Competishun Header

Report Issue

Biomolecules

Get chapter-wise JEE Main & Advanced questions with solutions

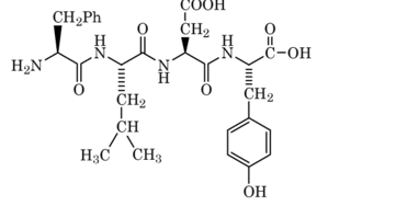
Q JEE MAIN 2026
In the given pentapeptide, find out an essential amino acid $(\mathrm{Y})$ and the sequence present in the pentapeptide:
JEE Main Chemistry Medium
View Solution
Q JEE MAIN_2026_
Structures of four disaccharides are given below. Among the given disaccharides, the non-reducing sugar is :
JEE Main Chemistry Easy
View Solution
Q JEE MAIN 2026
The number of possible tripeptides formed involving alanine (ala), glycine (gly) and valine (val), where no amino acid has been...
JEE Main Chemistry Easy
View Solution
Q JEE MAIN 2026
Both human DNA and RNA are chiral molecules. The chirality in DNA and RNA arises due to the presence of
JEE Main Chemistry Easy
View Solution
Q JEE MAIN 2026
From the given following (A to D) cyclic structures, those which will not react with Tollen's reagent are :
JEE Main Chemistry Medium
View Solution
Q JEE MAIN 2026
The correct statements are: A. Activation energy for enzyme catalysed hydrolysis of sucrose is lower than that of acid catalysed...
JEE Main Chemistry Easy
View Solution
Q JEE MAIN 2026
Given below are two statements: Statement I: Sucrose is dextrorotatory. However, sucrose upon hydrolysis gives a solution having mixture of...
JEE Main Chemistry Easy
View Solution
Q JEE MAIN 2026
Match List - I with List - II. Choose the correct answer from the options given below :
JEE Main Chemistry Medium
View Solution
Q JEE MAIN_2026_
Identify the correct statements. A. Arginine and Tryptophan are essential amino acids. B. Histidine does not contain heterocyclic ring in...
JEE Main Chemistry Medium
View Solution
Q JEE MAIN 2019
Which of the following statements is not true about sucrose?
JEE Main Chemistry Easy
View Solution
Q JEE MAIN 2020
Consider the following rections: (i) Glucose $+\mathrm{ROH} \xrightarrow{\text { dry } \mathrm{HCl}}$ Acetal $\xrightarrow[\left(\mathrm{CH}_3 \mathrm{cO}\right)_2 \mathrm{O}]{\text { xeq. of }}$...
JEE Main Chemistry Medium
View Solution
Q JEE MAIN 2020
The correct observation in the following reactions is :
JEE Main Chemistry Medium
View Solution
Q JEE MAIN 2019
Glucose and Galactose are having identical configuration in all the positions except position
JEE Main Chemistry Medium
View Solution
Q JEE MAIN 2019
Which of the following statements is not true about RNA
JEE Main Chemistry Medium
View Solution
Q JEE-MAIN 2019
Among the following compounds most basic amino acid is
JEE Main Chemistry Easy
View Solution
Q JEE MAIN_2019_
Amylopectin is composed of
JEE Main Chemistry Easy
View Solution
Q JEE MAIN 2020
The number of chiral carbon(s) present in peptide, Ile-Arg-Pro, is
JEE Main Chemistry Medium
View Solution
Q JEE MAIN 2019
The correct structure of histidine in a strongly acidic solution (pH = 2) is
JEE Main Chemistry Medium
View Solution
Q JEE MAIN 2020
Which of the following is not an essential amino acid?
JEE Main Chemistry Easy
View Solution
Q JEE MAIN 2020
Which one of the following statements is not true?
JEE Main Chemistry Medium
View Solution
Q JEE MAIN 2019
Among the following compounds, which one is found in RNA?
JEE Main Chemistry Easy
View Solution
Q JEE MAIN 2020
The number of chiral centres in penicillin is _____.
