Competishun Header

Report Issue

2024 JEE PYQ

Get chapter-wise JEE Main & Advanced questions with solutions

Q JEE Main 2024
Consider the function $\mathrm{f}: \mathbb{R} \rightarrow \mathbb{R}$ defined by $f(x)=\frac{2 x}{\sqrt{1+9 x^2}}$. If the composition of $...
JEE Main Mathematics Easy
View Solution
Q JEE Main 2024
Let f: ℝ → ℝ be a thrice differentiable function such that f(0) = 0, f(1) = 1, f(2) =...
JEE Main Mathematics Easy
View Solution
Q JEE Main 2024
If $\int \operatorname{cosec}^5 x d x=\alpha \cot x \operatorname{cosec} x\left(\operatorname{cosec}^2 x+\frac{3}{2}\right)+\beta \log _e\left|\tan \frac{x}{2}\right|+C$ where $\alpha, \beta \in \mathbb{R}$ and...
JEE Main Mathematics Easy
View Solution
Q JEE Main 2024
Let $S=\left\{\sin ^2 2 \theta:\left(\sin ^4 \theta+\cos ^4 \theta\right) x^2+(\sin 2 \theta) x+\left(\sin ^6 \theta+\cos ^6 \theta\right)=0\right.$ has real roots...
JEE Main Mathematics Easy
View Solution
Q JEE Main 2024
Let P the point of intersection of the lines $\frac{x-2}{1}=\frac{y-4}{5}=\frac{z-2}{1}$ and $\frac{x-3}{2}=\frac{y-2}{3}=\frac{z-3}{2}$. Then, the shortest distance of $P$ from the...
JEE Main Mathematics Easy
View Solution
Q JEE Main 2024
Let $y=y(x)$ be the solution of the differential equation $\left(x^2+4\right)^2 d y+\left(2 x^3 y+8 x y-2\right) d x=0$. If $y(0)=$...
JEE Main Mathematics Easy
View Solution
Q JEE Main 2024
Given the inverse trigonometric function assumes principal values only. Let $x, y$ be any two real numbers in $[-1,1]$ such...
JEE Main Mathematics Easy
View Solution
Q JEE Main 2024
Let P Q be a chord of the parabola $y^2=12 x$ and the midpoint of PQ be at $(4,1)$. Then,...
JEE Main Mathematics Easy
View Solution
Q JEE Main 2024
If the mean of the following probability distribution of a random variable X; is $\frac{46}{9}$, then the variance of the...
JEE Main Mathematics Easy
View Solution
Q JEE Main 2024
Consider a hyperbola $H$ having centre at the origin and foci and the $x$-axis. Let $C_1$ be the circle touching...
JEE Main Mathematics Easy
View Solution
Q JEE Main 2024
If the coefficients of $x^4, x^5$ and $x^6$ in the expansion of $(1+x)^n$ are in the arithmetic progression, then the...
JEE Main Mathematics Easy
View Solution
Q JEE Main 2024
Let f(x) = 3 $ \sqrt{\mathrm{x}-2}+\sqrt{4-\mathrm{x}}$ be a real valued function. If $\alpha$ and $\beta$ are respectively the minimum and...
JEE Main Mathematics Easy
View Solution
Q JEE Main 2024
If the value of the integral $\int_{-1}^1 \frac{\cos \alpha x}{1+3^x} d x$ is $\frac{2}{\pi}$. Then, a value of $\alpha$ is
JEE Main Mathematics Easy
View Solution
Q JEE Main 2024
The area (in sq. units) of the region $S=\{z \in \mathbb{C} ;|z-1| \leq 2 ;(z+\bar{z})+i(z-\bar{z}) \leq 2, \operatorname{lm}(z) \geq 0\}$...
JEE Main Mathematics Easy
View Solution
Q JEE Main 2024
The area (in sq. units) of the region described by $\left\{(x, y): y^2 \leq 2 x\right.$, and $...
JEE Main Mathematics Easy
View Solution
Q JEE Main 2024
Let $f(x)=\int_0^x\left(t+\sin \left(1-e^t\right)\right) d t, x \in \mathbb{R}$. Then $\lim _{x \rightarrow 0} \frac{f(x)}{x^3}$ is equal to
JEE Main Mathematics Easy
View Solution
Q JEE Main 2024
The value of $\frac{1 \times 2^2+2 \times 3^2+\cdots+100 \times(101)^2}{1^2 \times 2+2^2 \times 3+\cdots+100^2 \times 101}$ is
JEE Main Mathematics Easy
View Solution
Q JEE MAIN 2024
Let ABC be an isosceles triangle in which A is at $(-1,0), \angle A=\frac{2 \pi}{3}, A B=A C$ and $B$...
JEE Main Mathematics Easy
View Solution
Q JEE MAIN 2024
If $\frac{d x}{d y}=\frac{1+x-y^2}{y}, x(1)=1$, then $5 x(2)$ is equal to :
JEE Main Mathematics Easy
View Solution
Q JEE Main 2024
Let $A=\left[\begin{array}{ll}1 & 2 \\ 0 & 1\end{array}\right]$ and $B=I+\operatorname{adj}(A)+(\operatorname{adj} A)^2+\cdots+(\operatorname{adj} A)^{10}$. Then, the sum of all the elements of...
JEE Main Mathematics Easy
View Solution
Q JEE Main 2024
Let three real numbers 𝑎, 𝑏, 𝑐 be in arithmetic progression and a +1, b, c +3 be in geometric...
JEE Main Mathematics Easy
View Solution
Q JEE MAIN 2024
The sum of squares of all possible values of $k$, for which area of the region bounded by the parabolas...
JEE Main Mathematics Easy
View Solution
Q JEE Main 2024
Let a relation R on N x N be defined as : $\left(x_1, y_1\right) R\left(x_2, y_2\right)$ if and only if...
JEE Main Mathematics Easy
View Solution
Q JEE MAIN 2024
Three points $\mathrm{O}(0,0), \mathrm{P}\left(\mathrm{a}, \mathrm{a}^2\right), \mathrm{Q}\left(-\mathrm{b}, \mathrm{b}^2\right), \mathrm{a}>0, \mathrm{~b}>0$, are on the parabola $y=x^2$. Let $S_1$ be the area of...
JEE Main Mathematics Easy
View Solution
Q JEE MAIN 2024
The lines $\mathrm{L}_1, \mathrm{~L}_2, \ldots, \mathrm{I}_{20}$ are distinct. For $\mathrm{n}=1,2,3, \ldots, 10$ all the lines $\mathrm{L}_{2 \mathrm{n}-1}$ are parallel to...
JEE Main Mathematics Easy
View Solution
Q JEE MAIN 2024
Let $\vec{a}=\hat{\imath}+\hat{\jmath}+\hat{k}, \vec{b}=-\hat{\imath}-8 \hat{\jmath}+2 \hat{k}$ and $\overrightarrow{\mathrm{c}}=4 \hat{\imath}+\mathrm{c}_2 \hat{\jmath}+\mathrm{c}_3 \hat{\mathrm{k}}$ be three vectors such that $\vec{b} \times \vec{a}=\vec{c} \times \vec{a}$....
JEE Main Mathematics Easy
View Solution
Q JEE Main 2024
Let C be a circle with radius $\sqrt{10}$ units and centre at the origin. Let the line $x+y=2$ intersects the...
JEE Main Mathematics Easy
View Solution
Q JEE Main 2024
If $\lambda>0$, let $\theta$ be the angle between the vectors $\vec{a}=\hat{\imath}+\lambda \hat{\jmath}-3 \hat{k}$ and $\vec{b}=3 \hat{\imath}-\hat{\jmath}+2 \hat{k}$. If the vectors...
JEE Main Mathematics Easy
View Solution
Q JEE Main 2024
If the function $f(x)=\left\{\begin{array}{ll}\frac{72^x-9^x-8^x+1}{\sqrt{2}-\sqrt{1+\cos x}} & , x \neq 0 \\ \log _e 2 \log _e 3 & , x=0\end{array}\right.$...
JEE Main Mathematics Easy
View Solution
Q JEE MAIN 2024
If $y=\frac{(\sqrt{x}+1)\left(x^2-\sqrt{x}\right)}{x \sqrt{x}+x+\sqrt{x}}+\frac{1}{15}\left(3 \cos ^2 x-5\right) \cos ^3 x$, then $96 y^{\prime}\left(\frac{\pi}{6}\right)$ is equal to :
JEE Main Mathematics Easy
View Solution
Q JEE Main 2024
Vanillin compound obtained from vanilla beans, has total sum of oxygen atoms and  electrons is__
JEE Main Chemistry Easy
View Solution
Q JEE MAIN 2024
Let $f:(0, \infty) \rightarrow R$ and $F(x)=\int_0^x t f(t) d t$. If $F\left(x^2\right)=\mathrm{x}^4+\mathrm{x}^5$, then $\sum_{\mathrm{r}=1}^{12} \mathrm{f}\left(\mathrm{r}^2\right)$ is equal to :
JEE Main Physics Easy
View Solution
Q JEE Main 2024
2.7 Kg of each of water and acetic acid are mixed, The freezing point of the solution will be $...
JEE Main Chemistry Easy
View Solution
Q JEE MAIN 2024
Let $A=I_2-2 M^{\mathrm{T}}$, where M is real matrix of order $2 \times 1$ such that the relation $\mathrm{M}^{\mathrm{T}} \mathrm{M}=\mathrm{I}_1$ holds....
JEE Main Physics Easy
View Solution
Q JEE Main 2024
A first row transition metal with highest enthalpy of atomisation, upon reaction with oxygen at high temperature forms oxides of...
JEE Main Chemistry Easy
View Solution
Q JEE Main 2024
The total number of 'sigma' and 'Pi' bonds in 2-oxohex-4-ynoic acid is____.
JEE Main Chemistry Easy
View Solution
Q JEE Main 2024
Phthalimide is made to undergo following sequence of reactions. Total number of  bonds present in product 'P' is/are
JEE Main Chemistry Easy
View Solution
Q JEE Main 2024
Consider the following reaction, the rate expression of which is given below $...
JEE Main Chemistry Easy
View Solution
Q JEE Main 2024
From 6.55 g of aniline, the maximum amount of acetanilide that can be prepared will be $\_\_\_\_$ $\times 10^{-1} \mathrm{~g}$.
JEE Main Chemistry Easy
View Solution
Q JEE Main 2024
Three moles of an ideal gas are compressed isothermally from 60 L to 20 L using constant pressure of 5...
JEE Main Physics Easy
View Solution
Q JEE Main 2024
Number of compounds/species from the following with non-zero dipole moment is $\_\_\_\_$ $...
JEE Main Chemistry Easy
View Solution
Q JEE Main 2024
The maximum number of orbitals which can identified with $\mathrm{n}=4$ and $\mathrm{m}_l=0$ is $\_\_\_\_$
JEE Main Chemistry Easy
View Solution
Q JEE Main 2024
The number of species from the following that have pyramidal geometry around the central atom is $\_\_\_\_$ $...
JEE Main Chemistry Easy
View Solution
Q JEE Main 2024
The number of unpaired d-electrons in $\left[\mathrm{Co}\left(\mathrm{H}_2 \mathrm{O}\right)_6\right]^{3+}$ is $\_\_\_\_$
JEE Main Chemistry Easy
View Solution
Q JEE Main 2024
A first row transition metal in its +2 oxidation state has a spin-only magnetic moment value of 3.86 BM. The...
JEE Main Chemistry Easy
View Solution
Q JEE Main 2024
For a strong electrolyte, a plot of molar conductivity against (concentration) ${ }^{1 / 2}$ is a straight line, with...
JEE Main Chemistry Easy
View Solution
Q JEE Main 2024
Given below are two statements: Statement I : The correct order of first ionization enthalpy values of Li, Na, F...
JEE Main Chemistry Easy
View Solution
Q JEE Main 2024
Match List I with List II Choose the correct answer from the options given below:
JEE Main Chemistry Easy
View Solution
Q JEE Main 2024
Choose the Incorrect Statement about Dalton's Atomic Theory
JEE Main Chemistry Easy
View Solution
Q Jee Main 2024
Let the slope of the line $45 x+5 y+3=0$ be $27 r_1+\frac{9 r_2}{2}$ for some $r_1, r_2 \in R$. Then...
JEE Main Mathematics Easy
View Solution
Q Jee Main 2024
Let the set $C=\left\{(x, y) \mid x^2-2^y=2023, x, y \in \mathbb{N}\right\}$. Then $\sum_{(x, y) \in C}(x+y)$ is equal to
JEE Main Mathematics Medium
View Solution
Q Jee Main 2024
Remainder when $64^{32^{32}}$ is divided by 9 is equal to
JEE Main Mathematics Medium
View Solution
Q Jee Main 2024
Let $f(x)=\sqrt{\lim _{r \rightarrow x}\left\{\frac{2 r^2\left[(f(r))^2-f(x) f(r)\right]}{r^2-x^2}-r^3 e^{\frac{f(r)}{r}}\right\}}$ be differentiable in $(-\infty, 0) \cup(0, \infty)$ and $f(1)=1$. Then the value...
JEE Main Mathematics Hard
View Solution
Q JEE MAIN 2024
The number of symmetric relations defined on the set $\{1,2,3,4\}$ which are not reflexive is
JEE Main Mathematics Easy
View Solution
Q Jee Main 2024
Let $O$ be the origin, and $M$ and $N$ be the points on the lines $\frac{x-5}{4}=\frac{y-4}{1}=\frac{z-5}{3}$ and $\frac{x+8}{12}=\frac{y+2}{5}=\frac{z+11}{9}$ respectively such...
JEE Main Mathematics Medium
View Solution
Q JEE Main 2024
Fuel cell, using hydrogen and oxygen as fuels, A. has been used in spaceship B. has as efficiency of 40%...
JEE Main Chemistry Easy
View Solution
Q JEE Main 2024
If an iron (III) complex with the formula $\left[\mathrm{Fe}\left(\mathrm{NH}_3\right)_{\mathrm{x}}(\mathrm{CN})_{\mathrm{y}}\right]^{-}$has no electron in its $\mathrm{e}_{\mathrm{g}}$ orbital, then the value of $\mathrm{x}+\mathrm{y}$...
JEE Main Chemistry Easy
View Solution
Q Jee Main 2024
Let the area of the region $\left\{(x, y): 0 \leq x \leq 3,0 \leq y \leq \min \left\{\mathrm{x}^2+2,2 \mathrm{x}+2\right\}\right\}$ be...
JEE Main Mathematics Medium
View Solution
Q JEE Main 2024
The correct order of the first ionization enthalpy is
JEE Main Chemistry Easy
View Solution
Q JEE MAIN 2024
The variance $\sigma^2$ of the data
JEE Main Mathematics Easy
View Solution
Q JEE Main 2024
Correct order of stability of carbanion is
JEE Main Chemistry Easy
View Solution
Q Jee Main 2024
If $\int_{\frac{\pi}{6}}^{\frac{\pi}{3}} \sqrt{1-\sin 2 x} d x=\alpha+\beta \sqrt{2}+\gamma \sqrt{3}$, where $\alpha, \beta$ and $\gamma$ are rational numbers, then $...
JEE Main Mathematics Medium
View Solution
Q JEE MAIN 2024
The area of the region enclosed by the parabola $(y-2)^2=x-1$, the line $x-2 y+4=0$ and the positive coordinate axes is
JEE Main Mathematics Easy
View Solution
Q JEE Main 2024
JEE Main Chemistry Easy
View Solution
Q JEE MAIN 2024
The number of real solutions of the equation $x\left(x^2+3|x|+5|x-1|+6|x-2|\right)=0$ is
JEE Main Mathematics Easy
View Solution
Q Jee Main 2024
Let $\mathrm{P}(\alpha, \beta)$ be a point on the parabola $\mathrm{y}^2=4 \mathrm{x}$. If P also lies on the chord of the...
JEE Main Mathematics Medium
View Solution
Q Jee Main 2024
Let for any three distinct consecutive terms $a, b, c$ of an A.P, the lines $a x+b y+c=0$ be concurrent...
JEE Main Mathematics Medium
View Solution
Q JEE MAIN 2024
In an examination of Mathematics paper, there are 20 questions of equal marks and the question paper is divided into...
JEE Main Mathematics Easy
View Solution
Q JEE Main 2024
The adsorbent used in adsorption chromatography is/are A. silica gel B. alumina C. quick lime D. magnesia Choose the most...
JEE Main Chemistry Easy
View Solution
Q Jee Main 2024
Let $\alpha, \beta$ be the roots of the equation $x^2-\sqrt{6} x+3=0$ such that $\operatorname{Im}(\alpha)>\operatorname{Im}(\beta)$. Let $a, b$ be integers not...
JEE Main Mathematics Medium
View Solution
Q JEE Main 2024
Consider the above reactions, identify product B and product C.
JEE Main Chemistry Easy
View Solution
Q Jee Main 2024
Let a unit vector $\hat{\mathrm{u}}=\mathrm{x} \hat{\mathrm{i}}+\mathrm{y} \hat{\mathrm{j}}+\mathrm{z} \hat{\mathrm{k}}$ make angles $\frac{\pi}{2}, \frac{\pi}{3}$ and $\frac{2 \pi}{3}$ with the vectors $...
JEE Main Mathematics Medium
View Solution
Q JEE Main 2024
Common name of Benzene-1, 2-diol is
JEE Main Chemistry Easy
View Solution
Q Jee Main 2024
An integer is chosen at random from the integers $1,2,3, \ldots, 50$. The probability that the chosen integer is a...
JEE Main Mathematics Medium
View Solution
Q Jee Main 2024
If $R$ is the smallest equivalence relation on the set $\{1,2,3,4\}$ such that $\{(1,2),(1,3)\} \subset R$, then the number of...
