Competishun Header

Report Issue

Determinants

Get chapter-wise JEE Main & Advanced questions with solutions

Q JEE MAIN 2026
Let $y=y(x)$ be the solution of the differential equation $x \frac{\mathrm{~d} y}{\mathrm{~d} x}-y=x^2 \cot x, x \in(0, \pi)$. If $y\left(\frac{\pi}{2}\right)=\frac{\pi}{2}$,...
JEE Main Mathematics Easy
View Solution
Q JEE MAIN 2026
If the system of equations $$ \begin{aligned} & 3 x+y+4 z=3 \\ & 2 x+\alpha y-z=-3 \\ & x+2 y+z=4...
JEE Main Mathematics Easy
View Solution
Q JEE MAIN 2019
Let $\alpha$ and $\beta$ be the roots of the equation $x^2+x+1=0$. Then for $y \neq 0$ in $...
JEE Main Mathematics Medium
View Solution
Q JEE MAIN_2019_
If $...
JEE Main Mathematics Medium
View Solution
Q JEE MAIN 2020
If a curve $\mathrm{y}=f(\mathrm{x})$, passing through the point $(1,2)$, is the solution of the differential equation, $...
JEE Main Mathematics Easy
View Solution
Q JEE MAIN 2019
A value of θ ∈ (0, π/3), for which
JEE Main Mathematics Medium
View Solution
Q JEE Main 2020
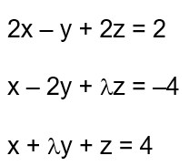
Let S be the set of all $\lambda \in \mathrm{R}$ for which the system of linear equations has no solution....
JEE Main Mathematics Medium
View Solution
Q JEE MAIN 2020
I the matrices $...
JEE Main Mathematics Easy
View Solution
Q JEE MAIN 2020
The sum of distinct values of λ for which the system of equations (λ – 1)x + (3λ + 1)y...
JEE Main Mathematics Easy
View Solution
Q JEE MAIN
The values of $\lambda$ and $\mu$ for which the system of linear equations $$ \begin{aligned} & x+y+z=2 \\ & x+2...
JEE Main Mathematics Easy
View Solution
Q JEE MAIN 2020
Let $\lambda \in \mathrm{R}$. The system of linear equations $$ \begin{aligned} & 2 x_1-4 x_2+\lambda x_3=1 \\ & x_1-6 x_2+x_3=2...
JEE Main Mathematics Medium
View Solution
Q JEE MAIN 2019
Let f be a differentiable function such that $f(1)=2$ and $f^{\prime}(x)=f(x)$ for all $x \in R$. If $h(x)=f(f(x))$, then $h^{\prime}(1)$...
JEE Main Mathematics Medium
View Solution
Q JEE MAIN 2019
If a curve passes through the point $(1,-2)$ and has slope of the tangent at any point $(x, y)$ on...
JEE Main Mathematics Medium
View Solution
Q JEE MAIN 2019
If $...
JEE Main Mathematics Easy
View Solution
Q JEE MAIN 2020
If the system of linear equations $...
JEE Main Mathematics Easy
View Solution
Q JEE MAIN 2019
If $y(x)$ is the solution of the differential equation $\frac{d y}{d x}+\left(\frac{2 x+1}{x}\right) y=e^{-2 x}, x>0$ where $y(1)=\frac{1}{2} e^{-2}$ then
JEE Main Physics Medium
View Solution
Q JEE MAIN 2020
For which of the following ordered pairs $(\mu, \delta)$, the system of linear equations $...
JEE Main Mathematics Easy
View Solution
Q JEE MAIN 2020
If for some $\alpha$ and $\beta$ in R , the intersection of the following three planes $...
JEE Main Mathematics Medium
View Solution
Q JEE MAIN 2019
Let $\lambda$ be a real number for which the system of linear equations $$ \begin{aligned} & x+y+z=6 \\ & 4...