JEE Main Chemistry Easy
View Solution
Q JEE-MAIN 2020
The number of chiral carbons present in sucrose is _____.
JEE Main Chemistry Easy
View Solution
Q JEE MAIN 2020
Which of the following statement is not true for glucose?
JEE Main Chemistry Easy
View Solution
Q JEE MAIN 2019
Number of stereo centers present in linear and cyclic structures of glucose are respectively :
JEE Main Chemistry Easy
View Solution
Q JEE MAIN 2020
The number of chiral centres present in threonine is ________.
JEE Main Chemistry Easy
View Solution
Q JEE MAIN 2020
What are the functional groups present in the structure of maltose?
JEE Main Chemistry Easy
View Solution
Q JEE MAIN 2020
Which of the following will react with $\mathrm{CHCl}_3+$ alc. KOH ?
JEE Main Chemistry Medium
View Solution
Q JEE MAIN 2020
A, B and C are three biomolecules. The results of the tests performed on them are given below
JEE Main Chemistry Medium
View Solution
Q JEE MAIN 2019
The correct match between Item I and Item II is:
JEE Main Chemistry Easy
View Solution
Q JEE MAIN 2019
The correct match between Item I and Item II is:
JEE Main Chemistry Easy
View Solution
Q JEE MAIN 2020
Two monomers in maltose are
JEE Main Chemistry Easy
View Solution
Q JEE MAIN 2021
Hydrolysis of sucrose gives
JEE Main Chemistry Easy
View Solution
Q JEE MAIN 2021
The total number of negative charge in the tetrapeptide, Gly-Glu-Asp-Tyr, at pH 12.5 will be ________. (Integer answer)
JEE Main Chemistry Hard
View Solution
Q JEE MAIN 2019
Which of the following tests cannot be used for identifying amino acids?
JEE Main Chemistry Easy
View Solution
Q JEE MAIN 2021
Which of the following is NOT an example of fibrous protein ?
JEE Main Chemistry Easy
View Solution
Q JEE MAIN 2019
The correct match between item ‘I’ and item ‘II’ is :
JEE Main Chemistry Easy
View Solution
Q JEE MAIN 2021
A peptide synthesized by the reactions of one molecule each of Glycine, Leucine, Aspartic acid and Histidine will have ________...
JEE Main Chemistry Easy
View Solution
Q JEE-MAIN 2021
Given below are two statements : one is labelled as Assertion (A) and other is labelled as Reason (R). Assertion...
JEE Main Chemistry Easy
View Solution
Q JEE MAIN 2021
Out of following isomeric forms of uracil, which one is present in RNA ?
JEE Main Chemistry Easy
View Solution
Q JEE-MAIN 2021
A peptide synthesized by the reactions of one molecule each of Glycine, Leucine, Aspartic acid and Histidine will have ________...
JEE Main Chemistry Easy
View Solution
Q JEE MAIN 2021
Which one of the following compounds contains $\beta-\mathrm{C}_1-\mathrm{C}_4$ glycosidic linkage?
JEE Main Chemistry Easy
View Solution
Q JEE MAIN 2019
Maltose on treatment with dilute HCl gives
JEE Main Chemistry Easy
View Solution
Q JEE MAIN 2021
Identify the incorrect statement from the following
JEE Main Chemistry Easy
View Solution
Q JEE MAIN 2021
Which one of the following is correct structure for cytosine ?
JEE Main Chemistry Medium
View Solution
Q JEE MAIN 2021
Thiamine and pyridoxine are also known respectively as :
JEE Main Chemistry Easy
View Solution
Q JEE MAIN 2021
The water soluble protein is :
JEE Main Chemistry Easy
View Solution
Q JEE MAIN 2021
The compound 'A' is a complementary base of __________ in DNA stands.
JEE Main Chemistry Easy
View Solution
Q JEE MAIN 2021
Which one among the following chemical tests is used to distinguish monosaccharide from disaccharide ?