JEE Main Mathematics Medium
View Solution
Q Jee Main 2024
Let $\mathrm{y}=\log _{\mathrm{e}}\left(\frac{1-\mathrm{x}^2}{1+\mathrm{x}^2}\right),-1
JEE Main Mathematics Medium
View Solution
Q JEE MAIN 2024
Let $S_n$ be the sum to $n$-terms of an arithmetic progression $3,7,11, \ldots \ldots$. If $40
JEE Main Mathematics Medium
View Solution
Q Jee Main 2024
The function $f(x)=\frac{x}{x^2-6 x-16}, x \in \mathbb{R}-\{-2,8\}$
JEE Main Mathematics Easy
View Solution
Q JEE MAIN 2024
Let $\alpha=\sum_{\mathrm{k}=0}^{\mathrm{n}}\left(\frac{\left({ }^{\mathrm{n}} \mathrm{C}_{\mathrm{k}}\right)^2}{\mathrm{k}+1}\right)$ and $\beta=\sum_{\mathrm{k}=0}^{\mathrm{n}-1}\left(\frac{{ }^{\mathrm{n}} \mathrm{C}_{\mathrm{k}}{ }^{\mathrm{n}} \mathrm{C}_{\mathrm{k}+1}}{\mathrm{k}+2}\right)$. If $5 \alpha=6 \beta$, then $n$ equals
JEE Main Mathematics Medium
View Solution
Q Jee Main 2024
Let $x=\frac{m}{n}\left(\mathrm{~m}, n\right.$ are co-prime natural numbers) be a solution of the equation $\cos \left(2 \sin ^{-1} x\right)=\frac{1}{9}$ and let...
JEE Main Mathematics Easy
View Solution
Q JEE MAIN 2024
If three successive terms of a G.P. with common ratio $r(r>1)$ are the lengths of the sides of a triangle...
JEE Main Mathematics Easy
View Solution
Q JEE MAIN 2024
Consider two circles $\mathrm{C}_1: \mathrm{x}^2+\mathrm{y}^2=25$ and $\mathrm{C}_2:(\mathrm{x}-\alpha)^2+y^2=16$, where $\alpha \in(5,9)$. Let the angle between the two radii (one to each...
JEE Main Mathematics Medium
View Solution
Q Jee Main 2024
Let A be the point of intersection of the lines $3 \mathrm{x}+2 y=14,5 x-y=6$ and $B$ be the point of...
JEE Main Mathematics Easy
View Solution
Q Jee Main 2024
If each term of a geometric progression $a_1, a_2, a_3, \ldots$ with $a_1=\frac{1}{8}$ and $a_2 \neq a_1$, is the arithmetic...
JEE Main Mathematics Medium
View Solution
Q JEE MAIN 2024
Let a line passing through the point $(-1,2,3)$ intersect the lines $\mathrm{L}_1: \frac{\mathrm{x}-1}{3}=\frac{\mathrm{y}-2}{2}=\frac{\mathrm{z}+1}{-2}$ at $M(\alpha, \beta, \gamma)$ and $L_2: \frac{x+2}{-3}=\frac{y-2}{-2}=\frac{z-1}{4}$...
JEE Main Mathematics Medium
View Solution
Q JEE MAIN 2024
Let the locus of the mid points of the chords of circle $x^2+(y-1)^2=1$ drawn from the origin intersect the line...
JEE Main Mathematics Easy
View Solution
Q JEE-Main 2024
Let the complex numbers $\alpha$ and $\frac{1}{\bar{\alpha}}$ lie on the circles $\left|z-z_0\right|^2=4$ and $\left|z-z_0\right|^2=16$ respectively, where $\mathrm{z}_0=1+\mathrm{i}$. Then, the value...
JEE Main Mathematics Medium
View Solution
Q JEE Main 2024
In the above chemical reaction sequence “A’’ and “B” respectively are :
JEE Main Chemistry Easy
View Solution
Q JEE-Main 2024
The lines $\frac{x-2}{2}=\frac{y}{-2}=\frac{z-7}{16}$ and $\frac{x+3}{4}=\frac{y+2}{3}=\frac{z+2}{1}$ intersect at the point $P$. If the distance of P from the line $\frac{x+1}{2}= \frac{\mathrm{y}-1}{3}=\frac{\mathrm{z}-1}{1}$...
JEE Main Mathematics Easy
View Solution
Q JEE-Main 2024
Consider a circle $(x-\alpha)^2+(y-\beta)^2=50$, where $\alpha, \beta>0$. If the circle touches the line $y+x=0$ at the point P , whose...
JEE Main Mathematics Easy
View Solution
Q JEE MAIN 2024
Let $Y=Y(X)$ be a curve lying in the first quadrant such that the area enclosed by the line $\mathrm{Y}-\mathrm{y}=\mathrm{Y}^{\prime}(\mathrm{x})(\mathrm{X}- \mathrm{x})$...
JEE Main Mathematics Hard
View Solution
Q JEE Main 2024
The correct statement/s about Hydrogen bonding is/are : A. Hydrogen bonding exists when H is covalently bonded to the highly...
JEE Main Chemistry Easy
View Solution
Q JEE-Main 2024
If the solution curve, of the differential equation $\frac{d y}{d x}=\frac{x+y-2}{x-y}$ passing through the point $(2,1)$ is $...
JEE Main Mathematics Medium
View Solution
Q JEE-Main 2024
Let $f(x)=\int_0^x g(t) \log _e\left(\frac{1-t}{1+t}\right) d t$, where $g$ is a continuous odd function. If $...
JEE Main Mathematics Hard
View Solution
Q JEE MAIN 2024
Let $\mathrm{R}=\left(\begin{array}{lll}\mathrm{x} & 0 & 0 \\ 0 & \mathrm{y} & 0 \\ 0 & 0 & \mathrm{z}\end{array}\right)$ be a...
JEE Main Mathematics Hard
View Solution
Q JEE MAIN 2024
Let Ajay will not appear in JEE exam with probability $\mathrm{p}=\frac{2}{7}$, while both Ajay and Vijay will appear in the...
JEE Main Mathematics Easy
View Solution
Q JEE Main 2024
When $\mathrm{MnO}_2$ and $\mathrm{H}_2 \mathrm{SO}_4$ is added to a salt $(\mathrm{A})$, the greenish yellow gas liberated as salt $(A)$ is...
JEE Main Chemistry Easy
View Solution
Q Jee Main 2024
If $\sin \left(\frac{y}{x}\right)=\log _e|x|+\frac{\alpha}{2}$ is the solution of the differential equation $x \cos \left(\frac{y}{x}\right) \frac{d y}{d x}=y \cos \left(\frac{y}{x}\right)+x$ and...
JEE Main Mathematics Medium
View Solution
Q JEE-Main 2024
The coefficient of $x^{2012}$ in the expansion of $(1-x)^{2008}\left(1+x+x^2\right)^{2007}$ is equal to
JEE Main Mathematics Medium
View Solution
Q JEE-Main 2024
If the sum of squares of all real values of $\alpha$, for which the lines $2 \mathrm{x}-\mathrm{y}+3=0,6 \mathrm{x}+3 \mathrm{y}+1=0$ and...
JEE Main Mathematics Medium
View Solution
Q JEE MAIN 2024
Let $f: R \rightarrow R$ be a function defined $f(x)=\frac{x}{\left(1+x^4\right)^{1 / 4}}$ and $g(x)=f(f(f(f(x))))$ then $$ 18 \int_0^{\sqrt{2 \sqrt{5}}} x^2...
JEE Main Mathematics Easy
View Solution
Q JEE Main 2024
Find out the major product formed from the following reaction. [ $\mathrm{Me}:-\mathrm{CH}_3$ ]
JEE Main Chemistry Easy
View Solution
Q JEE MAIN 2024
consider 10 observation $\mathrm{x}_1, \mathrm{x}_{2, \ldots}, \mathrm{x}_{10}$. such that $\sum_{i=1}^{10}\left(x_i-\alpha\right)=2$ and $\sum_{i=1}^{10}\left(x_i-\beta\right)^2=40$, where $\alpha, \beta$ are positive integers. Let the...
JEE Main Mathematics Easy
View Solution
Q JEE MAIN 2024
If the domain of the function $f(x)=\log _e\left(\frac{2 x+3}{4 x^2+x-3}\right)+\cos ^{-1}\left(\frac{2 x-1}{x+2}\right)$ is $(\alpha, \beta]$, then the value of $...
JEE Main Mathematics Easy
View Solution
Q Jee Main 2024
The distance of the point $(2,3)$ from the line $2 x-3 y+28=0$, measured parallel to the line $\sqrt{3} x-y+ 1=0$,...
JEE Main Mathematics Medium
View Solution
Q JEE Main 2024
The equilibrium constant for the reaction $ \mathrm{SO}_3(\mathrm{~g}) \rightleftharpoons \mathrm{SO}_2(\mathrm{~g})+\frac{1}{2} \mathrm{O}_2(\mathrm{~g}) $ is $K_C=4.9 \times 10^{-2}$. The value of $K_C$...
JEE Main Chemistry Easy
View Solution
Q JEE MAIN 2024
Suppose $2-p, p, 2-\alpha, \alpha$ are the coefficient of four consecutive terms in the expansion of $(1+x)^n$. Then the value...
JEE Main Mathematics Easy
View Solution
Q JEE Main 2024
Mercury is filled in a tube of radius 2 cm up to a height of 30 cm . The force...
JEE Main Physics Easy
View Solution
Q JEE Main 2024
Two parallel long current carrying wire separated by a distance 2 r are shown in the figure. The ratio of...
JEE Main Physics Easy
View Solution
Q Jee Main 2024
If $$ \int \frac{\sin ^{\frac{3}{2}} x+\cos ^{\frac{3}{2}} x}{\sqrt{\sin ^3 x \cos ^3 x \sin (x-\theta)}} d x=A \sqrt{\cos \theta \tan...
JEE Main Mathematics Hard
View Solution
Q JEE Main 2024
Two wires A and B are made up of the same material and have the same mass. Wire A has...
JEE Main Physics Easy
View Solution
Q JEE MAIN 2024
If $z$ is a complex number, then the number of common roots of the equation $z^{1985}+z^{100}+1=0$ and $...
JEE Main Mathematics Medium
View Solution
Q JEE MAIN 2024
Let the system of equations $x+2 y+3 z=5,2 x+3 y+z=9,4 x+3 y+\lambda z=\mu$ have infinite number of solutions. Then $...
JEE Main Mathematics Easy
View Solution
Q Jee Main 2024
Let $\mathrm{A}=\{1,2,3, \ldots \ldots \ldots 100\}$. Let R be a relation on $A$ defined by $(x, y) \in R$ if...
JEE Main Mathematics Easy
View Solution
Q JEE Main 2024
A rod of length 60 cm rotates with a uniform angular velocity $20 \mathrm{rad} \mathrm{s}^{-1}$ about its perpendicular bisector, in...
JEE Main Physics Easy
View Solution
Q JEE MAIN 2024
Let $\mathrm{f}: \mathbb{R}-\{0\} \rightarrow \mathbb{R}$ be a function satisfying $f\left(\frac{x}{y}\right)=\frac{f(x)}{f(y)}$ for all $x, y, f(y) \neq 0$. If $f^{\prime}(1)=2024$, then
JEE Main Mathematics Medium
View Solution
Q Jee Main 2024
Let $y=y(x)$ be the solution of the differential equation $$ \begin{gathered} \sec ^2 x d x+\left(e^{2 y} \tan ^2 x+\tan...
JEE Main Mathematics Hard
View Solution
Q JEE Main 2024
A light ray is incident on a glass slab of thickness $4 \sqrt{3} \mathrm{~cm}$ and refractive index $\sqrt{2}$. The angle...
JEE Main Physics Easy
View Solution
Q Jee Main 2024
If $\log _e a, \log _e b, \log _e c$ are in an A.P. and $...
JEE Main Mathematics Medium
View Solution
Q Jee Main 2024
A line passes through $\mathrm{A}(4,-6,-2)$ and $\mathrm{B}(16,-2,4)$. The point $\mathrm{P}(\mathrm{a}, \mathrm{b}, \mathrm{c})$ where $\mathrm{a}, \mathrm{b}, \mathrm{c}$ are non-negative integers, on...
JEE Main Mathematics Easy
View Solution
Q Jee Main 2024
If $^2$-blog $(1+x)+\quad \lim _{x \rightarrow 0}$ $\_\_\_\_$。 = 1 axes $\cos x$, then $16\left(a^2+b^2+c^2\right)$ is equal to $$ x^2...
JEE Main Mathematics Medium
View Solution
Q JEE MAIN 2024
Let $...
JEE Main Mathematics Easy
View Solution
Q JEE MAIN 2024
Let $a$ and $b$ be real constants such that the function $f$ defined by $...
JEE Main Mathematics Easy
View Solution
Q Jee Main 2024
Let $a=3 \hat{\imath}+2 \hat{\jmath}+k^{\wedge}, b^{+}=2 \hat{\imath}-\hat{\jmath}+3 k^{\wedge}$ and $c$ be a vector such that $...
JEE Main Mathematics Medium
View Solution
Q JEE MAIN 2024
If the mirror image of the point $\mathrm{P}(3,4,9)$ in the line $\frac{x-1}{3}=\frac{y+1}{2}=\frac{z-2}{1}$ is $(\alpha, \beta, \gamma)$, then $14(\alpha+\beta+\gamma)$ is :
JEE Main Mathematics Easy
View Solution
Q JEE MAIN 2024
Let $L_1: \vec{r}=(\hat{\imath}-\hat{\jmath}+2 \hat{k})+\lambda(\hat{\imath}-\hat{\jmath}+2 \hat{k}), \lambda \in R \mathrm{~L}_2: \overrightarrow{\mathrm{r}}=(\hat{\jmath}-\hat{\mathrm{k}})+\mu(3 \hat{\imath}+\hat{\jmath}+\mathrm{p} \hat{\mathrm{k}}), \mu \in \mathrm{R}$ and $...
JEE Main Mathematics Easy
View Solution
Q Jee Main 2024
Let $A$ be a $3 \times 3$ matrix and $\operatorname{det}(A)=2$. If $\mathrm{n}=\operatorname{det}(\underbrace{\operatorname{adj}(\operatorname{adj}(\ldots \ldots}(\operatorname{adj} A))))$ Then the remainder when n is...
JEE Main Mathematics Easy
View Solution
Q JEE MAIN 2024
Consider the relations $R_1$ and $R_2$ defined as $a R_1 b \Leftrightarrow a^2+b^2=1$ for all $a, b, \in R$ and...
JEE Main Mathematics Easy
View Solution
Q JEE Main 2024
The disintegration energy Q for the nuclear fission of ${ }^{235} \mathrm{U} \rightarrow{ }^{140} \mathrm{Ce}+{ }^{94} \mathrm{Zr}+\mathrm{n}$ is $\_\_\_\_$ MeV...
JEE Main Physics Easy
View Solution
Q JEE Main 2024
In a system two particles of masses $m_1=3 \mathrm{~kg}$ and $\mathrm{m}_2=2 \mathrm{~kg}$ are placed at certain distance from each other....
JEE Main Physics Easy
View Solution
Q JEE Main 2024
A parallel plate capacitor of capacitance 12.5 pF is charged by a battery connected between its plates to potential difference...
JEE Main Physics Easy
View Solution
Q JEE Main 2024
A bus moving along a straight highway with speed of 72 km/h is brought to halt within 4s after applying...
JEE Main Physics Easy
View Solution
Q Jee Main 2024
Let the coefficient of $x^r$ in the expansion of $$ \begin{aligned} & (x+3)^{n-1}+(x+3)^{n-2}(x+2)+ \\ & (x+3)^{n-3}(x+2)^2+\cdots \cdots+(x+2)^{n-1} \end{aligned} $$ be...
JEE Main Mathematics Medium
View Solution
Q JEE Main 2024
The displacement of a particle executing SHM is given by $x=10 \sin \left(\omega t+\frac{\pi}{3}\right) \mathrm{m}$. The time period of motion...
JEE Main Physics Easy
View Solution
Q JEE-Main 2024
Let A be a $2 \times 2$ real matrix and I be the identity matrix of order 2 . If...
JEE Main Mathematics Medium
View Solution
Q JEE-Main 2024
If the area of the region $\left\{(x, y): 0 \leq y \leq \min \left\{2 x, 6 x-x^2\right\}\right\}$ is $A$, then...
JEE Main Mathematics Easy
View Solution
Q JEE Main 2024
A 90 kg body placed at 2 R distance from surface of earth experiences gravitational pull of : $\left(\mathrm{R}=\right.$ Radius...
JEE Main Physics Easy
View Solution
Q JEE-Main 2024
The mean and standard deviation of 15 observations were found to be 12 and 3 respectively. On rechecking it was...
JEE Main Mathematics Medium
View Solution
Q JEE-Main 2024
Let the position vectors of the vertices $A, B$ and $C$ of a triangle be $...
JEE Main Mathematics Easy
View Solution
Q Jee Main 2024
Let $\mathrm{A}(-2,-1), \mathrm{B}(1,0), \mathrm{C}(\alpha, \beta)$ and $\mathrm{D}(\gamma, \delta)$ be the vertices of a parallelogram $A B C D$. If the...
JEE Main Mathematics Medium
View Solution
Q JEE MAIN 2024
If the domain of the function $f(x)=\frac{\sqrt{x^2-25}}{\left(4-x^2\right)}+\log _{10}\left(x^2+2 x-15\right)$ is $(-\infty, \alpha) U[\beta, \infty)$, then $\alpha^2+\beta^3$ is equal to :
JEE Main Mathematics Easy
View Solution
Q JEE Main 2024
Applying the principle of homogeneity of dimensions, determine which one is correct. where T is time period, G is gravitational...
JEE Main Physics Easy
View Solution
Q JEE-Main 2024
Let $\mathrm{e}_1$ be the eccentricity of the hyperbola $\frac{x^2}{16}-\frac{y^2}{9}=1$ and $e_2$ be the eccentricity of the ellipse $\frac{x^2}{a^2}+\frac{y^2}{b^2}=$ 1, $a>b$,...
JEE Main Mathematics Medium
View Solution
Q JEE-Main 2024
Let $\alpha=\frac{(4!)!}{(4!)^{3!}}$ and $\beta=\frac{(5!)!}{(5!)^{4!}}$. Then :
JEE Main Mathematics Medium
View Solution
Q Jee Main 2024
Let $a, b, c$ be the length of three sides of a triangle satisfying the condition $...