JEE Main Mathematics Hard
View Solution
Q JEE-MAIN 2020
If for some $\alpha \in \mathrm{R}$, the lines $L_1: \frac{x+1}{2}=\frac{y-2}{-1}=\frac{z-1}{1}$ and $\mathrm{L}_2: \frac{\mathrm{x}+2}{\alpha}=\frac{\mathrm{y}+1}{5-\alpha}=\frac{\mathrm{z}+1}{1}$ are coplanar, then the line $L_2$ passes...
JEE Main Mathematics Easy
View Solution
Q JEE MAIN 2019
The sum of the real roots of the equation $...
JEE Main Mathematics Medium
View Solution
Q JEE MAIN 2020
Suppose the vectors $x_1, x_2$ and $x_3$ are the solutions of the system of linear equations, $A x=b$ when the...
JEE Main Mathematics Medium
View Solution
Q JEE MAIN_2021_
Let [ $\lambda$ ] be the greatest integer less than or equal to $\lambda$. The set of all values of...
JEE Main Mathematics Medium
View Solution
Q JEE MAIN 2020
If the system of equations $$ \begin{aligned} & x-2 y+3 z=9 \\ & 2 x+y+z=b \end{aligned} $$ $x-7 y+a z=24$,...
JEE Main Mathematics Medium
View Solution
Q JEE Main 2019
Let $d \in R$, and $$ A\left[\begin{array}{ccc} -2 & 4+d & (\sin \theta)-2 \\ 1 & (\sin \theta)+2 & d...
JEE Main Mathematics Easy
View Solution
Q JEE MAIN 2020
The following system of linear equations 7x + 6y – 2z = 0 3x + 4y + 2z = 0...
JEE Main Mathematics Easy
View Solution
Q JEE MAIN 2019
The solution of the differential equation, $\frac{d y}{d x}=(x-y)^2$, when $y(1)=1$, is
JEE Main Mathematics Medium
View Solution
Q JEE MAIN 2020
If the system of equations $$ \begin{aligned} & x+y+z=2 \\ & 2 x+4 y-z=6 \\ & 3 x+2 y+\lambda z=\mu...
JEE Main Mathematics Easy
View Solution
Q JEE-MAIN 2020
Let S be the set of all integer solutions, (x, y, z), of the system of equations $$ \begin{aligned} &...
JEE Main Mathematics Easy
View Solution
Q JEE MAIN 2019
The integral $\int_{\pi / 6}^{\pi / 4} \frac{d x}{\sin 2 x\left(\tan ^5 \times \cot ^5 x\right)}$ equals :
JEE Main Mathematics Hard
View Solution
Q JEE MAIN 2019
If $...
JEE Main Mathematics Easy
View Solution
Q JEE MAIN 2020
The system of linear equations $...
JEE Main Mathematics Medium
View Solution
Q JEE MAIN 2020
If the system of linear equations 2x + 2ay + az = 0 2x + 3by + bz = 0...
JEE Main Mathematics Medium
View Solution
Q JEE MAIN 2021
If the following system of linear equations $...
JEE Main Mathematics Easy
View Solution
Q JEE MAIN 2019
Let $A=\left[\begin{array}{ccc}2 & b & 1 \\ b & b^2+1 & b \\ 1 & b & 2\end{array}\right]$ where $b>0$....
JEE Main Mathematics Medium
View Solution
Q JEE MAIN 2019
Let $a_1, a_2, a_3 \ldots a_{10}$ in G.P with $a_i>0$ for $i=1,2, \ldots \ldots, 10$ and $S$ be the set...
JEE Main Physics Medium
View Solution
Q JEE Main 2021
If $\alpha+\beta+\gamma=2 \pi$, then the system of equations $$ \begin{aligned} & x+(\cos \gamma) y+(\cos \beta) z=0 \\ & (\cos \gamma)...
JEE Main Mathematics Medium
View Solution
Q JEE MAIN 2021
Let y=y(x) be the solution of the differential equation $\frac{d y}{d x}=2(y+2 \sin x-5) x-2 \cos x$ such that $y(0)=7$....