JEE Main Chemistry Medium
View Solution
Q JEE MAIN 2019
Fructose and glucose can be distinguished by:
JEE Main Chemistry Easy
View Solution
Q JEE-MAIN 2021
In the reactions, the enzyme A and enzyme B respectively are : –
JEE Main Chemistry Easy
View Solution
Q JEE MAIN 2021
Deficiency of vitamin K causes :
JEE Main Chemistry Easy
View Solution
Q JEE Main 2019
The increasing order of pKa of the following amino acids in aqueous solution is Gly, Asp, Lys, Arg
JEE Main Chemistry Easy
View Solution
Q JEE-MAIN 2021
Fructose is an example of :-
JEE Main Chemistry Easy
View Solution
Q JEE MAIN 2021
The secondary strtucture of protein is stabilised by:
JEE Main Chemistry Easy
View Solution
Q JEE-Main-2021_
Which of the following is correct structure of tyrosine ?
JEE Main Chemistry Medium
View Solution
Q JEE MAIN 2021
A non-reducing sugar "A" hydrolyses to give two reducing mono saccharides. Sugar A is-
JEE Main Chemistry Easy
View Solution
Q JEE MAIN 2021
Which of the following is correct structure of α-anomer of maltose ?
JEE Main Chemistry Easy
View Solution
Q
Seliwanoff test and Xanthoproteic test are used for the identification of _____and _____ respectively
JEE Main Physics Easy
View Solution
Q JEE MAIN 2021
Which of the following vitamin is helpful in delaying the blood clotting -
JEE Main Chemistry Easy
View Solution
Q JEE MAIN 2021
Out of the following, which type of interaction is responsible for the stabilisation of $\alpha$-helix structure of proteins ?
JEE Main Chemistry Easy
View Solution
Q JEE MAIN 2021
Which among the following pairs of Vitamins is stored in our body relatively for longer duration ?
JEE Main Physics Easy
View Solution
Q JEE MAIN 2021
Which of the glycosidic linkage between galactose and glucose is present in lactose?
JEE Main Chemistry Easy
View Solution
Q JEE MAIN 2022
A sugar 'X' dehydrates very slowly under acidic condition to give furfural which on further reaction with resorcinol gives the...
JEE Main Chemistry Easy
View Solution
Q JEE MAIN 2022
For the below given cyclic hemiacetal (X), the correct pyranose structure is :
JEE Main Chemistry Medium
View Solution
Q JEE MAIN 2022
Animal starch is the other name of :
JEE Main Chemistry Easy
View Solution
Q JEE MAIN 2022
In a linear tetrapeptide (Constituted with different amino acids), (number of amino acids) - (number of peptide bonds) is ______...
JEE Main Chemistry Easy
View Solution
Q JEE MAIN 2022
Given below are two statements. One is labeled as Assertion A and the other is labeled as Reason R. Assertion...
JEE Main Chemistry Easy
View Solution
Q JEE MAIN 2022
Glycosidic linkage between $\mathrm{C}_1$ of $\alpha$-glucose and $\mathrm{C}_2$ of $\beta$-fructose is found in
JEE Main Chemistry Easy
View Solution
Q JEE MAIN 2022
Match List-I with List-IIChoose the correct answer from the options given below:
JEE Main Chemistry Easy
View Solution
Q JEE MAIN 2022
The formulas of A and B for the following reaction sequence are
JEE Main Chemistry Easy
View Solution
Q JEE MAIN 2022
Which of the following is reducing sugar?
JEE Main Chemistry Easy
View Solution
Q JEE-Main 2022
During the denaturation of proteins, which of these structures will remain intact ?
JEE Main Chemistry Easy
View Solution
Q JEE MAIN 2022
The structure of protein that is unaffected by heating is :
JEE Main Chemistry Easy
View Solution
Q JEE MAIN 2022
2.5 g of protein containing only glycine $\left(\mathrm{C}_2 \mathrm{H}_5 \mathrm{NO}_2\right)$ s dissolved in water to make 500 mL of solution....