JEE Main Mathematics Medium
View Solution
Q Jee Main 2024
$\left|\frac{120}{\pi^3} \int_0^\pi \frac{x^2 \sin x \cos x}{\sin ^4 x+\cos ^4 x} d x\right|$ is equal to
JEE Main Mathematics Medium
View Solution
Q JEE MAIN 2024
If $\int_0^{\frac{\pi}{3}} \cos ^4 x d x=a \pi+b \sqrt{3}$, where $a$ and $b$ are rational numbers, then $9 a+8 b$...
JEE Main Mathematics Easy
View Solution
Q JEE-Main 2024
If $y=y(x)$ is the solution curve of the differential equation $\left(x^2-4\right) d y-\left(y^2-3 y\right) d x=0, x>2, y(4)=\frac{3}{2}$ and the...
JEE Main Mathematics Hard
View Solution
Q JEE-Main 2024
The position vectors of the vertices $A, B$ and $C$ of a triangle are $...
JEE Main Mathematics Easy
View Solution
Q Jee Main 2024
The shortest distance between lines $\mathrm{L}_1$ and $\mathrm{L}_2$, where $\mathrm{L}_1: \frac{\mathrm{x}-1}{2}=\frac{\mathrm{y}+1}{-3}=\frac{z+4}{2}$ and $\mathrm{L}_2$ is the line passing through the points...
JEE Main Mathematics Medium
View Solution
Q JEE-Main 2024
If $2 \tan ^2 \theta-5 \sec \theta=1$ has exactly 7 solutions in the interval $\left[0, \frac{n \pi}{2}\right]$, for the least...
JEE Main Mathematics Medium
View Solution
Q JEE-Main 2024
The integral $\int \frac{\left(x^8-x^2\right) d x}{\left(x^{12}+3 x^6+1\right) \tan ^{-1}\left(x^3+\frac{1}{x^3}\right)}$ is equal to :
JEE Main Mathematics Medium
View Solution
Q Jee Main 2024
Let A be a $3 \times 3$ real matrix such that $...
JEE Main Mathematics Hard
View Solution
Q JEE-Main 2024
An urn contains 6 white and 9 black balls. Two successive draws of 4 balls are made without replacement. The...
JEE Main Mathematics Medium
View Solution
Q JEE-Main 2024
The values of $\alpha$, for which $...
JEE Main Mathematics Easy
View Solution
Q Jee Main 2024
A coin is based so that a head is twice as likely to occur as a tail. If the coin...
JEE Main Mathematics Easy
View Solution
Q Jee Main 2024
If for some $\mathrm{m}, \mathrm{n} ;{ }^6 \mathrm{C}_{\mathrm{m}}+2\left({ }^6 \mathrm{C}_{\mathrm{m}+1}\right)+{ }^6 \mathrm{C}_{\mathrm{m}+2}>{ }^8 \mathrm{C}_3$ and $...
JEE Main Mathematics Easy
View Solution
Q Jee Main 2024
If $a=\sin ^{-1}(\sin (5))$ and $b=\cos ^{-1}(\cos (5))$, then $a^2+b^2$ is equal to
JEE Main Mathematics Easy
View Solution
Q Jee Main 2024
The number of solutions, of the equation $\mathrm{e}^{\sin x}-2 \mathrm{e}^{-\sin x}=2$ is
JEE Main Mathematics Medium
View Solution
Q JEE MAIN 2024
Let $S_n$ denote the sum of the first $n$ terms of an arithmetic progression. If $S_{10}=390$ and the ratio of...
JEE Main Mathematics Easy
View Solution
Q Jee Main 2024
Consider the function $\mathrm{f}:(0, \infty) \rightarrow \mathrm{R}$ defined by $...
JEE Main Mathematics Easy
View Solution
Q Jee Main 2024
Let $\overrightarrow{\mathrm{OA}}=\overrightarrow{\mathrm{a}}, \overrightarrow{\mathrm{OB}}=12 \overrightarrow{\mathrm{a}}+4 \overrightarrow{\mathrm{~b}}$ and $\overrightarrow{\mathrm{OC}}=\overrightarrow{\mathrm{b}}$, where O is the origin. If $S$ is the parallelogram with adjacent sides...
JEE Main Mathematics Medium
View Solution
Q Jee Main 2024
If the function $\mathrm{f}:(-\infty,-1] \rightarrow(\mathrm{a}, \mathrm{b}]$ defined by $f(x)=e^{x 3-3 x+1}$ is one-one and onto, then the distance of the...
JEE Main Mathematics Medium
View Solution
Q Jee Main 2024
Let the mean and the variance of 6 observation $a, b, 68,44,48,60$ be 55 and 194 , respectively if $a>b$,...
JEE Main Mathematics Medium
View Solution
Q Jee Main 2024
The sum of the solutions $x \in \mathbb{R}$ of the equation $...
JEE Main Mathematics Hard
View Solution
Q Jee Main 2024
\text { The area of the region enclosed by the parabola } y=4 x-x^2 \text { and } 3 y=(x-4)^2...
JEE Main Mathematics Easy
View Solution
Q JEE Main 2024
The current flowing through the $1 \Omega$ resistor is $\frac{n}{10}$ A. The value of $n$ is
JEE Main Physics Hard
View Solution
Q JEE MAIN 2024
Consider a $\triangle \mathrm{ABC}$ where $\mathrm{A}(1,2,3), \mathrm{B}(-2,8,0)$ and $\mathrm{C}(3,6,7)$. If the angle bisector of $\angle \mathrm{BAC}$ meets the line $...
JEE Main Mathematics Easy
View Solution
Q Jee Main 2024
Let $\mathrm{f}: \rightarrow \mathrm{R} \rightarrow(0, \infty)$ be strictly increasing function such that $\lim _{\substack{x \rightarrow \infty \\ f(x)}} \frac{f(7 x)}{2}=1$....
JEE Main Mathematics Easy
View Solution
Q Jee Main 2024
Let $r$ and $\theta$ respectively be the modulus and amplitude of the complex number $z=2-i\left(2 \tan \frac{5 \pi}{8}\right)$, then $...
JEE Main Mathematics Medium
View Solution
Q JEE MAIN 2024
Let $P$ and $Q$ be the points on the line $\frac{x+3}{8}=\frac{y-4}{2}=\frac{z+1}{2}$ which are at a distance of 6 units from...
JEE Main Mathematics Easy
View Solution
Q JEE Main 2024
The position, velocity and acceleration of a particle executing simple harmonic motion are found to have magnitudes of $...
JEE Main Physics Medium
View Solution
Q JEE Main 2024
A charge q is placed at the center of one of the surface of a cube. The flux linked with...
JEE Main Physics Easy
View Solution
Q Jee Main 2024
Let $2^{\text {nd }}, 8^{\text {th }}$ and $44^{\text {th }}$, terms of a non-constant A.P. be respectively the $...
JEE Main Mathematics Easy
View Solution
Q JEE Main 2024
When a coil is connected across a 20 V dc supply, it draws a current of 5 A . When...
JEE Main Physics Hard
View Solution
Q JEE-Main 2024
Let $A$ and $B$ be two finite sets with $m$ and $n$ elements respectively. The total number of subsets of...
JEE Main Mathematics Easy
View Solution
Q JEE-Main 2024
If $\alpha, \beta$ are the roots of the equation, $x^2-x-1=0$ and $S_n=2023 \alpha^n+2024 \beta^n$, then
JEE Main Mathematics Easy
View Solution
Q JEE Main 2024
A sample of gas at temperature T is adiabatically expanded to double its volume. Adiabatic constant for the gas is...
JEE Main Physics Easy
View Solution
Q JEE Main 2024
Two persons pull a wire towards themselves. Each person exerts a force of 200 N on the wire. Young's modulus...
JEE Main Physics Medium
View Solution
Q JEE MAIN 2024
Let $m$ and $n$ be the coefficients of seventh and thirteenth terms respectively in the expansion of $\left(\frac{1}{3} X^{\frac{1}{3}}+\frac{1}{2 X^{\frac{2}{3}}}\right)^{18}$....
JEE Main Mathematics Easy
View Solution
Q
Let $\quad f: R \rightarrow R$ be defined $\quad f(x)=a e^{2 x}+b e^x+c x . \quad$ If $...
JEE Main Physics Easy
View Solution
Q Jee Main 2024
The temperature $\mathrm{T}(\mathrm{t})$ of a body at time $\mathrm{t}=0$ is $160^{\circ} \mathrm{F}$ and it decreases continuously as per the differential...
JEE Main Mathematics Medium
View Solution
Q Jee Main 2024
The function $f(x)=2 x+3(x)^{\frac{2}{3}}, x \in \mathbb{R}$, has
JEE Main Mathematics Hard
View Solution
Q JEE Main 2024
A square loop of edge length 2 m carrying current of 2 A is placed with its edges parallel to...
JEE Main Physics Hard
View Solution
Q JEE-Main 2024
If $\lim _{x \rightarrow 0} \frac{3+\alpha \sin x+\beta \cos x+\log _e(1-x)}{3 \tan ^2 x}=\frac{1}{3}$, then $2 \alpha-\beta$ is equal to...
JEE Main Mathematics Medium
View Solution
Q JEE Main 2024
According to Bohr's theory, the moment of momentum of an electron revolving in 4th orbit of hydrogen atom is :
JEE Main Physics Easy
View Solution
Q JEE-Main 2024
Let $g(x)=3 f\left(\frac{x}{3}\right)+f(3-x)$ and $f^{\prime \prime}(x)>0$ for all $\mathrm{x} \in(0,3)$. If g is decreasing in $(0, \alpha)$ and increasing in...
JEE Main Mathematics Easy
View Solution
Q Jee Main 2024
Let P be a parabola with vertex $(2,3)$ and directrix $2 x+y=6$. Let an ellipse $E: x_{a_2}{ }^2+y_{b^2}=1, a>b$ of...
JEE Main Mathematics Medium
View Solution
Q JEE MAIN 2024
Bag A contains 3 white, 7 red balls and bag $B$ contains 3 white, 2 red balls. One bag is...
JEE Main Mathematics Easy
View Solution
Q JEE Main 2024
A string is wrapped around the rim of a wheel of moment of inertia $0.40 \mathrm{kgm}^2$ and radius 10 cm...
JEE Main Physics Medium
View Solution
Q Jee Main 2024
Let $(\alpha, \beta, \gamma)$ be mirror image of the point $(2,3,5)$ in the line $-\underline{-2} \quad-\underline{-3} x_{-} y_{-} z$. Then...
JEE Main Mathematics Easy
View Solution
Q JEE Main 2024
In a Young's double slit experiment, the intensity at a point is $\left(\frac{1}{4}\right)^{\text {th }}$ of the maximum intensity, the...
JEE Main Physics Medium
View Solution
Q JEE MAIN 2024
Let P be a point on the hyperbola $\mathrm{H}: \frac{\mathrm{x}^2}{9}-\frac{\mathrm{y}^2}{4}=1$, in the first quadrant such that the area of triangle...
JEE Main Physics Easy
View Solution
Q JEE Main 2024
A star has $100 \%$ helium composition. It starts to convert three ${ }^4 \mathrm{He}$ into one ${ }^{12} \mathrm{C}$...
JEE Main Physics Medium
View Solution
Q Jee Main 2024
Let $\mathrm{f}, \mathrm{g}:(0, \infty) \rightarrow \mathrm{R}$ be two functions defined by $f(x)=\int_{-x}^x(|t|-t 2) e-t 2 d t$ and $...
JEE Main Mathematics Medium
View Solution
Q JEE Main 2024
Let $P$ be a point on the ellipse $\frac{x^2}{9}+\frac{y^2}{4}=1$. Let the line passing through $P$ and parallel to $y$-axis meet...
JEE Main Physics Easy
View Solution
Q JEE-Main 2024
For $0
JEE Main Mathematics Medium
View Solution
Q JEE-Main 2024
Let $\mathrm{f}: \mathrm{R}-\left\{\frac{-1}{2}\right\} \rightarrow \mathrm{R}$ and $\mathrm{g}: \mathrm{R}-\left\{\frac{-5}{2}\right\} \rightarrow \mathrm{R}$ be defined as $f(x)=\frac{2 x+3}{2 x+1}$ and $g(x)=\frac{|x|+1}{2 x+5}$. Then...
JEE Main Mathematics Easy
View Solution
Q Jee Main 2024
Let a variable line passing through the centre of the circle $x^2+y^2-16 x-4 y=0$, meet the positive coordinate axes at...
JEE Main Mathematics Easy
View Solution
Q JEE MAIN 2024
Let $P$ be a point on the ellipse $\frac{x^2}{9}+\frac{y^2}{4}=1$. Let the line passing through $P$ and parallel to $y$-axis meet...
JEE Main Mathematics Easy
View Solution
Q Jee Main 2024
If the mean and variance of five observations are $\frac{24}{5}$ and $\frac{194}{25}$ respectively and the mean of first four observations...
JEE Main Mathematics Medium
View Solution
Q JEE MAIN 2024
Let $y=f(x)$ be a thrice differentiable function in $(-5,5)$. Let the tangents to the curve $y=f(x)$ at (1, $\mathrm{f}(1)$ )...
JEE Main Mathematics Easy
View Solution
Q JEE MAIN 2024
Let $\vec{a}$ and $\vec{b}$ be two vectors such that $|\vec{b}|=1$ and $|\vec{b} \times \vec{a}|=2$. Then $|(\dot{b} \times \vec{a})-\vec{b}|^2$ is equal...
JEE Main Mathematics Easy
View Solution
Q JEE Main 2024
If $\vec{a}$ and $\vec{b}$ makes an angle $\cos ^{-1}\left(\frac{5}{9}\right)$ with each other, then $|\vec{a}+\vec{b}|=\sqrt{2}|\vec{a}-\vec{b}|$ for $|\vec{a}|=n|\vec{b}|$ The integer value of...
JEE Main Physics Hard
View Solution
Q Jee Main 2024
Let $P(3,2,3), Q(4,6,2)$ and $R(7,3,2)$ be the vertices of $\triangle \mathrm{PQR}$. Then, the angle $\angle \mathrm{QPR}$ is
JEE Main Mathematics Easy
View Solution
Q JEE Main 2024
A sample of 1 mole gas at temperature T is adiabatically expanded to double its volume. If adiabatic constant for...
JEE Main Physics Hard
View Solution
Q JEE MAIN 2024
If $x^2-y^2+2 h x y+2 g x+2 f y+c=0$ is the locus of a point, which moves such that it...
JEE Main Mathematics Easy
View Solution
Q Jee Main 2024
Let $z_1$ and $z_2$ be two complex number such that $z_1+z_2=5$ and $z_1^3+z_2^3=20+15 i$. Then $\left|z_1^4+z_2^4\right|$ equals-
JEE Main Mathematics Medium
View Solution
Q JEE Main 2024
Given below are two statements : one is labelled as Assertion A and the other is labelled as Reason R....
JEE Main Physics Easy
View Solution
Q Jee Main 2024
Let $A(a, b), B(3,4)$ and $(-6,-8)$ respectively denote the centroid, circumcentre and orthocentre of a triangle. Then, the distance of...
JEE Main Mathematics Easy
View Solution
Q JEE Main 2024
In simple harmonic motion, the total mechanical energy of given system is E. If mass of oscillating particle P is...
JEE Main Physics Easy
View Solution
Q JEE MAIN 2024
The value of $\int_0^1\left(2 x^3-3 x^2-x+1\right)^{\frac{1}{3}} d x$ is equal to:
JEE Main Mathematics Easy
View Solution
Q JEE Main 2024
Let $a$ and $b$ be be two distinct positive real numbers. Let $11^{\text {th }}$ term of a GP, whose...
JEE Main Mathematics Easy
View Solution
Q JEE MAIN 2024
Let $f(x)=(x+3)^2(x-2)^3, x \in[-4,4]$. If $M$ and $m$ are the maximum and minimum values of $f$, respectively in $[-4,4]$, then...
JEE Main Mathematics Easy
View Solution
Q Jee Main 2024
The number of ways in which 21 identical apples can be distributed among three children such that each child gets...
JEE Main Mathematics Easy
View Solution
Q JEE Main 2024
A 2 kg brick begins to slide over a surface which is inclined at an angle of 45° with respect...
JEE Main Physics Easy
View Solution
Q JEE-Main 2024
The $20^{\text {th }}$ term from the end of the progression $20,19 \frac{1}{4}, 18 \frac{1}{2}, 17 \frac{3}{4}, \ldots,-129 \frac{1}{4}$ is...
JEE Main Mathematics Easy
View Solution
Q JEE-Main 2024
Let R be the interior region between the lines $3 x-y+1=0$ and $x+2 y-5=0$ containing the origin. The set of...
JEE Main Mathematics Medium
View Solution
Q JEE-Main 2024
Let the image of the point $(1,0,7)$ in the line $\frac{x}{1}=\frac{y-1}{2}=\frac{z-2}{3}$ be the point $(\alpha, \beta, \gamma)$. Then which one...
JEE Main Mathematics Hard
View Solution
Q JEE-Main 2024
Consider the function $\mathrm{f}:(0,2) \rightarrow \mathrm{R}$ defined by $f(x)=\frac{x}{2}+\frac{2}{x}$ and the function $g(x)$ defined by $g(x)= \left\{\begin{array}{cc}\min \{f(t)\}, & 0
JEE Main Mathematics Easy
View Solution
Q JEE Main 2024
An electric bulb rated 50 W – 200 V is connected across a 100 V supply. The power dissipation of...
JEE Main Physics Easy
View Solution
Q JEE Main 2024
The equivalent resistance between A and B is:
JEE Main Physics Medium
View Solution
Q JEE Main 2024
A body of m kg slides from rest along the curve of vertical circle from point A to B in...
JEE Main Physics Easy
View Solution
Q JEE-Main 2024
Considering only the principal values of inverse trigonometric functions, the number of positive real values of $x$ satisfying $...
JEE Main Mathematics Easy
View Solution
Q Jee Main 2024
Number of ways of arranging 8 identical books into 4 identical shelves where any number of shelves may remain empty...