JEE Main Mathematics Easy
View Solution
Q JEE MAIN 2021
If the system of linear equations $$ \begin{aligned} & 2 x+y-z=3 \\ & x-y-z=\alpha \\ & 3 x+3 y+\beta z=3...
JEE Main Mathematics Easy
View Solution
Q JEE Main 2021
Let $\theta \in\left(0, \frac{\pi}{2}\right)$. If the system of linear equations $$ \begin{aligned} & \left(1+\cos ^2 \theta\right) x+\sin ^2 \theta y+4...
JEE Main Mathematics Medium
View Solution
Q JEE MAIN 2021 S2
Consider the system of linear equations $$ \begin{aligned} & -x+y+2 z=0 \\ & 3 x-a y+5 z=1 \\ & 2...
JEE Main Mathematics Medium
View Solution
Q JEE MAIN_2021_
The values of $a$ and $b$, for which the system of equations $$ \begin{aligned} & 2 x+3 y+6 z=8 \\...
JEE Main Mathematics Medium
View Solution
Q JEE MAIN 2021
Let $...
JEE Main Mathematics Easy
View Solution
Q JEE MAIN 2021
For real numbers $\alpha$ and $\beta$, consider the following system of linear equations: $x+y-z=2, x+2 y+\alpha z=1,2 x-y+z=\beta$. If the...
JEE Main Mathematics Medium
View Solution
Q JEE MAIN 2021
Consider the following system of equations : $$ \begin{aligned} & x+2 y-3 z=a \\ & 2 x+6 y-11 z=b \\...
JEE Main Mathematics Easy
View Solution
Q JEE MAIN 2021
The number of distinct real roots of $...
JEE Main Mathematics Medium
View Solution
Q JEE MAIN_2021
The values of $\lambda$ and $\mu$ such that the system of equations $x+y+\mid z=6,3 x+5 y+5 z=26, x+2 y+\lambda z=\mu$...
JEE Main Mathematics Medium
View Solution
Q JEE MAIN 2021
Let $a, b, c, d$ be in arithmetic progression with common difference $\lambda$. If $...
JEE Main Mathematics Easy
View Solution
Q JEE-MAIN 2021
If $1, \log _{10}\left(4^x-2\right)$ and $\log _{10}\left(4^x+\frac{18}{5}\right)$ are in arithmetic progression for a real number $x$, then the value of...
JEE Main Mathematics Easy
View Solution
Q JEE MAIN 2021
The following system of linear equations 2x + 3y + 2z = 9 3x + 2y + 2z = 9...
JEE Main Mathematics Easy
View Solution
Q JEE-MAIN 2021
If $x, y, z$ are in arithmetic progression with common difference $d, x 3 d$, and the determinant of the...
JEE Main Mathematics Easy
View Solution
Q JEE MAIN_2021_1
IF A is
JEE Main Mathematics Medium
View Solution
Q JEE MAIN 2021
Let the system of linear equations $...
JEE Main Mathematics Medium
View Solution
Q JEE MAIN 2021
The value of $k \in R$, for which the following system of linear equations $$ \begin{aligned} & 3 x-y+4 z=3...
JEE Main Mathematics Easy
View Solution
Q JEE MAIN 2021
Let $A$ be a $3 \times 3$ matrix with $\operatorname{det}(A)=4$. Let $R_i$ denote the ith row of $A$. If a...
JEE Main Mathematics Easy
View Solution
Q JEE MAIN 2021
The maximum value of $$ f(x)=\left|\begin{array}{ccc} \sin ^2 & 1+\cos ^2 x & \cos 2 x \\ 1+\sin ^2 x...