JEE Main Chemistry Medium
View Solution
Q JEE MAIN 2022
When sugar ‘X’ is boiled with dilute $\mathrm{H}_2 \mathrm{SO}_4$ in alcoholic solution, two isomers ‘A’ and ‘B’ are formed. ‘A’...
JEE Main Chemistry Easy
View Solution
Q JEE MAIN 2022
Which one of the following is a water soluble vitamin, that is not excreted easily?
JEE Main Chemistry Easy
View Solution
Q JEE MAIN 2022
How many of the given compounds will give a positive Biuret test ______ ? Glycine, Glycylalanine, Tripeptide, Biuret
JEE Main Chemistry Easy
View Solution
Q JEE-Main 2022
In alanylglycylleucylalanylvaline, the number of peptide linkages is______.
JEE Main Chemistry Easy
View Solution
Q JEE main 2022
JEE Main Chemistry Easy
View Solution
Q JEE MAIN 2022
The number of carbon atoms present in the product B is __________.
JEE Main Chemistry Easy
View Solution
Q JEE-Main 2022
A polysaccharide ' X ' on boiling with dil $\mathrm{H}_2 \mathrm{SO}_4$ at 393 K under 2-3 atm pressure yields '...
JEE Main Chemistry Medium
View Solution
Q JEE MAIN 2022
Sugar moiety in DNA and RNA molecules respectively are
JEE Main Chemistry Easy
View Solution
Q JEE MAIN 2022
The number of oxygens present in a nucleotide formed from a base, that is present only in RNA is ________.
JEE Main Chemistry Easy
View Solution
Q JEE MAIN 2024
From the vitamins $\mathrm{A}, \mathrm{B}_1, \mathrm{~B}_6, \mathrm{~B}_{12}, \mathrm{C}, \mathrm{D}, \mathrm{E}$ and K , the number vitamins that can be stored...
JEE Main Chemistry Easy
View Solution
Q JEE MAIN 2024
The number of tripeptides formed by three different amino acids using each amino acid once is
JEE Main Chemistry Easy
View Solution
Q JEE MAIN 2022
Which one of the following is an example of artificial sweetner ?
JEE Main Chemistry Easy
View Solution
Q JEE MAIN 2024
The total number of correct statements, regarding the nucleic acids is _______. A. RNA is regarded as the reserve of...
JEE Main Chemistry Easy
View Solution
Q JEE MAIN 2024
Which structure of protein remains intact after coagulation of egg white on boiling?
JEE Main Chemistry Easy
View Solution
Q JEE MAIN 2024
Match List I with List II Choose the correct answer from the options given below :
JEE Main Chemistry Easy
View Solution
Q JEE MAIN 2025
Given below are two statements : Statement (I) : On hydrolysis, oligo peptides give rise to fewer number of -amino...
JEE Main Chemistry Easy
View Solution
Q JEE MAIN 2025
A dipeptide, " $x$ " on complete hydrolysis gives " $y$ " and " $z$ ". " $y$ " on...
JEE Main Chemistry Easy
View Solution
Q JEE MAIN 2025
Given below are two statements: Statement I : Wet cotton clothes made of cellulose based carbohydrate takes comparatively longer time...
JEE Main Chemistry Medium
View Solution
Q JEE MAIN 2025
Fat soluble vitamins are: A. Vitamin $B_1$ B. Vitamin C C. Vitamin E D. Vitamin $\mathrm{B}_{12}$ E. Vitamin K Choose...
JEE Main Chemistry Easy
View Solution
Q JEE MAIN 2023
Number of compounds from the following which will not produce orange red precipitate with Benedict solution is ____. Glucose, maltose,...
JEE Main Chemistry Easy
View Solution
Q JEE MAIN 2023
Match List-I with List-II Choose the correct answer from the options given below :-
JEE Main Chemistry Easy
View Solution
Q JEE MAIN 2023
The naturally occurring amino acid that contains only one basic functional group in its chemical structure is
JEE Main Chemistry Easy
View Solution
Q JEE MAIN 2023
Match List-I with List-II Choose the correct answer from the options given below:-
JEE Main Chemistry Easy
View Solution
Q JEE MAIN 2023
In an oligopeptide named Alanylglycylphenyl alanyl isoleucine, the number of sp2 hybridised carbon is ___.