JEE Main Mathematics Hard
View Solution
Q JEE Main 2024
Given below are two statements : Statement I : The contact angle between a solid and a liquid is a...
JEE Main Physics Easy
View Solution
Q JEE Main 2024
Match List I with List II
JEE Main Physics Easy
View Solution
Q Jee Main 2024
Let $A=\left[\begin{array}{ccc}2 & 1 & 2 \\ 6 & 2 & 11 \\ 3 & 3 & 2\end{array}\right]$ and $...
JEE Main Mathematics Hard
View Solution
Q JEE Main 2024
Correct formula for height of a satellite from earths surface is :
JEE Main Physics Easy
View Solution
Q JEE Main 2024
Let $\vec{a}=\hat{\imath}+\alpha \hat{\jmath}+\beta \hat{k}, \alpha, \beta \in R$. Let a vector $\vec{b}$ be such that the angle between $\vec{a}$ and...
JEE Main Mathematics Easy
View Solution
Q JEE Main 2024
A bulb and a capacitor are connected in series across an ac supply. A dielectric is then placed between the...
JEE Main Physics Easy
View Solution
Q JEE Main 2024
One main scale division of a vernier caliper is equal to $m$ units. If $n^{\text {th }}$ division of main...
JEE Main Physics Medium
View Solution
Q JEE MAIN 2024
Let $A(\alpha, 0)$ and $B(0, \beta)$ be the points on the line $5 x+7 y=50$. Let the point $P$ divide...
JEE Main Mathematics Easy
View Solution
Q JEE MAIN 2024
The number of solutions of the equation $...
JEE Main Mathematics Easy
View Solution
Q JEE MAIN 2024
For $\alpha, \beta \in\left(0, \frac{\pi}{2}\right)$, let $3 \sin (\alpha+\beta)=2 \sin (\alpha-\beta)$ and a real number k be such that $...
JEE Main Mathematics Easy
View Solution
Q JEE Main 2024
A heavy iron bar, of weight $W$ is having its one end on the ground and the other on the...
JEE Main Physics Medium
View Solution
Q JEE Main 2024
A galvanmeter has a coil of resistance $200 \Omega$ with a full scale deflection at $20 \mu \mathrm{~A}$. The value...
JEE Main Physics Medium
View Solution
Q JEE Main 2024
A particle of mass $m$ moves on a straight line with its velocity increasing with distance according to the equation...
JEE Main Physics Hard
View Solution
Q JEE Main 2024
Given below are two statements: Statement (I): When currents vary with time, Newton's third law is valid only if momentum...
JEE Main Physics Medium
View Solution
Q JEE Main 2024
An astronaut takes a ball of mass $m$ from earth to space. He throws the ball into a circular orbit...
JEE Main Physics Hard
View Solution
Q JEE MAIN 2024
Let $\alpha$ and $\beta$ be the roots of the equation $\mathrm{px}^2+\mathrm{qx}-r=0$, where $p \neq 0$. If $p, q$ and $r$...
JEE Main Mathematics Easy
View Solution
Q JEE MAIN 2024
Consider the system of linear equations $$ x+y+z=5, x+2 y+\lambda^2 z=9 $$ $x+3 y+\lambda z=\mu$, where $\lambda, \mu \in R$....
JEE Main Mathematics Medium
View Solution
Q JEE Main 2024
The energy equivalent of 1 g of substance is
JEE Main Physics Easy
View Solution
Q JEE Main 2024
The width of one of the two slits in a Young's double slit experiment is 4 times that of the...
JEE Main Physics Easy
View Solution
Q JEE Main 2024
Identify the logic gate given in the circuit :
JEE Main Physics Easy
View Solution
Q JEE Main 2024
Arrange the following in the ascending order of wavelength : (A) Gamma rays ( $\lambda_1$ ) (B) x-ray $\left(\lambda_2\right)$ (C)...
JEE Main Physics Easy
View Solution
Q JEE MAIN 2024
Let $f(\mathrm{x})=\left|2 \mathrm{x}^2+5\right| \mathrm{x}|-3|, \mathrm{x} \in \mathrm{R}$. If m and n denote the number of points where $f$ is not...
JEE Main Mathematics Easy
View Solution
Q JEE Main 2024
The volume of an ideal gas $(\gamma=1.5)$ is changed adiabatically from 5 litres to 4 litres. The ratio of initial...
JEE Main Physics Medium
View Solution
Q JEE Main 2024
Which of the diode circuit shows correct biasing used for the measurement of dynamic resistance of p-n junction diode :
JEE Main Physics Easy
View Solution
Q JEE Main 2024
The dimensional formula of latent heat is:
JEE Main Physics Easy
View Solution
Q JEE Main 2024
The magnetic moment of a bar magnet is $0.5 \mathrm{Am}^2$. It is suspended in a uniform magnetic field of $...
JEE Main Physics Easy
View Solution
Q JEE Main 2024
A cyclist starts from the point P of a circular ground of radius 2 km and travels along its circumference...
JEE Main Physics Easy
View Solution
Q JEE Main 2024
The translational degrees of freedom (f) and rotational degrees of freedom $\left(\mathrm{f}_{\mathrm{r}}\right)$ of $\mathrm{CH}_4$ molecule are
JEE Main Physics Easy
View Solution
Q JEE Main 2024
A light unstretchable string passing over a smooth light pulley connects two blocks of masses $m_1$ and $m_2$. If the...
JEE Main Physics Easy
View Solution
Q JEE MAIN 2024
A big drop is formed by coalescing 1000 small droplets of water. The surface energy will become :
JEE Main Physics Medium
View Solution
Q JEE MAIN 2024
Conductivity of a photodiode starts changing only if the wavelength of incident light is less than . The band gap...
JEE Main Physics Easy
View Solution
Q JEE MAIN 2024
A disc of radius and mass is rolling horizontally without slipping with speed . It then moves up an inclined...
JEE Main Physics Medium
View Solution
Q JEE MAIN 2024
A diatomic gas does of work when it is expanded isobarically. The heat given to the gas in the process...
JEE Main Physics Easy
View Solution
Q JEE MAIN 2021
If the curves, $\frac{x^2}{a}+\frac{y^2}{b}=1$ and $\frac{x^2}{c}+\frac{y^2}{d}=1$ intersect each other at an angle of $90^{\circ}$, then which of the following relations...
JEE Main Mathematics Easy
View Solution
Q JEE MAIN 2024
10 mL of gaseous hydrocarbon on combustion gives 40 mL of $\mathrm{CO}_2(\mathrm{~g})$ and 50 mL of water vapour. Total number...
JEE Main Chemistry Easy
View Solution
Q JEE MAIN 2024
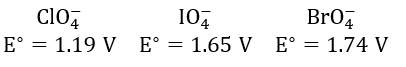
Consider the following redox reaction: $$ \mathrm{MnO}_4^{-}+\mathrm{H}^{+}+\mathrm{H}_2 \mathrm{C}_2 \mathrm{O}_4 \rightleftharpoons \mathrm{Mn}^{2+}+\mathrm{H}_2 \mathrm{O}+\mathrm{CO}_2 $$ The standard reduction potentials are given as...
JEE Main Chemistry Medium
View Solution
Q JEE MAIN 2024
If 5 moles of an ideal gas expands from 10 L to a volume of 100 L at 300 K...
JEE Main Chemistry Easy
View Solution
Q JEE MAIN 2024
For a certain reaction at $300 \mathrm{~K}, \mathrm{~K}=10$, then $\Delta \mathrm{G}^{\circ}$ for the same reaction is $\times 10^{-1} \mathrm{~kJ} \mathrm{~mol}^{-1}$....
JEE Main Chemistry Easy
View Solution
Q JEE MAIN 2024
From the vitamins $\mathrm{A}, \mathrm{B}_1, \mathrm{~B}_6, \mathrm{~B}_{12}, \mathrm{C}, \mathrm{D}, \mathrm{E}$ and K , the number vitamins that can be stored...
JEE Main Chemistry Easy
View Solution
Q JEE MAIN 2024
The amount of electricity in Coulomb required for the oxidation of 1 mol of $\mathrm{H}_2 \mathrm{O}$ to $\mathrm{O}_2$ is $...
JEE Main Chemistry Easy
View Solution
Q JEE MAIN 2024
The values of conductivity of some materials at $298.15 \mathrm{~K}^{-1}$ in $\mathrm{Sm}^{-1}$ are $...
JEE Main Chemistry Hard
View Solution
Q JEE MAIN 2024
Following Kjeldahl's method, 1 g of organic compound released ammonia, that neutralised 10 mL of $2 \mathrm{MH}_2 \mathrm{SO}_4$. The percentage...
JEE Main Chemistry Easy
View Solution
Q JEE MAIN 2024
The molarity of 1 L orthophosphoric acild $\left(\mathrm{H}_3 \mathrm{PO}_4\right)$ having $70 \%$ purity by weight (specific gravity $1.54 \mathrm{~g} \mathrm{~cm}^{-3}$...
JEE Main Chemistry Medium
View Solution
Q JEE MAIN 2024
Mass of ethylene glycol (antifreeze) to be added to 18.6 kg of water to protect the freezing point at $...
JEE Main Chemistry Easy
View Solution
Q JEE MAIN 2024
In the reaction of potassium dichromate, potassium chloride and sulfuric acid (conc.), the oxidation state of the chromium in the...
JEE Main Chemistry Easy
View Solution
Q JEE MAIN 2024
Number of compounds which give reaction with Hinsberg's reagent is
JEE Main Chemistry Easy
View Solution
Q JEE MAIN 2024
Number of moles of $\mathrm{H}^{+}$ions required by 1 mole of $\mathrm{MnO}_4^{-}$to oxidise oxalate ion to $\mathrm{CO}_2$ is $\_\_\_\_$
JEE Main Chemistry Easy
View Solution
Q JEE MAIN 2024
The number of tripeptides formed by three different amino acids using each amino acid once is
JEE Main Chemistry Easy
View Solution
Q JEE MAIN 2024
Number of isomeric products formed by monochlorination of 2-methylbutane in presence of sunlight is
JEE Main Chemistry Easy
View Solution
Q JEE MAIN 2024
A compound $(x)$ with molar mass $108 \mathrm{~g} \mathrm{~mol}^{-1}$ undergoes acetylation to give product with molar mass $192 \mathrm{~g} \mathrm{~mol}^{-1}$....
JEE Main Chemistry Medium
View Solution
Q JEE MAIN 2024
The following data were obtained during the first order thermal decomposition of a gas A at constant volume:
JEE Main Chemistry Medium
View Solution
Q JEE MAIN 2024
Total number of isomeric compounds (including stereoisomers) formed by monochlorination of 2 -methyl butane is
JEE Main Chemistry Medium
View Solution
Q JEE MAIN 2024
Given below are two statements: Statement (I): Dimethyl glyoxime forms a six membered covalent chelate when treated with $\mathrm{NiCl}_2$ solution...
JEE Main Chemistry Medium
View Solution
Q JEE MAIN 2024
$\mathrm{r}=\mathrm{k}[\mathrm{A}]$ for a reaction, $50 \%$ of A is decomposed in 120 minutes. The time taken for $90 \%$ decomposition...
JEE Main Chemistry Easy
View Solution
Q JEE MAIN 2024
Solubility of calcium phosphate (molecular mass, M ) in water is $\mathrm{W}_{\mathrm{g}}$ per 100 mL at $25^{\circ} \mathrm{C}$. Its solubility...
JEE Main Chemistry Easy
View Solution
Q JEE MAIN 2024
Acid D formed in above reaction is:
JEE Main Chemistry Easy
View Solution
Q JEE MAIN 2024
Given below are two $\leqslant$ statements: Statement (I): $\mathrm{SiO}_2$ and $\mathrm{GeO}_2$ are acidic while SnO and PbO are amphoteric in...
JEE Main Chemistry Medium
View Solution
Q JEE MAIN 2024
Consider the following elements. Which of the following is/are true about $\mathrm{A}^{\prime}, \mathrm{B}^{\prime}, \mathrm{C}^{\prime}$ and $\mathrm{D}^{\prime}$ ? A. Order of...
JEE Main Chemistry Hard
View Solution
Q JEE MAIN 2024
$\left[\mathrm{Co}\left(\mathrm{NH}_3\right)_6\right]^{3+}$ and $\left[\mathrm{CoF}_6\right]^{3-}$ are respectively known as:
JEE Main Chemistry Medium
View Solution
Q JEE MAIN 2024
The correct order of reactivity in electrophilic substitution reaction of the following compounds is :
JEE Main Chemistry Easy
View Solution
Q JEE MAIN 2024
The functional group that shows negative resonance effect is:
JEE Main Chemistry Easy
View Solution
Q JEE MAIN 2024
Choose the correct statements from the following A. $\mathrm{Mn}_2 \mathrm{O}_7$ is an oil at room temperature B. $\mathrm{V}_2 \mathrm{O}_4$ reacts...
JEE Main Chemistry Hard
View Solution
Q JEE MAIN 2024
Match List - I with List - II. Choose the correct answer from the options given below :
JEE Main Chemistry Medium
View Solution
Q JEE MAIN 2024
The four quantum numbers for the electron in the outer most orbital of potassium (atomic no. 19) are
JEE Main Chemistry Easy
View Solution
Q JEE MAIN 2024
The number of radial node/s for 3p orbital is:
JEE Main Chemistry Easy
View Solution
Q JEE MAIN 2024
In the given reactions identify A and B.
JEE Main Chemistry Easy
View Solution
Q JEE MAIN 2024
Given below are two statements : Statement I: Group 13 trivalent halides get easily hydrolyzed by water due to their...
JEE Main Chemistry Medium
View Solution
Q JEE MAIN 2024
Which among the following has highest boiling point?
JEE Main Chemistry Easy
View Solution
Q JEE MAIN 2024
Lassaigne's test is used for detection of :
JEE Main Chemistry Easy
View Solution
Q JEE MAIN 2024
Select the compound from the following that will show intramolecular hydrogen bonding.
JEE Main Chemistry Easy
View Solution
Q JEE MAIN 2024
The fragrance of flowers is due to the presence of some steam volatile organic compounds called essential oils. These are...
JEE Main Chemistry Easy
View Solution
Q JEE MAIN 2024
Which of the following is least ionic ?
JEE Main Chemistry Medium
View Solution
Q JEE MAIN 2024
Which of the following compounds show color due to d-d transition?
JEE Main Chemistry Easy
View Solution
Q JEE MAIN 2024
Identify the name reaction.
JEE Main Chemistry Easy
View Solution
Q JEE MAIN 2024
The strongest reducing agent amount the following is:
JEE Main Chemistry Easy
View Solution
Q JEE MAIN 2024
Choose the correct statements from the following A. All group 16 elements form oxides of general formula $\mathrm{EO}_2$ and $\mathrm{EO}_3$...
JEE Main Chemistry Medium
View Solution
Q JEE MAIN 2024
$\mathrm{A}_{(\mathrm{g})} \rightleftharpoons \mathrm{B}_{(\mathrm{g})}+\frac{\mathrm{C}}{2}(\mathrm{~g})$ The correct relationship between $K_P, \alpha$ and equilibrium pressure $P$ is
JEE Main Chemistry Medium
View Solution
Q JEE MAIN 2024
Given below are two statements : Statement I: Aniline reacts with con. $\mathrm{H}_2 \mathrm{SO}_4$ followed by heating at $453-473 \mathrm{~K}$...
JEE Main Chemistry Medium
View Solution
Q JEE MAIN 2024
The azo-dye $(\mathrm{Y})$ formed in the following reactions is Sulphanilic acid $+\mathrm{NaNO}_2+\mathrm{CH}_3 \mathrm{COOH} \rightarrow \mathrm{X}$
JEE Main Chemistry Easy
View Solution
Q JEE MAIN 2024
Given below are two statements : Statement (I): Both metal and non-metal exist in p and d-block elements. Statement (II):...
JEE Main Chemistry Easy
View Solution
Q JEE MAIN 2024
Match List - I with List - II. Choose the correct answer from the options given below.
JEE Main Chemistry Easy
View Solution
Q JEE MAIN 2024
Select the option with correct property –
JEE Main Chemistry Medium
View Solution
Q JEE-Main_2024
A body of mass 5 kg moving with a uniform speed $3 \sqrt{2} \mathrm{~ms}^{-1}$ in $X-Y$ plane along the line...
JEE Main Physics Medium
View Solution
Q JEE MAIN 2024
Identify structure of 2,3-dibromo-1-phenylpentane.
JEE Main Chemistry Easy
View Solution
Q JEE-Main_2024
A particle is moving in a circle of radius 50 cm in such a way that at any instant the...
JEE Main Physics Hard
View Solution
Q JEE MAIN 2024
Given below are two statements: Statement (I): A $\pi$ bonding MO has lower electron density above and below the inter-nuclear...
JEE Main Chemistry Easy
View Solution
Q JEE MAIN 2024
Major product of the following reaction is -
JEE Main Chemistry Medium
View Solution
Q JEE MAIN 2024
The transition metal having highest $3^{\text {rd }}$ ionisation enthalpy is :
JEE Main Chemistry Easy
View Solution
Q JEE-Main_2024
In the given circuit, the current flowing through the resistance $20 \Omega$ is 0.3 A , while the ammeter reads...
JEE Main Physics Medium
View Solution
Q JEE MAIN 2024
Number of spectral lines obtained in $\mathrm{He}^{+}$spectra, when an electron makes transition from fifth excited state to first excited state...
JEE Main Chemistry Easy
View Solution
Q JEE MAIN 2024
Identify major product ' P ' formed in the following reaction
JEE Main Chemistry Easy
View Solution
Q JEE MAIN 2024
2-chlorobutane $+\mathrm{Cl}_2 \rightarrow \mathrm{C}_4 \mathrm{H}_8 \mathrm{Cl}_2$ (isomers) Total number of optically active isomers shown by $\mathrm{C}_4 \mathrm{H}_8 \mathrm{Cl}_2$, obtained in...
JEE Main Chemistry Medium
View Solution
Q JEE MAIN 2024
Given below are two statements : Statement I: $\mathrm{S}_8$ solid undergoes disproportionation reaction under alkaline conditions to form $\mathrm{S}^{2-}$ and...