JEE Main Mathematics Easy
View Solution
Q JEE MAIN_2021
The system of equations $\mathrm{kx}+\mathrm{y}+\mathrm{z}=1, \mathrm{x}+\mathrm{ky}+\mathrm{z} =k$ and $x+y+z k=k^2$ has no solution if $k$ is equal to i
JEE Main Mathematics Medium
View Solution
Q JEE MAIN 2021
Let $\alpha, \beta, \gamma$ be the real roots of the equation, $\mathrm{x}^2+\mathrm{ax}^2 +b x+c=0,(a, b, c \in R$ and $...
JEE Main Mathematics Easy
View Solution
Q JEE MAIN 2021
The solutions of the equation
JEE Main Mathematics Medium
View Solution
Q JEE MAIN 2021
The value of $$ \left|\begin{array}{lll} (a+1)(a+2) & a+2 & 1 \\ (a+2)(a+3) & a+3 & 1 \\ (a+3)(a+4) & a+4...
JEE Main Mathematics Easy
View Solution
Q JEE MAIN 2021
The system of linear equations 3x – 2y – kz = 10 2x – 4y – 2z = 6 x...
JEE Main Mathematics Medium
View Solution
Q JEE MAIN 2021
If the system of equations kx + y + 2z = 1 3x – y – 2z = 2 –2x...
JEE Main Mathematics Easy
View Solution
Q JEE MAIN_2022
If the system of linear equations. $$ \begin{aligned} & 8 x+y+4 z=-2 \\ & x+y+z=0 \\ & \lambda x-3 y=\mu...
JEE Main Mathematics Easy
View Solution
Q JEE MAIN 2022
The number of $\theta \in(0,4 \pi)$ for which the system of linear equations $...
JEE Main Mathematics Easy
View Solution
Q MEMORY BASED QUESTION 2026
If $A=\left[\begin{array}{ll}\alpha & 2 \\ 1 & 2\end{array}\right], B=\left[\begin{array}{ll}1 & 1 \\ \beta & 1\end{array}\right]$ and $...
JEE Main Mathematics Easy
View Solution
Q JEE MAIN 2022
Let $...
JEE Main Mathematics Medium
View Solution
Q JEE MAIN 2022
If the system of equations $\alpha x+y+z=5, x+2 y+3 z=4, x+3 y+5 z=\beta$, has infinitely many solutions, then the ordered...
JEE Main Mathematics Medium
View Solution
Q JEE MAIN 2022
Let the system of linear equations $$ \begin{aligned} & x+y+\alpha z=2 \\ & 3 x+y+z=4 \\ & x+2 z=1 \end{aligned}...
JEE Main Mathematics Medium
View Solution
Q JEE MAIN 2022
The system of equations $$ \begin{aligned} & -k x+3 y-14 z=25 \\ & -15 x+4 y-k z=3 \\ & -4...
JEE Main Mathematics Easy
View Solution
Q JEE MAIN 2022
If the system of linear equations where $\lambda \in \mathbb{R}$, has no solution, then
JEE Main Mathematics Medium
View Solution
Q JEE MAIN 2022
Let the system of linear equations $x+2 y+z=2, \alpha x+3 y-z=\alpha,-\alpha x+y+2 z=-\alpha$ be inconsistent. Then $\alpha$ is equal to...
JEE Main Mathematics Easy
View Solution
Q JEE MAIN 2022
The ordered pair ( $a, b$ ), for which the system of linear equations $$ \begin{aligned} & 3 x-2 y+z=b...
JEE Main Mathematics Medium
View Solution
Q JEE MAIN 2022
The number of values of a for which the system of equations : $...
JEE Main Mathematics Easy
View Solution
Q JEE MAIN 2023
Let S be the set of values of $\lambda$, for which the system of equations $$ \begin{aligned} & 6 \lambda...
JEE Main Mathematics Medium
View Solution
Q JEE-Main 2023
Let $S$ be the set of all values of $\theta \in[-\pi, \pi]$ for which the system of linear equations $...
JEE Main Mathematics Medium
View Solution
Q JEE MAIN 2023
Let for $\mathrm{A}=\left[\begin{array}{lll}1 & 2 & 3 \\ \mathrm{a} & 3 & 1 \\ 1 & 1 & 2\end{array}\right],|\mathrm{A}|=2$. If...
