ y\end{array}\right]$. Let the...
JEE Main
Physics
Easy
View Solution
→
Q
JEE Main 2024
2024
Let the inverse trigonometric functions take principal values. The number of real solutions of the equation $...
JEE Main
Mathematics
Easy
View Solution
→
Q
JEE Main 2024
2024
If $\left(\frac{1}{\alpha+1}+\frac{1}{\alpha+2}+\cdots .+\frac{1}{\alpha+1012}\right)-\left(\frac{1}{2 \cdot 1}+\frac{1}{4 \cdot 3}+\frac{1}{6 \cdot 5}+\cdots .+\frac{1}{2024 \cdot 2023}\right)=\frac{1}{2024}$, then $\alpha$ is equal to-
JEE Main
Mathematics
Easy
View Solution
→
Q
JEE Main 2024
2024
The square of the distance of the image of the point $(6,1,5)$ in the line $\frac{x-1}{3}=\frac{y}{2}=\frac{z-2}{4}$, from the origin is
JEE Main
Mathematics
Easy
View Solution
→
Q
JEE Main 2024
2024
Let $\mathrm{A}, \mathrm{B}$ and C be three points on the parabola $y^2=6 x$ and let the line segment $A B$...
JEE Main
Mathematics
Easy
View Solution
→
Q
JEE Main 2024
2024
Let $A=\{(x, y): 2 x+3 y=23, x, y \in N\}$ and $\mathrm{B}=\{\mathrm{x}:(\mathrm{x}, \mathrm{y}) \in \mathrm{A}\}$. Then the number of one-one...
JEE Main
Mathematics
Easy
View Solution
→
Q
JEE Main 2024
2024
The number of integers, between 100 and 1000 having the sum of their digits equals to 14, is
JEE Main
Mathematics
Easy
View Solution
→
Q
JEE Main 2024
2024
For a differentiable function $\mathrm{f}: I R \rightarrow I R$, suppose $f^{\prime}(\mathrm{x})=3 f(\mathrm{x})+\alpha$, where $\alpha \in \mathrm{IR}, f(0)=1$ and $...
JEE Main
Mathematics
Easy
View Solution
→
Q
JEE-Main 2024
2024
The number of moles of methane required to produce $11 \mathrm{~g} \mathrm{CO}_2(\mathrm{~g})$ after complete combustion is: (Given molar mass of...
JEE Main
Chemistry
Easy
View Solution
→
Q
JEE Main 2024
2024
Let the set of all values of $p$, for which $f(x)=\left(p^2-6 p+8\right)\left(\sin ^2 2 x-\cos ^2 2 x\right)+2(2-p) x+7$ does...
JEE Main
Mathematics
Easy
View Solution
→
Q
JEE Main 2024
2024
Consider the circle $C: x^2+y^2=4$ and the parabola $P: y^2=8 x$. If the set of all values of $\alpha$, for...
JEE Main
Mathematics
Easy
View Solution
→
Q
JEE Main 2024
2024
Let $\vec{a}=2 \hat{\imath}+\alpha \hat{\jmath}+\hat{k}, \dot{b}=-\hat{\imath}+\hat{k}, \vec{c}=\beta \hat{\jmath}-\hat{k}$, where $\alpha$ and $\beta$ are integers and $\alpha \beta=-6$. Let the values of...
JEE Advance
Mathematics
Easy
View Solution
→
Q
JEE Main 2024
2024
Let $\alpha, \beta ; \alpha>\beta$, be the roots of the equation $x^2-\sqrt{2} x-\sqrt{3}=0$. Let $P_n=\alpha^n-\beta^n, n \in N$. Then $...
JEE Main
Mathematics
Easy
View Solution
→
Q
JEE-Main 2024
2024
For the electro chemical cell
JEE Main
Chemistry
Easy
View Solution
→
Q
JEE-Main 2024
2024
Consider the given chemical reaction :
JEE Main
Chemistry
Easy
View Solution
→
Q
JEE-Main 2024
2024
consider-the-above-reaction-sequence-and-identify-the-major-product-p
JEE Main
Chemistry
Easy
View Solution
→
Q
JEE-Main 2024
2024
Given below are two statements :
JEE Main
Chemistry
Easy
View Solution
→
Load More Questions
Check this project
|
Best Developer Portfolio
Scan the code
Powered by
Joinchat
Hello 👋 Welcome to Competishun – India’s most trusted platform for JEE & NEET preparation.
Need help with JEE / NEET courses, fees, batches, test series or free study material? Chat with us now 👇
Open Chat