JEE Main Chemistry Easy
View Solution
Q JEE MAIN 2024
Number of metal ions characterized by flame test among the following is $\_\_\_\_$ $$ \mathrm{Sr}^{2+}, \mathrm{Ba}^{2+}, \mathrm{Ca}^{2+}, \mathrm{Cu}^{2+}, \mathrm{Zn}^{2+}, \mathrm{Co}^{2+},...
JEE Main Chemistry Easy
View Solution
Q JEE MAIN 2024
Total number of species from the following which can undergo disproportionation reaction $\_\_\_\_$ . $$ \mathrm{H}_2 \mathrm{O}_2, \mathrm{ClO}_3^{-}, \mathrm{P}_4, \mathrm{Cl}_2,...
JEE Main Chemistry Medium
View Solution
Q JEE MAIN 2024
Number of geometrical isomers possible for the given structure is/are ______.
JEE Main Chemistry Medium
View Solution
Q JEE MAIN 2024
Identify A and B in the following reaction sequence.
JEE Main Chemistry Medium
View Solution
Q JEE MAIN 2024
The pH of an aqueous solution containing 1 M benzoic acid $\left(\mathrm{pK}_{\mathrm{a}}=4.20\right)$ and 1 M sodium benzoate is 4.5. The...
JEE Main Chemistry Easy
View Solution
Q JEE MAIN 2024
A sample of $\mathrm{CaCO}_3$ and $\mathrm{MgCO}_3$ weighed 2.21 g is ignited to constant weight of 1.152 g . The composition...
JEE Main Chemistry Hard
View Solution
Q JEE MAIN 2024
The total number of correct statements, regarding the nucleic acids is _______. A. RNA is regarded as the reserve of...
JEE Main Chemistry Easy
View Solution
Q JEE MAIN 2024
Two reactions are given below: $$ \begin{aligned} & 2 \mathrm{Fe}_{(\mathrm{s})}+\frac{3}{2} \mathrm{O}_{2(\mathrm{~g})} \rightarrow \mathrm{Fe}_2 \mathrm{O}_{3(\mathrm{~s})}, \Delta \mathrm{H}^{\mathrm{o}}=-822 \mathrm{~kJ} / \mathrm{mol} \\...
JEE Main Chemistry Easy
View Solution
Q JEE MAIN 2024
$\mathrm{NO}_2$ required for a reaction is produced by decomposition of $\mathrm{N}_2 \mathrm{O}_5$ in $\mathrm{CCl}_4$ as by equation $...
JEE Main Chemistry Easy
View Solution
Q JEE MAIN 2024
Match List I with List II Choose the correct answer from the options given below :
JEE Main Chemistry Medium
View Solution
Q JEE MAIN 2024
Number of complexes which show optical isomerism among the following is $\_\_\_\_$ cis $-\left[\mathrm{Cr}(\mathrm{ox})_2 \mathrm{Cl}_2\right]^{3-},\left[\mathrm{Co}(\mathrm{en})_3\right]^{3+}$, cis $-\left[\mathrm{Pt}(\mathrm{en})_2 \mathrm{Cl}_2\right]^{2+}$, cis $...
JEE Main Chemistry Medium
View Solution
Q JEE MAIN 2024
Reduction potential of ions are given below: The correct order of their oxidising power is:
JEE Main Chemistry Easy
View Solution
Q JEE-Main_2024
In a single slit diffraction pattern, a light of wavelength $6000 \AA$ is used. The distance between the first and...
JEE Main Physics Hard
View Solution
Q JEE-Main_2024
In the given figure, the charge stored in $6 \mu \mathrm{~F}$ capacitor, when points A and B are joined by...
JEE Main Physics Hard
View Solution
Q JEE MAIN 2024
Choose the correct statements about the hydrides of group 15 elements. A. The stability of the hydrides decreases in the...
JEE Main Chemistry Medium
View Solution
Q JEE MAIN 2024
The total number of molecules with zero dipole moment among $\mathrm{CH}_4, \mathrm{BF}_3, \mathrm{H}_2 \mathrm{O}, \mathrm{HF}, \mathrm{NH}_3, \mathrm{CO}_2$ and $\mathrm{SO}_2$ is
JEE Main Chemistry Easy
View Solution
Q JEE MAIN 2024
A and B formed in the following reactions are:
JEE Main Chemistry Easy
View Solution
Q JEE MAIN 2024
A constant current was passed through a solution of $\mathrm{AuCl}_4^{-}$ion between gold electrodes. After a period 10.0 minutes, the increase...
JEE Main Chemistry Easy
View Solution
Q JEE-Main_2024
A simple harmonic oscillator has an amplitude A and time period $6 \pi$ second. Assuming the oscillation starts from its...
JEE Main Physics Easy
View Solution
Q JEE MAIN 2024
Standard enthalpy of vapourisation for $\mathrm{CCl}_4$ is $30.5 \mathrm{~kJ} \mathrm{~mol}^{-1}$. Heat required for vapourisation of $284 \mathrm{~g}_{\mathrm{g}}$ of $\mathrm{CCl}_4$ at...
JEE Main Chemistry Easy
View Solution
Q JEE-Main_2024
A charge of $4.0 \mu \mathrm{C}$ is moving with a velocity of $4.0 \times 10^6 \mathrm{~ms}^{-1}$ along the positive y...
JEE Main Physics Easy
View Solution
Q JEE MAIN 2024
The solution from the following with highest depression in freezing point/lowest freezing point is
JEE Main Chemistry Medium
View Solution
Q JEE MAIN 2024
The half-life of radioisotopic bromine - 82 is 36 hours. The fraction which remains after one day is $\times 10^{-2}$....
JEE Main Chemistry Medium
View Solution
Q JEE-Main_2024
Hydrogen atom is bombarded with electrons accelerated through a potential different of $V$, which causes excitation of hydrogen atoms. If...
JEE Main Physics Medium
View Solution
Q JEE MAIN 2024
The correct stability order of carbocations is
JEE Main Chemistry Easy
View Solution
Q JEE MAIN 2024
The total number of 'Sigma' and Pi bonds in 2formylhex-4-enoic acid is
JEE Main Chemistry Easy
View Solution
Q JEE-Main_2024
A horizontal straight wire 5 m long extending from east to west falling freely at right angle to horizontal component...
JEE Main Physics Easy
View Solution
Q JEE MAIN 2024
If 50 mL of 0.5 M oxalic acid is required to neutralise 25 mL of NaOH solution, the amount of...
JEE Main Chemistry Easy
View Solution
Q JEE MAIN 2024
Given below are two statements: Statement-I: Since fluorine is more electronegative than nitrogen, the net dipole moment of $\mathrm{NF}_3$ is...
JEE Main Chemistry Easy
View Solution
Q JEE-Main_2024
Two metallic wires P and Q have same volume and are made up of same material. If their area of...
JEE Main Physics Medium
View Solution
Q JEE MAIN 2024
Molality of $0.8 \mathrm{MH}_2 \mathrm{SO}_4$ solution (density $1.06 \mathrm{~g} \mathrm{~cm}^{-3}$ ) is $\times 10^{-3} \mathrm{~m}$.
JEE Main Chemistry Medium
View Solution
Q JEE MAIN 2024
Total number of compounds with Chiral carbon atoms from following is $...
JEE Main Chemistry Medium
View Solution
Q JEE MAIN 2024
The following concentrations were observed at 500 K for the formation of $\mathrm{NH}_3$ from $\mathrm{N}_2$ and $\mathrm{H}_2$. At equilibrium :...
JEE Main Chemistry Easy
View Solution
Q JEE-Main_2024
An electric field is given by $(6 \hat{\imath}+5 \hat{\jmath}+3 \hat{k}) N / C$. The electric flux through a surface area...
JEE Main Physics Easy
View Solution
Q JEE MAIN 2024
The coordination geometry around the manganese in decacarbonyldimanganese (0)
JEE Main Chemistry Easy
View Solution
Q JEE MAIN 2024
The oxidation number of iron in the compound formed during brown ring test for $\mathrm{NO}_3^{-}$ion is
JEE Main Chemistry Easy
View Solution
Q JEE MAIN 2024
9.3 g of aniline is subjected to reaction with excess of acetic anhydride to prepare acetanilide. The mass of acetanilide...
JEE Main Chemistry Easy
View Solution
Q JEE MAIN 2024
Given below are two statements: Statement - I: Along the period, the chemical reactivity of the element gradually increases from...
JEE Main Chemistry Easy
View Solution
Q JEE MAIN 2024
The total number of anti bonding molecular orbitals, formed from 2s and 2p atomic orbitals in a diatomic molecule is
JEE Main Chemistry Medium
View Solution
Q JEE MAIN 2024
If a substance ${ }^{\prime} A$ ' dissolves in solution of a mixture of ${ }^{\prime} B$ ' and $...
JEE Main Chemistry Easy
View Solution
Q JEE-Main_2024
Given below are two statements : Statement I : Most of the mass of the atom and all its positive...
JEE Main Physics Easy
View Solution
Q JEE MAIN 2024
The hydrogen electrode is dipped in a solution of $\mathrm{pH}=3$ at $25^{\circ} \mathrm{C}$. The potential of the electrode will be...
JEE Main Chemistry Easy
View Solution
Q JEE MAIN 2024
Anomalous behaviour of oxygen is due to its
JEE Main Chemistry Easy
View Solution
Q JEE MAIN 2024
Alkaline oxidative fusion of MnO_2 gives "A" which on electrolytic oxidation in alkaline solution produces B. A and B respectively...
JEE Main Chemistry Easy
View Solution
Q JEE MAIN 2024
Suppose a uniformly charged wall provides a uniform electric field of $2 \times 10^4 \mathrm{~N} / \mathrm{C}$ normally. A charged...
JEE Main Physics Medium
View Solution
Q JEE MAIN 2024
Given below are two statements: Statement I: Fluorine has most negative electron gain enthalpy in its group. Statement II: Oxygen...
JEE Main Chemistry Easy
View Solution
Q JEE MAIN 2024
1 mole of PbS is oxidised by X moles of $\mathrm{O}_3$ to get " Y " moles of $...
JEE Main Chemistry Easy
View Solution
Q JEE-Main_2024
N moles of a polyatomic gas (f=6) must be mixed with two moles of a monoatomic gas so that the...
JEE Main Physics Medium
View Solution
Q JEE MAIN 2024
The orange colour of $\mathrm{K}_2 \mathrm{Cr}_2 \mathrm{O}_7$ and purple colour of $\mathrm{KMnO}_4$ is due to
JEE Main Chemistry Easy
View Solution
Q JEE MAIN 2024
Which one of the following will show geometrical isomerism?
JEE Main Chemistry Easy
View Solution
Q JEE-Main_2024
A particle is moving in a straight line. The variation of position ' $x$ ' as a function of time...
JEE Main Physics Medium
View Solution
Q JEE MAIN 2024
Volume of 3 MNaOH formula weight $40 \mathrm{~g} \mathrm{~mol}^{-1}$ ) which can be prepared from 84 g of NaOH is...
JEE Main Chemistry Easy
View Solution
Q JEE MAIN 2024
The molecule/ion with square pyramidal shape is:
JEE Main Chemistry Easy
View Solution
Q JEE MAIN 2024
Alkyl halide is converted into alkyl isocyanide by reaction with
JEE Main Chemistry Easy
View Solution
Q JEE MAIN 2024
A uniform rod AB of mass 2 kg and Length 30 cm at rest on a smooth horizontal surface. An...
JEE Main Physics Hard
View Solution
Q JEE MAIN 2024
For a certain thermochemical reaction $M \rightarrow N$ at $\mathrm{T}=400 \mathrm{~K}, \Delta \mathrm{H}^{\ominus}=77.2 \mathrm{~kJ} \mathrm{~mol}^{-1}, \Delta \mathrm{~S}=122 \mathrm{JK}^{-1}, \log$ equilibrium...
JEE Main Chemistry Medium
View Solution
Q JEE MAIN 2024
The products A and B formed in the following reaction scheme are respectively
JEE Main Chemistry Easy
View Solution
Q JEE MAIN 2024
The element having the highest first ionization enthalpy is
JEE Main Chemistry Easy
View Solution
Q JEE-Main_2024
In the given circuit, the current in resistance $R_3$ is i.
JEE Main Physics Easy
View Solution
Q JEE MAIN 2024
Which of the following statements are correct about Zn,Cd and Hg ?
JEE Main Chemistry Easy
View Solution
Q JEE MAIN 2024
The Spin only magnetic moment value of square planar complex $\left[\mathrm{Pt}\left(\mathrm{NH}_3\right)_2 \mathrm{Cl}\left(\mathrm{NH}_2 \mathrm{CH}_3\right)\right] \mathrm{Cl}$ is B.M. (Nearest integer) (Given atomic...
JEE Main Chemistry Easy
View Solution
Q JEE MAIN 2024
IUPAC name of following compound is
JEE Main Chemistry Easy
View Solution
Q JEE MAIN 2024
In Young's double slit experiment, monochromatic light of wavelength 5000 Å is used. The slits are 1.0 mm apart and...
JEE Main Physics Hard
View Solution
Q JEE MAIN 2024
Product A and B formed in the following set of reactions are:
JEE Main Chemistry Easy
View Solution
Q JEE MAIN 2024
Which of the following acts as a strong reducing agent? (Atomic number : $\mathrm{Ce}=58, \mathrm{Eu}=63, \mathrm{Gd}= 64, \mathrm{Lu}=71$ )
JEE Main Chemistry Easy
View Solution
Q JEE-Main_2024
A plane electromagnetic wave of frequency 35 MHz travels in free space along the X-direction. At a particular point (in...
JEE Main Physics Easy
View Solution
Q JEE MAIN 2024
Given below are two statements: One is labelled as Assertion A and the other is labelled as Reason R. Assertion...
JEE Main Chemistry Easy
View Solution
Q JEE MAIN 2024
Identify the reagents used for the following conversion
JEE Main Chemistry Hard
View Solution
Q JEE-Main_2024
A planet takes 200 days to complete one revolution around the Sun. If the distance of the planet from Sun...
JEE Main Physics Easy
View Solution
Q JEE MAIN 2024
m-chlorobenzaldehyde on treatment with 50% KOH solution yields
JEE Main Chemistry Easy
View Solution
Q JEE MAIN 2024
The product A formed in the following reaction is:
JEE Main Chemistry Easy
View Solution
Q JEE-Main_2024
A wire of length L and radius r is clamped at one end. If its other end is pulled by...
JEE Main Physics Easy
View Solution
Q JEE MAIN 2024
A coil of 200 turns and area $0.20 \mathrm{~m}^2$ is rotated at half a revolution per second and is placed...
JEE Main Physics Medium
View Solution
Q JEE MAIN 2024
Time required for completion of $99.9 \%$ of a First order reaction is times of half life $\left(t_{1 / 2}\right)$...
JEE Main Chemistry Easy
View Solution
Q JEE MAIN 2024
Salicylaldehyde is synthesized from phenol, when reacted with
JEE Main Chemistry Easy
View Solution
Q JEE-Main_2024
A bob of mass ' $m$ ' is suspended by a light string of length ' $L$ '. It is...
JEE Main Physics Easy
View Solution
Q JEE MIAN 2024
The number of non-polar molecules from the following is $\mathrm{HF}, \mathrm{H}_2 \mathrm{O}, \mathrm{SO}_2, \mathrm{H}_2, \mathrm{CO}_2, \mathrm{CH}_4, \mathrm{NH}_3, \mathrm{HCl}, \mathrm{CHCl}_3, \mathrm{BF}_3$
JEE Main Chemistry Easy
View Solution
Q JEE MAIN 2024
A nucleus has mass number $A_1$ and volume $V_1$. Another nucleus has mass number $A_2$ and volume $V_2$. If relation...
JEE Main Physics Easy
View Solution
Q JEE MAIN 2024
Which among the following purification methods is based on the principle of "Solubility" in two different solvents?
JEE Main Chemistry Easy
View Solution
Q JEE MAIN 2024
Match List I with List II Choose the correct answer from the options given below :-
JEE Main Chemistry Easy
View Solution
Q JEE MAIN 2024
Total number of ions from the following with noble gas configuration is $...
JEE Main Chemistry Easy
View Solution
Q
A small liquid drop of radius R is divided into 27 identical liquid drops. If the surface tension is T,...
JEE Main Physics Medium
View Solution
Q JEE MAIN 2024
The time period of simple harmonic motion of mass M in the given figure is $\pi \sqrt{\frac{\alpha M}{5 K}}$, where...
JEE Main Physics Medium
View Solution
Q JEE MAIN 2024
Identity the incorrect pair from the following:
JEE Main Chemistry Easy
View Solution
Q JEE MAIN 2024
A series $L C R$ circuit with $L=\frac{100}{\pi} \mathrm{mH}, \mathrm{C}=\frac{10^{-3}}{\pi} \mathrm{~F}$ and $\mathrm{R}=10 \Omega$, is connected across an ac source...
JEE Main Physics Medium
View Solution
Q JEE MAIN 2024
A particular hydrogen - like ion emits the radiation of frequency $3 \times 10^{15} \mathrm{~Hz}$ when it makes transition from...
JEE Main Physics Medium
View Solution
Q JEE MAIN 2024
Two identical spheres each of mass 2 kg and radius 50 cm are fixed at the ends of a light...
JEE Main Physics Medium
View Solution
Q JEE MAIN 2024
The incorrect statement regarding conformations of ethane is:
JEE Main Chemistry Easy
View Solution
Q JEE MAIN 2024
If Rydberg's constant is R, the longest wavelength of radiation in Paschen series will be $\frac{\alpha}{7 \mathrm{R}}$, where α=
JEE Main Physics Easy
View Solution
Q JEE MAIN 2024
Two identical spheres each of mass 2 kg and radius 50 cm are fixed at the ends of a light...
JEE Main Physics Easy
View Solution
Q JEE MAIN 2024
Which of the following cannot function as an oxidising agent ?
JEE Main Chemistry Easy
View Solution
Q JEE MAIN 2024
The electric potential at the surface of an atomic nucleus (z=50) of radius $9 \times 10^{-13} \mathrm{~cm}$ is $...