JEE Main Mathematics Easy
View Solution
Q JEE MAIN 2023
If the system of equations $$ \begin{aligned} & 2 x+y-z=5 \\ & 2 x-5 y+\lambda z=\mu \\ & x+2 y-5...
JEE Main Mathematics Easy
View Solution
Q JEE MAIN 2025
If the system of equations $$ \begin{aligned} & 2 x+\lambda y+3 z=5 \\ & 3 x+2 y-z=7 \\ & 4...
JEE Main Mathematics Easy
View Solution
Q JEE MAIN_2025
Let the system of equations $$ \begin{aligned} & x+5 y-z=1 \\ & 4 x+3 y-3 z=7 \\ & 24 x+y+\lambda...
JEE Main Physics Medium
View Solution
Q JEE MAIN 2023
Let the system of linear equations has a unique solution $x=\alpha, y=\beta, z=\gamma$. Then the distance of the point $...
JEE Main Physics Medium
View Solution
Q JEE MAIN 223
For the system of linear equations $$ \begin{aligned} & 2 x+4 y+2 a z=b \\ & x+2 y+3 z=4 \\...
JEE Main Mathematics Easy
View Solution
Q JEE MAIN 2023
Let $D_k=\left|\begin{array}{ccc}1 & 2 k & 2 k-1 \\ n & n^2+n+2 & n^2 \\ n & n^2+n & n^2+n+2\end{array}\right|$....
JEE Main Mathematics Medium
View Solution
Q JEE MAIN 2023
Let $A=\left[\begin{array}{ccc}2 & 1 & 0 \\ 1 & 2 & -1 \\ 0 & -1 & 2\end{array}\right]$. If |adj...
JEE Main Mathematics Medium
View Solution
Q JEE MAIN 2023
For the system of linear equations 2x - y + 3z = 5 3x + 2y – z = 7...
JEE Main Mathematics Medium
View Solution
Q JEE-Main 2023
If the system of equations x + y + az = b 2x + 5y + 2z = 6 x...
JEE Main Mathematics Easy
View Solution
Q JEE-Main 2024
Let αβγ=45;α,β,γ∈R. If x(α,1,2)+y(1,β,2) +z(2,3,γ)=(0,0,0) for some x,y,z∈R,xyz≠ 0, then 6α+4β+γ is equal to_____.
JEE Main Mathematics Medium
View Solution
Q JEE MAIN
Let $\lambda, \mu \in R$. If the system of equations $3 x+5 y+\lambda z=3$ 7x+11y-9z=2 $97 x+155 y-189 z=\mu$ has...
JEE Main Mathematics Easy
View Solution
Q JEE-Main 2024
For α,β∈R and a natural number n, let
JEE Main Mathematics Easy
View Solution
Q JEE MAIN 2024
Let λ,μ∈R. If the system of equations 3x+5y+λz=3 7x+11y-9z=2 97x+155y-189z=μ has infinitely many solutions, then μ+2λ is equal to :
JEE Main Mathematics Medium
View Solution
Q JEE-Main 2024
$\int_0^{\pi / 4} \frac{\cos ^2 x \sin ^2 x}{\left(\cos ^3 x+\sin ^3 x\right)^2} d x$ is equal to $\_\_\_\_$
JEE Main Mathematics Easy
View Solution
Q JEE MAIN 2024N
If the system of equations has infinitely many solutions, then $\lambda^4-\mu$ is equal to:
JEE Main Mathematics Easy
View Solution
Q JEE MAIN 2024
If the system of equations $$ \begin{aligned} & x+(\sqrt{2} \sin \alpha) y+(\sqrt{2} \cos \alpha) z=0 \\ & \mathrm{x}+(\cos \alpha) \mathrm{y}+(\sin...
JEE Main Mathematics Easy
View Solution
Q JEE MAIN 2024
Consider the system of linear equation x+y+z= 4μ,x+2y+2λz=10μ,x+3y+4λ^2 z=μ^2+15, where λ,μ∈R. Which one of the following statements is NOT correct?