JEE Main Chemistry Medium
View Solution
Q JEE MAIN 2023
A short peptide on complete hydrolysis produces 3 moles of glycine (G), two moles of leucine (L) and two moles...
JEE Main Chemistry Easy
View Solution
Q JEE MAIN 2023
Following tetrapeptide can be represented as (F, L, D, Y, I, Q, P are one letter codes for amino acids)
JEE Main Chemistry Medium
View Solution
Q JEE-Main_2023
Which of the following compounds are not used as disinfectants? (A) Chloroxylenol (B) Bithional (C) Veronal (D) Prontosil (E) Terpineol...
JEE Main Chemistry Easy
View Solution
Q JEE MAIN 2023
Total number of tripeptides possible by mixing of valine and proline is _________
JEE Main Chemistry Easy
View Solution
Q JEE MAIN 2023
All structures given below are of vitamin C. Most stable of them is :
JEE Main Chemistry Easy
View Solution
Q JEE MAIN 2023
JEE Main Chemistry Easy
View Solution
Q JEE MAIN 2023
Which is not true for arginine?
JEE Main Chemistry Easy
View Solution
Q JEE MAIN 2023
L-isomer of tetrose $X\left(\mathrm{C}_4 \mathrm{H}_8 \mathrm{O}_4\right)$ gives positive Schiff's test and has two chiral carbons. On acetylation. ' X '...
JEE Main Chemistry Medium
View Solution
Q JEE MAIN 2023
The one that does not stabilize $2^{\circ} \text { and } 3^{\circ}$ structures of proteins is
JEE Main Chemistry Medium
View Solution
Q JEE MAIN 2023
The water gas on reacting with cobalt as a catalyst forms
JEE Main Chemistry Easy
View Solution
Q JEE MAIN 2023
Sulphur (S) containing amino acids from the following ar
JEE Main Chemistry Easy
View Solution
Q JEE MAIN 2023
Match List-I with List-II Choose the correct answer from the options given below
JEE Main Chemistry Easy
View Solution
Q JEE MAIN 2023
Sum of oxidation states of bromine in bromic acid and perbromic acid is _______.
JEE Main Chemistry Easy
View Solution
Q JEE MAIN 2023
A protein 'X' with molecular weight of 70,000 u, on hydrolysis gives amino acids. One of these amino acid is
JEE Main Chemistry Easy
View Solution
Q JEE MAIN 2023
Number of cyclic tripeptides formed with 2 amino acids A and B is:
JEE Main Chemistry Easy
View Solution
Q JEE MAIN
The correct representation in six membered pyranose form for the following sugar [X] is
JEE Main Chemistry Medium
View Solution
Q JEE MAIN 2023
Match items of Row I with those of Row II.
JEE Main Chemistry Easy
View Solution
Q JEE MAIN 2024
Total number of essential amino acid among the given list of amino acids is ______ Arginine, Phenylalanine, Aspartic acid, Cysteine,...
JEE Main Chemistry Medium
View Solution
Q JEE MAINS 2024
Which of the following is the correct structure of L-Glucose?
JEE Main Chemistry Easy
View Solution
Q JEE MAIN 2024
Which of the following gives a positive test with ninhydrin?
JEE Main Chemistry Easy
View Solution
Q JEE MAIN 2024
The incorrect statement regarding the given structure is The incorrect statement regarding the given structure is
JEE Main Chemistry Easy
View Solution
Q JEE MAIN 2024
DNA molecule contains 4 bases whoes structure are shown below. One of the structure is not correct, identify the incorrect...