JEE Main Physics Medium
View Solution
Q JEE MAIN 2024
One end of a metal wire is fixed to a ceiling and a load of 2 kg hangs from the...
JEE Main Physics Easy
View Solution
Q JEE MAIN 2024
A body of mass ' $m$ ' is projected with a speed ' $u$ ' making an angle of $45^{\circ}$...
JEE Main Physics Easy
View Solution
Q JEE MAIN 2024
A parallel beam of monochromatic light of wavelength 5000Å is incident normally on a single narrow slit of width 0.001...
JEE Main Physics Easy
View Solution
Q JEE MAIN 2024
Which structure of protein remains intact after coagulation of egg white on boiling?
JEE Main Chemistry Easy
View Solution
Q JEE MAIN 2024
Two circular coils P and Q of 100 turns each have same radius of $\pi \mathrm{cm}$. The currents in P...
JEE Main Physics Medium
View Solution
Q JEE MAIN 2024
The quantity which changes with temperature is :
JEE Main Chemistry Easy
View Solution
Q JEE MAIN 2024
A moving coil galvanometer has 100 turns and each turn has an area of $2.0 \mathrm{~cm}^2$. The magnetic field produced...
JEE Main Physics Medium
View Solution
Q JEE MAIN 2024
Identify B formed in the reaction. $...
JEE Main Chemistry Medium
View Solution
Q JEE MAIN 2024
Two blocks of mass 2 kg and 4 kg are connected by a metal wire going over a smooth pulley...
JEE Main Physics Medium
View Solution
Q JEE MAIN 2024
A ring and a solid sphere roll down the same inclined plane without slipping. They start from rest. The radii...
JEE Main Physics Easy
View Solution
Q JEE MAIN 2024
Identify from the following species in which $\mathrm{d}^2 \mathrm{sp}^3$ hybridization is shown by central atom:
JEE Main Chemistry Easy
View Solution
Q JEE MAIN 2024
The magnetic flux $\phi$ (in weber) linked with a closed circuit of resistance $8 \Omega$ varies with time (in seconds)...
JEE Main Physics Easy
View Solution
Q JEE MAIN 2024
The reading of pressure metre attached with a closed pipe is $4.5 \times 10^4 \mathrm{~N} / \mathrm{m}^2$. On opening the...
JEE Main Physics Easy
View Solution
Q JEE MAIN 2024
Given below are two statements: Statement (I) : Oxygen being the first member of group 16 exhibits only -2 oxidation...
JEE Main Chemistry Easy
View Solution
Q JEE MAIN 2024
Light from a point source in air falls on a convex curved surface of radius 20 cm and refractive index...
JEE Main Physics Easy
View Solution
Q JEE MAIN 2024
A particle initially at rest starts moving from reference point. x=0 along x-axis, with velocity v that varies as v=$...
JEE Main Physics Easy
View Solution
Q JEE MAIN 2024
Bond line formula of $\mathrm{HOCH}(\mathrm{CN})_2$ is:
JEE Main Chemistry Easy
View Solution
Q JEE MAIN 2024
A body falling under gravity covers two points A and B separated by 80 m in 2 s. The distance...
JEE Main Physics Medium
View Solution
Q JEE MAIN 2024
In the following circuit, the battery has an emf of 2 V and an internal resistance of $\frac{2}{3} \Omega$. The...
JEE Main Physics Medium
View Solution
Q JEE MAIN 2024
Major product formed in the following reaction is a mixture of:
JEE Main Chemistry Easy
View Solution
Q JEE MAIN 2024
A closed organ pipe 150 cm long gives 7 beats per second with an open organ pipe of length 350"...
JEE Main Physics Hard
View Solution
Q JEE MAIN 2024
A mass m is suspended from a spring of negligible mass and the system oscillates with a frequency $f_1$. The...
JEE Main Physics Easy
View Solution
Q JEE MAIN 2024
Two charges of $-4 \mu \mathrm{C}$ and $+4 \mu \mathrm{C}$ are placed at the points $\mathrm{A}(1,0,4) \mathrm{m}$ and $\mathrm{B}(2,-1,5) \mathrm{m}$...
JEE Main Physics Medium
View Solution
Q JEE MAIN 2024
Match List-I with List-II. Choose the correct answer from the options given below:
JEE Main Chemistry Easy
View Solution
Q JEE MAIN 2024
The final product A, formed in the following reaction sequence is:
JEE Main Chemistry Medium
View Solution
Q JEE MAIN 2024
The technique used for purification of steam volatile water immiscible substance is:
JEE Main Chemistry Easy
View Solution
Q JEE MAIN 2024
The molecular formula of second homologue in the homologous series of mono carboxylic acids is
JEE Main Chemistry Easy
View Solution
Q JEE MAIN 2024
Phenolic group can be identified by a positive:
JEE Main Chemistry Easy
View Solution
Q JEE MAIN 2024
Choose the correct option having all the elements with d^10 electronic configuration from the following:
JEE Main Chemistry Easy
View Solution
Q JEE MAIN 2024
Given below are two statements : Statement (I): In the Lanthanoids, the formation of $\mathrm{Ce}^{+4}$ is favoured by its noble...
JEE Main Chemistry Medium
View Solution
Q JEE MAIN 2024
Which of the following statements is not correct about rusting of iron?
JEE Main Chemistry Easy
View Solution
Q JEE MAIN 2024
A body of mass 4 kg experiences two forces $\overrightarrow{\mathrm{F}}_1=5 \hat{\imath}+8 \hat{\jmath}+7 \hat{\mathrm{k}}$ and $\overrightarrow{\mathrm{F}}_2=3 \hat{\imath}-4 \hat{\jmath}-3 \hat{\mathrm{k}}$. The acceleration...
JEE Main Physics Easy
View Solution
Q JEE-Main_2024
In Young's double slit experiment, light from two identical sources are superimposing on a screen. The path difference between the...
JEE Main Physics Hard
View Solution
Q JEE MAIN 2024
A light planet is revolving around a massive star in a circular orbit of radius R with a period of...
JEE Main Physics Hard
View Solution
Q JEE-Main_2024
Two particles $X$ and $Y$ having equal charges are being accelerated through the same potential difference. Thereafter they enter normally...
JEE Main Physics Medium
View Solution
Q JEE MAIN 2024
A transformer has an efficiency of 80% and works at 10 V and 4 kW. If the secondary voltage is...
JEE Main Physics Medium
View Solution
Q JEE-Main_2024
If the distance between object and its two times magnified virtual image produced by a curved mirror is 15 cm...
JEE Main Physics Easy
View Solution
Q JEE MAIN 2025
Consider two physical quantities A and B related to each other as $\mathrm{E}=\frac{\mathrm{B}-\mathrm{x}^2}{\mathrm{At}}$ where $\mathrm{E}, \mathrm{x}$ and t have dimensions...
JEE Main Physics Medium
View Solution
Q JEE MAIN 2024
Match List - I with List - II. Choose the correct answer from the options given below :
JEE Main Physics Easy
View Solution
Q JEE MAIN 2024
The output of the given circuit diagram is
JEE Main Physics Easy
View Solution
Q JEE MAIN 2024
In a metre-bridge when a resistance in the left gap is 2Ω and unknown resistance in the right gap, the...
JEE Main Physics Medium
View Solution
Q JEE MAIN 2024
Phenol treated with chloroform in presence of sodium hydroxide, which further hydrolysed in presence of an acid results
JEE Main Chemistry Easy
View Solution
Q JEE MAIN 2024
A reagent which gives brilliant red precipitate with Nickel ions in basic medium is
JEE Main Chemistry Easy
View Solution
Q JEE NMAIN 2024
A galvanometer (G) of 2Ω resistance is connected in the given circuit. The ratio of charge stored in $\mathrm{C}_1$ and...
JEE Main Physics Medium
View Solution
Q JEE MAIN 2024
The correct IUPAC name of $\mathrm{K}_2 \mathrm{MnO}_4$ is
JEE Main Chemistry Easy
View Solution
Q JEE MAIN 2024
Train A is moving along two parallel rail tracks towards north with speed 72 km/h and train B is moving...
JEE Main Physics Easy
View Solution
Q JEE MAIN 2024
A body of mass 2 kg begins to move under the action of a time dependent force given by $...
JEE Main Physics Medium
View Solution
Q JEE MAIN 2024
According to IUPAC system, the compound is named as
JEE Main Chemistry Easy
View Solution
Q JEE MAIN 2024
If the root mean square velocity of hydrogen molecule at a given temperature and pressure is 2 km/s, the root...
JEE Main Physics Easy
View Solution
Q JEE MAIN 2024
A small spherical ball of radius $r$, falling through a viscous medium of negligible density has terminal velocity ' $v$...
JEE Main Physics Easy
View Solution
Q JEE MAIN 2024
Which of the following reaction is correct ?
JEE Main Chemistry Easy
View Solution
Q JEE MAIN 2024
The mass of the moon is 1 / 144 times the mass of a planet and its diameter $...
JEE Main Physics Easy
View Solution
Q JEE MAIN 2024
$\mathrm{C}_1$ and $\mathrm{C}_2$ are two hollow concentric cubes enclosing charges 2Q and 3Q respectively as shown in figure. The ratio...
JEE Main Physics Easy
View Solution
Q JEE MAIN 2024
Match List I with List II Choose the correct answer from the options given below :
JEE Main Chemistry Easy
View Solution
Q JEE MAIN 2023
The mass number of nucleus having radius equal to half of the radius of nucleus with mass number 192
JEE Main Physics Easy
View Solution
Q JEE MAIN 2024
Match List I with List II Choose the correct answer from the options given below :
JEE Main Chemistry Easy
View Solution
Q JEE MAIN 2024
A microwave of wavelength 2.0cm falls normally on a slit of width 4.0 cm. The angular spread of the central...
JEE Main Physics Easy
View Solution
Q JEE MAIN 20241
If two vectors $\overrightarrow{\mathrm{A}}$ and $\overrightarrow{\mathrm{B}}$ having equal magnitude $R$ are inclined at an angle $\theta$, then
JEE Main Physics Easy
View Solution
Q JEE MAIN 2024
By what percentage will the illumination of the lamp decrease if the current drops by 20% ?
JEE Main Physics Easy
View Solution
Q JEE MAIN 2024
Monochromatic light of frequency $6 \times 10^{14}$ Hz is produced by a laser. The power emitted is $...
JEE Main Physics Easy
View Solution
Q JEE MAIN 2024
The ascending acidity order of the following H atoms is
JEE Main Chemistry Medium
View Solution
Q JEE MAIN 2024
A block of mass 5" " kg is placed on a rough inclined surface as shown in the figure. If...
JEE Main Physics Medium
View Solution
Q JEE-Main_2024
The bob of a pendulum was released from a horizontal position. The length of the pendulum is 10 m ....
JEE Main Physics Medium
View Solution
Q JEE MAIN 2024
A cricket player catches a ball of mass 120 g moving with 25 m/s speed. If the catching process is...
JEE Main Physics Medium
View Solution
Q JEE MAIN 2024
Which among the following halide/s will not show $\mathrm{S}_{\mathrm{N}} 1$ reaction:
JEE Main Chemistry Easy
View Solution
Q JEE MAIN 2024
In a photoelectric effect experiment a light of frequency 1.5 times the threshold frequency is made to fall on the...
JEE Main Physics Easy
View Solution
Q JEE MAIN 2024
The order of relative stability of the contributing structure is: Choose the correct answer from the options given below:
JEE Main Chemistry Easy
View Solution
Q JEE MAIN 2024
If frequency of electromagnetic wave is 60MHz and it travels in air along z direction then the corresponding electric and...
JEE Main Physics Easy
View Solution
Q JEE MAIN 2024
Given below are two statements: Statement I: Electromagnetic waves carry energy as they travel through space and this energy is...
JEE Main Physics Easy
View Solution
Q JEE MAIN 2024
Two resistance of $100 \Omega$ and $200 \Omega$ are connected in series with a battery of 4 V and negligible...
JEE Main Physics Medium
View Solution
Q JEE MAIN 2024
The resistance per centimeter of a meter bridge wire is r , with $\mathrm{X} \Omega$ resistance in left gap. Balancing...
JEE Main Physics Easy
View Solution
Q JEE MAIN 2024
A point source is emitting sound waves of intensity $16 \times 10^{-8} \mathrm{Wm}^{-2}$ at the origin. The difference in intensity...
JEE Main Physics Easy
View Solution
Q JEE-Main_2024
A stone of mass 900 g is tied to a string and moved in a vertical circle of radius 1...
JEE Main Physics Easy
View Solution
Q JEE MAIN 2024
A gas mixture consists of 8 moles of argon and 6 moles of oxygen at temperature T. Neglecting all vibrational...
JEE Main Physics Easy
View Solution
Q JEE MAIN 2024
A simple pendulum is placed at a place where its distance from the earth's surface is equal to the radius...
JEE Main Physics Easy
View Solution
Q JEE-Main_2024
The temperature of a gas having $2.0 \times 10^{25}$ molecules per cubic meter at 1.38 atm (Given, $...
JEE Main Physics Medium
View Solution
Q JEE MAIN 2024
Two identical charged spheres are suspended by string of equal lengths. The string make an angle of $37^{\circ}$ with each...
JEE Main Physics Hard
View Solution
Q JEE MAIN 2023
Let quadratic curve passing through the point $(-1,0)$ and touching the line $y=x$ at $(1,1)$ be $y=f(x)$. Then the x-intercept...
JEE Main Mathematics Medium
View Solution
Q JEE MAIN 2024
The speed of sound in oxygen at S.T.P. will be approximately: (Given, $\mathrm{R}=8.3 \mathrm{~J} \mathrm{~K}^{-1}, \gamma=1.4$ )
JEE Main Physics Medium
View Solution
Q JEE MAIN 2024
The current of 5 A flows in a square loop of sides 1 m is placed in air. The magnetic...
JEE Main Physics Medium
View Solution
Q JEE MAIN 2024
When unpolarized light is incident at an angle of $60^{\circ}$ on a transparent medium from air. The reflectec ray is...
JEE Main Physics Easy
View Solution
Q JEE-Main_2024
In an a.c. circuit, voltage and current are given by. $\mathrm{V}=100 \sin (100 \mathrm{t}) \mathrm{V}$ and $...
JEE Main Physics Easy
View Solution
Q JEE MAIN 2024
A vector has magnitude same as that of $\overrightarrow{\mathrm{A}}-=3 \hat{\jmath}+4 \hat{\jmath}$ and is parallel to $\overrightarrow{\mathrm{B}}=4 \hat{\imath}+3 \hat{\jmath}$. The $x$...
JEE Main Physics Easy
View Solution
Q JEE MAIN 2024
In an experiment to measure the focal length (f) of a convex lens, the magnitude of object distance (x) and...
JEE Main Physics Medium
View Solution
Q JEE-Main_2024
A physical quantity $Q$ is found to depend on quantities $a, b, c$ by the relation $Q=\frac{a^4 b^3}{c^2}$. The percentage...
JEE Main Physics Medium
View Solution
Q JEE MAIN 2024
An $A C$ voltage $V=20 \sin 200 \pi t$ is applied to a series $L C R$ circuit which drives...
JEE Main Physics Easy
View Solution
Q JEE MAIN 2024
Two discs of moment of inertia $I_1=4 \mathrm{~kg} \mathrm{~m}^2$ and $\mathrm{I}_2=2 \mathrm{~kg} \mathrm{~m}^2$ about their central axes \& normal to...
JEE Main Physics Medium
View Solution
Q JEE MAIN 2024
The magnetic field at the centre of a wire loop formed by two semicircular wires of radii $\mathrm{R}_1=2 \pi \mathrm{~m}$...
JEE Main Physics Easy
View Solution
Q JEE-Main_2025
The truth table for this given circuit is :
JEE Main Physics Easy
View Solution
Q JEE MAIN 2024
A big drop is formed by coalescing 1000 small identical drops of water. If $E_1$ be the total surface energy...
JEE Main Physics Medium
View Solution
Q JEE MAIN 2024
Force between two point charges $\mathrm{q}_1$ and $\mathrm{q}_2$ placed in vacuum at ' $r$ ' cm apart is $F$. Force...
JEE Main Physics Medium
View Solution
Q JEE MAIN 2024
A power transmission line feeds input power at 2.3 kV to a step down transformer with its primary winding having...
JEE Main Physics Easy
View Solution
Q JEE MAIN 2024
Projectiles A and B are thrown at angles of $45^{\circ}$ and $60^{\circ}$ with vertical respectively from top of a 400...
JEE Main Physics Medium
View Solution
Q JEE MAIN 2024
The measured value of the length of a simple pendulum is 20" " cm with 2" " mm accuracy. The...
JEE Main Physics Easy
View Solution
Q JEE MAIN 2024
A heavy iron bar of weight 12 kg is having its one end on the ground and the other on...
JEE Main Physics Easy
View Solution
Q JEE MAIN 2024
A uniform magnetic field of $2 \times 10^{-3} \mathrm{~T}$ acts along positive Y -direction. A rectangular loop of sides 20...
JEE Main Physics Medium
View Solution
Q JEE MAIN 2024
Match List I with List II
JEE Main Physics Easy
View Solution
Q JEE-Main_2024
Two sources of light emit with a power of 200" " W. The ratio of number of photons of visible...
JEE Main Physics Easy
View Solution
Q JEE MAIN 2024
Given below are two statements : one is labelled a Assertion (A) and the other is labelled as Reason(R) Assertion...
JEE Main Physics Easy
View Solution
Q JEE MAIN 2024
An object is placed in a medium of refractive index 3 . An electromagnetic wave of intensity $...
JEE Main Physics Medium
View Solution
Q JEE MAIN 2024
When a potential difference V is applied across a wire of resistance R, it dissipates energy at a rate W....
JEE Main Physics Easy
View Solution
Q JEE MAIN 2024
Three blocks A, B and C are pulled on a horizontal smooth surface by a force of 80" " N...
JEE Main Physics Medium
View Solution
Q JEE MAIN 2024
When a polaroid sheet is rotated between two crossed polaroids then the transmitted light intensity will be maximum for a...