JEE Main Mathematics Medium
View Solution
Q JEE-Main 2024
If the system of equations 2x+3y-z=5 x+αy+3z=-4 3x-y+βz=7 has infinitely many solutions, then 13αβ is equal to
JEE Main Mathematics Medium
View Solution
Q JEE MAIN 2024
If the system of linear equations $$ \begin{aligned} & x-2 y+z=-4 \\ & 2 x+\alpha y+3 z=5 \\ & 3...
JEE Main Mathematics Medium
View Solution
Q JEE MAIN 2025
Let $A=\left[a_{i j}\right]$ be a matrix of order $3 \times 3$, with $\mathrm{a}_{i j}=(\sqrt{2})^{i+j}$. If the sum of all the...
JEE Main Mathematics Easy
View Solution
Q JEE MAIN 2025
Let $\alpha, \beta(\alpha \neq \beta)$ be the values of $m$, for which the equations $x+y+z=1 ; x+2 y+4 z=m$ and...
JEE Main Mathematics Easy
View Solution
Q JEE MAIN 2025
Let $A=\left[\begin{array}{cc}\frac{1}{\sqrt{2}} & -2 0 & 1\end{array}\right]$ and $\mathrm{P}=\left[\begin{array}{cc}\cos \theta & -\sin \theta \sin \theta & \cos \theta\end{array}\right], \theta>0$. If...
JEE Main Mathematics Medium
View Solution
Q JEE MAIN 2025
Let the system of equations: $2x + 3y + 5z = 9$ $7x + 3y - 2z = 8$ $...
JEE Main Mathematics Easy
View Solution
Q JEE MAIN 2025
For some a, b, let $$ f(x)=\left|\begin{array}{ccc} a+\frac{\sin x}{x} & 1 & \mathbf{b} \\ \mathbf{a} & 1+\frac{\sin x}{x} & \mathbf{b}...
JEE Main Mathematics Easy
View Solution
Q JEE MAIN 2025
If the system of equations $x+2 y-3 z=2$ $2 x+\lambda y+5 z=5$ $14 x+3 y+\mu z=33$ has infinitely many solutions,...
JEE Main Mathematics Easy
View Solution
Q JEE MAIN 2025
If the system of linear equations $...
JEE Main Mathematics Easy
View Solution
Q JEE MAIN 2025
The system of equations $x+y+z=6$, $x+2 y+5 z=9$, $x+5 y+\lambda z=\mu$, has no solution if
JEE Main Mathematics Easy
View Solution
Q JEE MAIN 2025
Let $\mathrm{A}=\left[\mathrm{a}_{\mathrm{ij}}\right]$ be a $3 \times 3$ matrix such that $\mathrm{A}\left[\begin{array}{l}0 1 0\end{array}\right]=\left[\begin{array}{l}0 0 1\end{array}\right], \mathrm{A}\left[\begin{array}{l}4 1 3\end{array}\right]=\left[\begin{array}{l}0 1 0\end{array}\right]$...
JEE Main Mathematics Easy
View Solution
Q JEE MAIN 2025
Let $A = \left[ {{a_{ij}}} \right] = \left[ {\begin{array}{*{20}{c}} {{{\log }_5}128}&{{{\log }_4}5}\\ {{{\log }_5}8}&{{{\log }_4}25} \end{array}} \right]$. If ${A_{ij}}$ is...
JEE Main Mathematics Medium
View Solution
Q JEE MAIN 2025
If the system of linear equations : $$ \begin{aligned} & x+y+2 z=6 \\ & 2 x+3 y+a z=a+1 \\ &...
JEE Main Mathematics Medium
View Solution
Q JEE MAIN 2025
For a $3 \times 3$ matrix $M$, let trace $(M)$ denote the sum of all the diagonal elements of $M$....
JEE Main Mathematics Easy
View Solution