JEE Main Chemistry Hard
View Solution
Q JEE-Main 2024
If one strand of a DNA has the sequence ATGCTTCA, sequence of the bases in complementary strand is:
JEE Main Chemistry Easy
View Solution
Q JEE MAIN 2024
Number of compounds among the following which contain sulphur as heteroatom is Furan,Thiophene, Pyridine, Pyrrole, Cysteine, Tyrosine
JEE Main Chemistry Easy
View Solution
Q JEE MAIN 2024
Match List I with List II Choose the correct answer from the options given below:
JEE Main Chemistry Easy
View Solution
Q JEE MAIN 2024
Type of amino acids obtained by hydrolysis of proteins is :
JEE Main Chemistry Easy
View Solution
Q JEE MAIN 2024
Sugar which does not give reddish brown precipitate with Fehling's reagent is:
JEE Main Chemistry Easy
View Solution
Q JEE MAIN 2025
A tetrapeptide, " $x$ " on complete hydrolysis produced glycine (Gly), alanine (Ala), valine (Val), leucine (Leu) in equimolar proportion...
JEE Main Chemistry Medium
View Solution
Q JEE MAIN 2024
Two nucleotides are joined together by a linkage known as :
JEE Main Chemistry Easy
View Solution
Q JEE MAIN 2025
Identify the essential amino acids from below :[0pt] (A) Valine (B) Proline (C) Lysine (D) Threonine (E) Tyrosine Choose the...
JEE Main Chemistry Medium
View Solution
Q JEE MAIN 2025
Given below are two statements: Statement I: D-(+)-glucose + D-(+) fructose $\xrightarrow{-\mathrm{H}_2 \mathrm{O}}$ Sucrose sucrose $\xrightarrow{\text { hydrolysis }} \mathrm{D}-(+)$...
JEE Main Chemistry Easy
View Solution
Q JEE MAIN 2025
The total number of hydrogen bonds of a DNA-double Helix strand whose one strand has the following sequence of bases...
JEE Main Chemistry Medium
View Solution
Q JEE MAIN 2025
Identify the pair of reactants that upon reaction, with elimination of HCl will give rise to the dipeptide Gly-Ala.
JEE Main Chemistry Easy
View Solution
Q JEE MAIN 2025
Identify correct conversion during acidic hydrolysis from the following : (A) starch gives galactose. (B) cane sugar gives equal amount...
JEE Main Chemistry Easy
View Solution
Q JEE MAIN 2025
Match List - I with List - II. Choose the correct answer from the options given below :
JEE Main Chemistry Medium
View Solution
Q JEE MAIN 2025
Which of the following is the correct structure of L- Fructose?
JEE Main Chemistry Easy
View Solution
Q JEE MAIN 2025
Given below are two statements : In the light of the above statements, choose the most appropriate answer from the...
JEE Main Chemistry Easy
View Solution
Q JEE MAIN 2025
Identify the correct statement among the following :
JEE Main Chemistry Hard
View Solution
Q JEE MAIN 2025
The $\alpha$-Helix and $\beta$-Pleated sheet structures of protein are associated with its :
JEE Main Chemistry Easy
View Solution
Q JEE MAIN 2025
Match List - I with List - II.
JEE Main Chemistry Medium
View Solution
Q JEE MAIN 2025
Given below are two statements: Statement I : D-glucose pentaacetate reacts with 2, 4-dinitrophenylhydrazine Statement II : Starch, on heating...
JEE Main Chemistry Medium
View Solution
Q JEE MAIN 2025
The carbohydrate "Ribose" present in DNA, is A. A pentose sugar B. present in pyranose from C. in "D" configuration...
JEE Main Chemistry Medium
View Solution
Q JEE MAIN 2025
Given below are two statements: Statement I: Fructose does not contain an aldehydic group but still reduces Tollen's reagent Statement...
JEE Main Chemistry Easy
View Solution
Q JEE MAIN 2025
Which of the following acids is a vitamin?
JEE Main Chemistry Hard
View Solution
Q
Let $\alpha, \beta, \gamma$ and $\delta$ be the coefficients of $x^7, x^5, x^3$ and $x$ respectively in the expansion of...
JEE Main Mathematics Medium
View Solution