JEE Main Physics Hard
View Solution
Q JEE MAIN 2024
Given below are two statements : one is labelled as Assertion (A) and the other is labelled as Reason (R)...
JEE Main Physics Medium
View Solution
Q JEE MAIN 2024
If three moles of monoatomic gas $\left(\gamma=\frac{5}{3}\right)$ is mixed with two moles of a diatomic gas $\left(\gamma=\frac{7}{5}\right)$, the value of...
JEE Main Physics Hard
View Solution
Q JEE MAIN 2024
In the given circuit, the voltage across load resistance ( $R_L$ ) is:
JEE Main Physics Medium
View Solution
Q JEE MAIN 2024
The threshold frequency of a metal with work function 6.63eV is :
JEE Main Physics Easy
View Solution
Q JEE MAIN 2024
During an adiabatic process, the pressure of a gas is found to be proportional to the cube of its absolute...
JEE Main Physics Hard
View Solution
Q JEE MAIN 2024
Primary side of a transformer is connected to 230 V,50 Hz supply. Turns ratio of primary to secondary winding is...
JEE Main Physics Easy
View Solution
Q JEE MAIN 2024
If mass is written as $\mathrm{m}=\mathrm{kc}^{\mathrm{P}} \mathrm{G}^{-1 / 2} \mathrm{~h}^{1 / 2}$ then the value of P will be :...
JEE Main Physics Hard
View Solution
Q JEE MAIN 2024
A particle of charge ${ }^{\prime}-q$ ' and mass ${ }^{\prime} m$ ' moves in a circle of radius $...
JEE Main Physics Medium
View Solution
Q JEE MAIN 2024
Escape velocity of a body from earth is 11.2" " km/s. If the radius of a planet be one-third the...
JEE Main Physics Medium
View Solution
Q JEE MAIN 2024
A beam of unpolarised light of intensity I_0 is passed through a polaroid A and then through another polaroid B...
JEE Main Physics Easy
View Solution
Q JEE MAIN 2024
If the total energy transferred to a surface in time $t$ is $6.48 \times 10^5 \mathrm{~J}$, then the magnitude of...
JEE Main Physics Easy
View Solution
Q JEE MAIN 2024
A block of mass $m$ is placed on a surface having vertical cross section given by $y=x^2 / 4$. If...
JEE Main Physics Hard
View Solution
Q JEE MAIN 2024
An alternating voltage $V(t)=220 \sin 100 \pi t$ volt is applied to a purely resistive load of $50 \Omega$. The...
JEE Main Physics Easy
View Solution
Q JEE MAIN 2024
An electron revolving in $\mathrm{n}^{\text {th }}$ Bohr orbit has magnetic moment $\mu_n$. If $\mu_n \alpha n^x$, the value of...
JEE Main Physics Hard
View Solution
Q JEE MAIN 2024
Choose the correct statement for processes A & B shown in figure.
JEE Main Physics Hard
View Solution
Q JEE MAIN 2024
Given below are two statements : one is labelled as Assertion (A) and the other is labelled as Reason (R)....
JEE Main Physics Easy
View Solution
Q JEE MAIN 2024
From the statements given below : (A) The angular momentum of an electron in orbit is an integral multiple of...
JEE Main Physics Hard
View Solution
Q JEE MAIN 2024
The total kinetic energy of 1 mole of oxygen at $27^{\circ} \mathrm{C}$ is: [Use universal gas constant $(\mathrm{R})=8.31 \mathrm{~J} /$...
JEE Main Physics Easy
View Solution
Q JEE MAIN 2024
In a nuclear fission reaction of an isotope of mass $M$, three similar daughter nuclei of same mass are formed....
JEE Main Physics Hard
View Solution
Q JEE MAIN 2024
Three voltmeters, all having different internal resistances are joined as shown in figure. When some potential difference is applied across...
JEE Main Physics Easy
View Solution
Q JEE MAIN 2024
To measure the temperature coefficient of resistivity $\alpha$ of a semiconductor, an electrical arrangement shown in the figure is prepared....
JEE Main Physics Medium
View Solution
Q JEE MAIN 2024
A ball suspended by a thread swings in a vertical plane so that its magnitude of acceleration in the extreme...
JEE Main Physics Hard
View Solution
Q JEE MAIN 2024
The atomic mass of ${ }_6 \mathrm{C}^{12}$ is 12.000000 u and that of ${ }_6 \mathrm{C}^{13}$ is 13.003354 u ....
JEE Main Physics Medium
View Solution
Q JEE MAIN 2024
A current of $200 \mu \mathrm{~A}$ deflects the coil of a moving coil galvanometer through $60^{\circ}$. The current to cause...
JEE Main Physics Easy
View Solution
Q JEE MAIN 2024
The truth table of the given circuit diagram is :
JEE Main Physics Easy
View Solution
Q JEE MAIN 2024
In an ammeter, 5 % of the main current passes through the galvanometer. If resistance of the galvanometer is G...
JEE Main Physics Medium
View Solution
Q JEE MAIN 2024
For the photoelectric effect, the maximum kinetic energy $\left(E_k\right)$ of the photoelectrons is plotted against the frequency (v) of the...
JEE Main Physics Easy
View Solution
Q JEE MAIN 2024
Given below are two statements : Statement (I) : The limiting force of static friction depends on the area of...
JEE Main Physics Easy
View Solution
Q JEE MAIN 2024
Given below are two statements : one is labelled as Assertion (A) and the other is labelled as Reason (R...
JEE Main Physics Easy
View Solution
Q JEE MAIN 2024
A block of mass 1" " kg is pushed up a surface inclined to horizontal at an angle of 60^∘...
JEE Main Physics Medium
View Solution
Q JEE MAIN 2024
Wheatstone bridge principle is used to measure the specific resistance $\left(S_1\right)$ of given wire, having length L , radius r...
JEE Main Physics Easy
View Solution
Q JEE MAIN 2024
If 50 Vernier divisions are equal to 49 main scale divisions of a travelling microscope and one smallest reading of...
JEE Main Physics Medium
View Solution
Q JEE MAIN 2023
Let $g(x)=f(x)+f(1-x)$ and $f^{\prime \prime}(x)>0, x \in(0,1)$, If $g$ is decreasing in the interval ( $0, \alpha$ ) and increasing...
JEE Main Mathematics Medium
View Solution
Q JEE MAIN 2024
The equation of state of a real gas is given by $\left(P+\frac{a}{V^2}\right)(V-b)=R T$, where $P, V$ and $T$ are pressure....
JEE Main Physics Easy
View Solution
Q JEE MAIN 2025
There are two vessels filled with an ideal gas where volume of one is double the volume of other. The...
JEE Main Physics Medium
View Solution
Q JEE MAIN 2023
The set of all $a \in \mathbb{R}$ for which the equation $x|x-1|+|x+2|+a=0$ has exactly one real root is :
JEE Main Mathematics Medium
View Solution
Q JEE MAIN 2023
$\max _{0 \leq x \leq \pi}\left\{x-2 \sin x \cos x+\frac{1}{3} \sin 3 x\right\}=$
JEE Main Mathematics Medium
View Solution
Q JEE-Main_2023
The set of all $a \in \mathbb{R}$ for which the equation $x|x-1|+|x+2|+a=0$ has exactly one real root is :
JEE Main Mathematics Medium
View Solution
Q JEE-Main_2023
$\max _{0 \leq x \leq \pi}\left\{x-2 \sin x \cos x+\frac{1}{3} \sin 3 x\right\}$
JEE Main Mathematics Medium
View Solution
Q JEE MAIN 2023
A square piece of tin of side 30 cm is to be made into a box without top by cutting...
JEE Main Mathematics Easy
View Solution
Q JEE-Main_2024
A particle is placed at the point A of a frictionless track ABC as shown in figure. It is gently...
JEE Main Physics Easy
View Solution
Q JEE MAIN 2024
In an alpha particle scattering experiment distance of closest approach for the $$ \alpha $$ particle is $...
JEE Main Physics Hard
View Solution
Q JEE MAIN 2024
A parallel beam of monochromatic light of wavelength 600nm passes through single slit of 0.4mm width. Angular divergence corresponding to...
JEE Main Physics Medium
View Solution
Q JEE MAIN 2024
Three vectors $\overrightarrow{\mathrm{OP}}, \overrightarrow{\mathrm{OQ}}$ and $\overrightarrow{\mathrm{OR}}$ each of magnitude A are acting as shown in figure. The resultant of the...
JEE Main Physics Medium
View Solution
Q JEE MAIN 2024
A closed and an open organ pipe have same lengths. If the ratio of frequencies of their seventh overtones is...
JEE Main Physics Medium
View Solution
Q JEE MAIN 2024
A liquid column of height 0.04cm balances excess pressure of soap bubble of certain radius. If density of liquid is...
JEE Main Physics Medium
View Solution
Q JEE MAIN 2024
An electric field, $\overrightarrow{\mathrm{E}}=\frac{2 \hat{\mathrm{i}}+6 \hat{\mathrm{j}}+8 \hat{\mathrm{k}}}{\sqrt{6}}$ passes through the surface of $4 \mathrm{~m}^2$ area having unit vector $\hat{n}=\left(\frac{2 \hat{i}+\hat{j}+\hat{k}}{\sqrt{6}}\right)$...
JEE Main Physics Easy
View Solution
Q JEE MAIN 2024
Resistance of a wire at $0^{\circ} \mathrm{C}, 100^{\circ} \mathrm{C}$ and $t^{\circ} \mathrm{C}$ is found to be$10 \Omega, 10.2 \Omega$ and...
JEE Main Physics Medium
View Solution
Q JEE MAIN 2024
A square loop PQRS having 10 turns, area $3.6 \times 10^{-3} \mathrm{~m}^2$ and resistance 100Ω is slowly and uniformly being...
JEE Main Physics Hard
View Solution
Q JEE MAIN 2024
An electron with kinetic energy 5eV enters a region of uniform magnetic field of 3μT perpendicular to its direction. An...
JEE Main Physics Medium
View Solution
Q JEE MAIN 2024
A uniform thin metal plate of mass with dimensions is shown. The ratio of x and y coordinates of center...
JEE Main Physics Hard
View Solution
Q JEE MAINS 2023
In Young's double slits experiment, the position of 5th bright fringe from the central maximum is 5 cm. The distance...
JEE Main Physics Easy
View Solution
Q JEE MAIN
The diameter of a sphere is measured using a vernier caliper whose 9 divisions of main scale are equal to...
JEE Main Physics Hard
View Solution
Q JEE MAIN
Critical angle of incidence for a pair of optical media is $45^{\circ}$.. The refractive indices of first and second media...
JEE Main Physics Easy
View Solution
Q JEE MAIN
A stationary particle breaks into two parts of masses $\mathrm{m}_{\mathrm{A}}$ and $\mathrm{m}_{\mathrm{B}}$ which move with velocities $v_A$ and $v_B$ respectively....
JEE Main Physics Medium
View Solution
Q JEE MAIN
A player caught a cricket ball of mass 150 g moving at a speed of 20 m/s. If the catching...
JEE Main Physics Easy
View Solution
Q JEE MAIN
Correct Bernoulli's equation is (symbols have their usual meaning) :
JEE Main Physics Easy
View Solution
Q JEE MAIN 2024
If $\sin x = - \frac{3}{5}$, where $\pi < x < \frac{{3\pi }}{2}$, then $...
JEE Main Mathematics Easy
View Solution
Q JEE MAIN
Let f:(0,π)→R be a function given by Where a,b∈Z. If f is continuous at $\mathrm{x}=\frac{\pi}{2}$, then $\mathrm{a}^2+\mathrm{b}^2$ is equal to
JEE Main Mathematics Easy
View Solution
Q JEE MAIN
Let A={2,3,6,7} and B={4,5,6,8}. Let R be a relation defined on A×B by $(a_1,b_1 )R(a_2,b_2 ) $ is and only...
JEE Main Mathematics Hard
View Solution
Q JEE MAIN
If a function f satisfies f(m+n)=f(m)+f(n) for all m,n∈N and f(1)=1, then the largest natural number λ such that $...
JEE Main Mathematics Easy
View Solution
Q JEE MAIN
Let the centre of a circle, passing through the point (0,0),(1,0) and touching the circle $x^2+y^2$ =9, be (h,k). Then...
JEE Main Mathematics Medium
View Solution
Q JEE MAIN
Let A be a non-singular matrix of order 3. If $\operatorname{det}(3 \operatorname{adj}(2 \operatorname{adj}((\operatorname{det} A) A)))=3^{-13} \cdot 2^{-10}$ and det $...
JEE Main Mathematics Easy
View Solution
Q JEE MAIN
The remainder when $428^{2024}$ is divided by 21 is
JEE Main Mathematics Medium
View Solution
Q JEE MAIN
Let $...
JEE Main Mathematics Hard
View Solution
Q JEE MAIN
Let the set of all positive values of $\lambda$, for which the point of local minimum of the function $\left(1+x\left(\lambda^2-x^2\right)\right)$...
JEE Main Mathematics Medium
View Solution
Q JEE MAIN
The sum of the square of the modulus of the elements in the set {z=a+ib:a,b∈Z,z∈C,|z-1|≤1,|z-5|≤|z-5i|} is
JEE Main Mathematics Medium
View Solution
Q JEE MAIN
Let a,b and c denote the outcome of three independent rolls of a fair tetrahedral die, whose four faces are...
JEE Main Mathematics Medium
View Solution
Q JEE MAINS 2024
A message signal of frequency 5 kHz is used to modulate a carrier signal of frequency 2 MHz. The bandwidth...
JEE Main Physics Medium
View Solution
Q JEE MAINS 2024
The ratio of the density of oxygen nucleus and helium nucleus is
JEE Main Physics Easy
View Solution
Q JEE MAIN
Let $f(x)=x^2+9, g(x)=\frac{x}{x-9}$ and $a=\operatorname{fog}(10), b=\operatorname{gof}(3)$. If e and 1 denote the eccentricity and the length of the latus rectum...
JEE Main Mathematics Easy
View Solution
Q JEE-Main 2024
Let $\overrightarrow{\mathrm{a}}=2 \hat{\imath}-3 \hat{\jmath}+4 \hat{\mathrm{k}}, \overrightarrow{\mathrm{b}}=3 \hat{\imath}+4 \hat{\jmath}-5 \hat{\mathrm{k}}$, and a vector $\vec{c}$ be such that $...
JEE Main Mathematics Easy
View Solution
Q JEE MAINS 2024
In an LC oscillator, if values of inductance and capacitance become twice and eight times, respectively, then the resonant frequency...
JEE Main Physics Easy
View Solution
Q JEE MAIN
Let α,β be the roots of the equation $x^2+2 \sqrt{2} x-1=0$. . The quadratic equation, whose roots are $\alpha^4+\beta^4$ and...
JEE Main Mathematics Easy
View Solution
Q JEE MAINS 2024
Match List I with List II
JEE Main Physics Hard
View Solution
Q JEE MAIN
Let three vectors $\vec{a}=\alpha \hat{\imath}+4 \hat{\jmath}+2 \hat{k}, \vec{b}=5 \hat{\imath}+3 \hat{\jmath}+4 \hat{k}, \vec{c}=x \hat{\imath}+y \hat{\jmath}+z \hat{k}$ from a triangle such that...
JEE Main Mathematics Easy
View Solution
Q JEE MAINS 2024
The root mean square velocity of molecules of gas is (1) Proportional to square of temperature $\left(\mathrm{T}^2\right)$. (2) Inversely proportional...
JEE Main Physics Easy
View Solution
Q JEE-Main 2024
Let the first term of a series be $\mathrm{T}_1=6$ and its $\mathrm{r}^{\text {th }}$ term $T_r=3 T_{r-1}+6^r, r=2,3, \ldots, n$....
JEE Main Mathematics Hard
View Solution
Q JEE MAINS 2024
A parallel plate capacitor has plate area 40 cm2 and plates separation 2 mm. The space between the plates is...
JEE Main Physics Medium
View Solution
Q JEE-Main 2024
If the second, third and fourth terms in the expansion of $(x+y)^n$ are 135,30 and $\frac{10}{3}$, respectively, then $6\left(n^3+x^2+y\right)$ is...
JEE Main Mathematics Medium
View Solution
Q JEE MAINS 2024
A car travels a distance of 'x' with speed V1 and then same distance 'x' with speed V2 in the...
JEE Main Physics Easy
View Solution
Q JEE-Main 2024
Let $L_1, L_2$ be the lines passing through the point $P(0,1)$ and touching the parabola $9 x^2+12 x+18 y- 14=0$....
JEE Main Mathematics Hard
View Solution
Q JEE MAINS 2024
Assume that the earth is a solid sphere of uniform density and a tunnel is dug along its diameter throughout...
JEE Main Physics Medium
View Solution
Q JEE MAINS 2024
T is the time period of simple pendulum on the earth's surface. Its time period becomes x T when taken...
JEE Main Physics Medium
View Solution
Q JEE MAIN
The solution of the differential equation $\left(x^2+y^2\right) d x-5 x y d y=0, y(1)=0$, is :
JEE Main Mathematics Easy
View Solution
Q JEE-Main 2024
Let $\mathrm{x}_1, \mathrm{x}_2, \mathrm{x}_3, \mathrm{x}_4$ be the solution of the equation $4 x^4+8 x^3-17 x^2-12 x+9=0$ and $\left(4+x_1^2\right)\left(4+x_2^2\right)(4+ \left.x_3^2\right)\left(4+x_4^2\right)=\frac{125}{16} m$....
JEE Main Mathematics Easy
View Solution
Q JEEE MIANS 2024
A Carnot engine with efficiency 50% takes heat from a source at 600 K. In order to increase the efficiency...
JEE Main Physics Medium
View Solution
Q JEE MAIN
The frequency distribution of the age of students in a class of 40 students is given below. If the mean...
JEE Main Mathematics Medium
View Solution
Q JEE MAINS 2024
An object of mass 8 kg is hanging from one end of a uniform rod CD of mass 2 kg...
JEE Main Physics Hard
View Solution
Q JEE MAIN 2024
The value of $\lim _{x \rightarrow 0} 2\left(\frac{1-\cos x \sqrt{\cos 2 x} \sqrt[3]{\cos 3 x} \ldots \ldots 10}{x^2}\right)$ is
JEE Main Mathematics Medium
View Solution
Q JEE MAIN
The shortest distance between the line $\frac{x-3}{4}=\frac{y+7}{-11}=\frac{z-1}{5}$ and $\frac{x-5}{3}=\frac{y-9}{-6}=\frac{z+2}{1}$ is :
JEE Main Mathematics Easy
View Solution
Q JEE MAINS 2024
Electron beam used in an electron microscope, when accelerated by a voltage of 20 kV. has a de–Broglie wavelength of...
JEE Main Physics Easy
View Solution
Q JEE MAIN 2024
Let the area of the region enclosed by the curve $y=\min \{\sin x, \cos x\}$ and the $x$-axis between $x=-\pi$...
JEE Main Mathematics Easy
View Solution
Q JEE-Main 2024
Let $r_k=\frac{\int_0^1\left(1-x^7\right)^k d x}{\int_0^1\left(1-x^7\right)^{k+1} d x}, k \in N$. Then the value of $\sum_{\mathrm{k}=1}^{10} \frac{1}{7\left(\mathrm{r}_{\mathrm{k}}-1\right)}$ is equal to $\_\_\_\_$
JEE Main Mathematics Hard
View Solution
Q JEE MAIN 2024
Suppose $A B$ is a focal chord of the parabola $y^2=12 x$ of length $l$ and slope $m
JEE Main Mathematics Medium
View Solution
Q JEE MAIN
Let a circle passing through (2,0) have its centre at the point (h,k). Let $\left(x_c, y_c\right)$ be the point of...
JEE Main Mathematics Medium
View Solution
Q JEE MAIN 2024
The number of distinct real roots of the equation $|x||x+2|-5|x+1|-1=0$ is
JEE Main Mathematics Medium
View Solution
Q JEE MAIN 2024
If $\int_0^{\frac{\pi}{4}} \frac{\sin ^2 x}{1+\sin x \cos x} d x=\frac{1}{a} \log _e\left(\frac{a}{3}\right)+\frac{\pi}{b \sqrt{3}}$, where $a, \mathrm{~b} \in \mathrm{~N}$, then $\mathrm{a}+\mathrm{b}$...
JEE Main Mathematics Medium
View Solution
Q JEE-Main 2024
Let a conic C pass through the point (4,-2) and P(x,y),x≥3, be any point on C. Let the slope of...
JEE Main Mathematics Easy
View Solution
Q JEE MAIN 2024
Let $\vec{a}=9 \hat{\imath}-13 \hat{\jmath}+25 k, b=3 \hat{\imath}+7 \hat{\jmath}-13 k$ and $\overrightarrow{\mathrm{c}}=17 \hat{\imath}-2 \hat{\jmath}+\mathrm{k}$ be three given vectros. If $\overrightarrow{\mathrm{r}}$ is...
JEE Main Mathematics Easy
View Solution
Q JEE MAINS 2024
The mass defect in a particular reaction is 0.4 g . The amount of energy liberated is $...
JEE Main Physics Medium
View Solution
Q JEE MAIN 2024
Let $\vec{a}=\hat{i}-3 \hat{j}+7 k \hat{k}=2 \hat{i}-\hat{j}+k$ and $\vec{c}$ be a vector such that $(\vec{a}+2 \vec{b}) \times \vec{c}=3(\vec{c} \times \vec{a})$. If...
JEE Main Mathematics Easy
View Solution
Q JEE MAIN
Let $f(x)=a x^3+b x^2+e x+41$ be such that $f(1)=40, f^{\prime}(1)=2$ and $f^{\prime \prime}(1)=4$. Then $a^2+b^2+c^2$ is equal to :
JEE Main Mathematics Easy
View Solution
Q JEE MAIN 2024
Let ABC be a triangle of area $15 \sqrt{2}$ and the vectors $\overrightarrow{\mathrm{AB}}=\hat{\imath}+2 \hat{\jmath}-7 \hat{k}, \overrightarrow{\mathrm{BC}}=a \hat{\imath}+b \hat{\jmath}+c \hat{k}$ and...
JEE Main Mathematics Easy
View Solution
Q JEE MAINS 2024
A particle performs simple harmonic motion with amplitude A. Its speed is increased to three times at an instant when...
JEE Main Physics Easy
View Solution
Q JEE-Main 2024
Let αβγ=45;α,β,γ∈R. If x(α,1,2)+y(1,β,2) +z(2,3,γ)=(0,0,0) for some x,y,z∈R,xyz≠ 0, then 6α+4β+γ is equal to_____.
JEE Main Mathematics Medium
View Solution
Q JEE MAIN 2024
Let $a_1, a_2, a_3, \ldots$ be in an arithmetic progression of positive terms. Let $...
JEE Main Mathematics Medium
View Solution
Q JEE MAIN 2024
Let the length of the focal chord $P Q$ of the parabola $\mathrm{y}^2=12 \mathrm{x}$ be 15 units. If the distance...
JEE Main Mathematics Medium
View Solution
Q JEE MAIN
If the sum of series $\frac{1}{1 \cdot(1+d)}+\frac{1}{(1+d)(1+2 d)}+\cdots \ldots+\frac{1}{(1+9 d)(1+10 d)}$ is equal to 5 , then 50 d is...
JEE Main Mathematics Easy
View Solution
Q JEE MAINS 2024
The depth below the surface of sea to which a rubber ball be taken so as to decrease its volume...
JEE Main Physics Medium
View Solution
Q JEE MAIN 2024
Let $f$ be a differentiable function in the interval $(0, \infty)$ such that $f(1)=1$ and $...
JEE Main Mathematics Medium
View Solution
Q JEE-Main 2024
Let $\mathrm{f}:(-\infty, \infty)-\{0\} \rightarrow \mathrm{R}$ be a differentiable function such that $f^{\prime}(1)=\lim _{a \rightarrow \infty} a^2 f\left(\frac{1}{a}\right)$. Then $...
JEE Main Mathematics Hard
View Solution
Q JEE MAIN
If the domain of the function $f(x)=\sin ^{-1}\left(\frac{x-1}{2 x+3}\right)$ is $R-(\alpha, \beta)$ then $12 \alpha \beta$ is equal to :
JEE Main Mathematics Easy
View Solution
Q JEE MAINS 2024
A small square loop of wire of side $\ell$ is placed inside a large square loop of wire of side...
JEE Main Physics Medium
View Solution
Q JEE MAIN 2024
Let $A$ be a $3 \times 3$ matrix of non-negative real elements such that $...
JEE Main Mathematics Hard
View Solution
Q JEE MAIN 2024
For the function $f(x)=(\cos x)-x+1, x \in \mathbb{R}$, between the following two statements (S1) $f(x)=0$ for only one value of...
JEE Main Mathematics Medium
View Solution
Q JEE MAIN 2024
If $S=\{a \in R:|2 a-1|=3[a]+2\{a\}\}$, where $[t]$ denotes the greatest integer less than or equal to $t$ and $\{t\}$ represents...
JEE Main Mathematics Medium
View Solution
Q JEE MAIN 2024
Let a $$ \begin{aligned} t a=1+\frac{{ }^2 C_2}{3!}+\frac{{ }^3 C_2}{4!}+\frac{{ }^4 C_2}{5!}+\cdots, & \\ & \quad b=1+\frac{{ }^1 C_0+{ }^1...
JEE Main Mathematics Hard
View Solution
Q JEE MAINS 2024
Two waves of intensity ratio $1: 9$ cross each other at a point. The resultant intensities at the point, when...
JEE Main Physics Medium
View Solution
Q JEE MAIN 2024
Let $\alpha=\sum_{\mathrm{r}=0}^{\mathrm{n}}\left(4 \mathrm{r}^2+2 \mathrm{r}+1\right)^{\mathrm{n}} \mathrm{C}_{\mathrm{r}}$ and $\beta=\left(\sum_{r=0}^n \frac{{ }^n C_r}{r+1}\right)+\frac{1}{n+1}$. If $140
JEE Main Mathematics Hard
View Solution
Q JEE MAIN
Let $\overrightarrow{\mathrm{OA}}=2 \overrightarrow{\mathrm{a}}, \overrightarrow{\mathrm{OB}}=6 \overrightarrow{\mathrm{a}}+5 \overrightarrow{\mathrm{~b}}$ and $\overrightarrow{\mathrm{OC}}=3 \overrightarrow{\mathrm{~b}}$, where O is the origin. If the area of the parallelogram...
JEE Main Mathematics Easy
View Solution
Q JEE MAINS 2024
A body starts falling freely from height H hits an inclined plane in its path at height h. As a...
JEE Main Physics Hard
View Solution
Q JEE MAIN 2024
If the range of $f(\theta)=\frac{\sin ^4 \theta+3 \cos ^2 \theta}{\sin ^4 \theta+\cos ^2 \theta}, \theta \in \mathbb{R}$ is $[\alpha, \beta]$,...
JEE Main Mathematics Easy
View Solution
Q JEE MAIN 2024
The number of ways of getting a sum 16 on throwing a dice four times is
JEE Main Mathematics Medium
View Solution
Q JEE MAINS 2024
A solid circular disc of mass 50" " kg rolls along a horizontal floor so that its center of mass...
JEE Main Physics Easy
View Solution
Q JEE MAIN
Let $|\cos \theta \cos (60-\theta) \cos (60-\theta)| \leq \frac{1}{8}, \theta \in[0,2 \pi]$ Then, the sum of all $\theta \in[0,2 \pi]$,...
JEE Main Mathematics Easy
View Solution
Q JEE MAIN 2024
Let the positive integers be written in the form : If the k^"th " row contains exactly k numbers for...
JEE Main Mathematics Medium
View Solution
Q JEE MAIN 2024
Let $A$ be a square matrix of order 2 such that $|A|=2$ and the sum of its diagonal elements is...
JEE Main Mathematics Medium
View Solution
Q JEE-Main 2024
Let $\mathrm{y}=\mathrm{y}(\mathrm{x})$ be the solution of the differential equation $...
JEE Main Mathematics Medium
View Solution
Q JEE MAIN 2024
The area of the region enclosed by the parabolas $y=x^2-5 x$ and $y=7 x-x^2$ is
JEE Main Mathematics Easy
View Solution
Q JEE MAINS 2024
Equivalent resistance of the following network is Ω.
JEE Main Physics Medium
View Solution
Q JEE MAIN 2024
If the shortest distance between the lines $\frac{x+2}{2}=\frac{y+3}{3}=\frac{z-5}{4}$ and $\frac{x-3}{1}=\frac{y-2}{-3}=\frac{z+4}{2}$ is $\frac{38}{3 \sqrt{5}} \mathrm{k}$ and $\int_0^{\mathrm{k}}\left[\mathrm{x}^2\right] \mathrm{dx}=\alpha- \sqrt{\alpha}$, where $[\mathrm{x}]$...
JEE Main Mathematics Medium
View Solution
Q JEE MAIN
A variable line L passes through the point (3,5) and intersects the positive coordinate axes at the points A and...
JEE Main Mathematics Medium
View Solution
Q JEE MAIN 2024
The number of 3-digit numbers, formed using the digits 2, 3, 4, 5 and 7, when the repetition of digits...
JEE Main Mathematics Medium
View Solution
Q JEE MAIN
Let $\int \frac{2-\tan x}{3+\tan x} d x=\frac{1}{2}\left(\alpha x+\log _e|\beta \sin x+\gamma \cos x|\right)+C$, where C is the constant of integration....
JEE Main Mathematics Medium
View Solution
Q JEE MAINS 2024
A parallel plate capacitor with plate separation 5 mm is charged up by a battery. It is found that on...
JEE Main Physics Medium
View Solution
Q JEE-Main 2024
Let $\mathrm{y}=\mathrm{y}(\mathrm{x})$ be the solution of the differential equation $\left(1+x^2\right) \frac{d y}{d x}+y=e^{\tan ^{-1} x}, \mathrm{y}(1)=0$. Then $\mathrm{y}(0)$ is $\_\_\_\_$...
JEE Main Mathematics Easy
View Solution
Q JEE MAIN 2024
Three balls are drawn at random from a bag containing 5 blue and 4 yellow balls. Let the random variables...
JEE Main Mathematics Easy
View Solution
Q JEE MAIN 2024
Let the solution $y=y(x)$ of the differential equation $\frac{d y}{d x}-y=1+4 \sin x$ satisfy $y(\pi)=1$. Then $y\left(\frac{\pi}{2}\right)+$ 10 is equal...
JEE Main Mathematics Easy
View Solution
Q JEE MAIN 2024
If the constant term in the expansion of (1+2x-3x^3 ) (3/2 x^2-1/3x)^9 is p, then 108p is equal to
JEE Main Mathematics Easy
View Solution
Q JEE MAINS 2024
An electron moves through a uniform magnetic field B ⃗=B_0 i ˆ+2B_0 j ˆT. At a particular instant of time,...
JEE Main Physics Medium
View Solution
Q JEE MAIN 2024
If the orthocentre of the triangle formed by the lines 2x+3y-1=0,x+2y-1=0 and ax + by -1=0, is the centroid of...
JEE Main Mathematics Medium
View Solution
Q JEE MAIN 2024
In a survey of 220 students of a higher secondary school, it was found that at least 125 and at...
JEE Main Mathematics Hard
View Solution
Q JEE MAIN
The coefficient of $x^{70}$ in $x^2(1+x)^{98}+x^3(1+x)^{97}+\mathrm{x}^4(1+\mathrm{x})^{96}++x^{54}(1+x)^{46}$ is ${ }^{99} \mathrm{C}_{\mathrm{p}}-{ }^{46} \mathrm{C}_{\mathrm{q}}$. Then a possible value to p+q is :
JEE Main Mathematics Medium
View Solution
Q JEE MAINS 2024
When a metal surface is illuminated by light of wavelength λ, the stopping potential is 8" " V. When the...
JEE Main Physics Medium
View Solution
Q JEE MAIN 2024
From a lot of 10 items, which include 3 defective items, a sample of 5 items is drawn at random....
JEE Main Mathematics Easy
View Solution
Q JEE MAIN 2024
Let $A=\left[\begin{array}{cc}2 & -1 \\ 1 & 1\end{array}\right]$. If the sum of the diagonal elements of $A^{13}$ is $3^n$, then...
JEE Main Mathematics Medium
View Solution
Q JEE-Main
A circle in inscribed in an equilateral triangle of side of length 12. If the area and perimeter of any...
JEE Main Mathematics Easy
View Solution
Q JEE MAIN 2024
If $\lim _{x \rightarrow 1} \frac{(5 x+1)^{1 / 3}-(x+5)^{1 / 3}}{(2 x+3)^{1 / 2}-(x+4)^{1 / 2}}=\frac{m \sqrt{5}}{n(2 n)^{2 / 3}}$,...
JEE Main Mathematics Easy
View Solution
Q JEE MAIN
Let $\lambda, \mu \in R$. If the system of equations $3 x+5 y+\lambda z=3$ 7x+11y-9z=2 $97 x+155 y-189 z=\mu$ has...
JEE Main Mathematics Easy
View Solution
Q JEE MAIN 2024
If the line (2-x)/3=(3y-2)/(4λ+1)=4-z makes a right angle with the line (x+3)/3μ=(1-2y)/6=(5-z)/7, then 4λ+9μ is equal to :
JEE Main Mathematics Easy
View Solution
Q JEE MAINS 2024
An artillery piece of mass M_1 fires a shell of mass M_2 horizontally. Instantaneously after the firing, the ratio of...
JEE Main Physics Easy
View Solution
Q JEE MAIN 2024
Let $\mathrm{H}: \frac{-\mathrm{x}^2}{\mathrm{a}^2}+\frac{\mathrm{y}^2}{\mathrm{~b}^2}=1$ be the hyperbola, whose eccentricity is $\sqrt{3}$ and the length of the latus rectum is $4 \sqrt{3}$....
JEE Main Mathematics Medium
View Solution
Q JEE MAIN 2024
Let $\alpha \in(0, \infty)$ and $...
JEE Main Mathematics Hard
View Solution
Q JEE MAIN
A ray of light coming from the point P(1,2) gets reflected from the point Q on the x-axis and then...
JEE Main Mathematics Medium
View Solution
Q JEE MAIN 2024
Let $y=y(x)$ be the solution of the differential equation $\left(1+y^2\right) e^{\tan x} d x+\cos ^2 x\left(1+e^{2 \tan x}\right) d y=0$,...
JEE Main Mathematics Easy
View Solution
Q JEE MAIN 2024
The value of ∫_(-π)^π (2y(1+sin⁡y))/(1+〖cos〗^2⁡y) dy is :
JEE Main Mathematics Easy
View Solution
Q JEE MAINS 2024
Two conductors have the same resistances at but their temperature coefficients of resistance are and . The respective temperature coefficients...
JEE Main Physics Hard
View Solution
Q JEE MAIN 2024
Let $f(\mathrm{x})=\mathrm{x}^5+2 \mathrm{e}^{\mathrm{x} / 4}$ for all $\mathrm{x} \in \mathrm{R}$. Consider a function $g(x)$ such that (gof) $(x)=x$ for all...
JEE Main Mathematics Medium
View Solution
Q JEE MAIN 2024
The set of all $\alpha$, for which the vector $\vec{a}=\alpha t \hat{\imath}+6 \hat{\jmath}-3 \hat{k}$ and $...
JEE Main Mathematics Easy
View Solution
Q JEE MAINS 2024
A coin is placed on a disc. The coefficient of friction between the coin and the disc is μ. If...
JEE Main Physics Medium
View Solution
Q JEE MAIN 2024
If A(1,-1,2),B(5,7,-6),C(3,4,-10) and D(-1,-4,-2) are the vertices of a quadrilateral ABCD, then its area is
JEE Main Mathematics Easy
View Solution
Q JEE MAIN
The solution curve, of the differential equation $2 y \frac{d y}{d x}+3=5 \frac{d y}{d x}$ , passing through the point...
JEE Main Mathematics Easy
View Solution
Q JEE MAIN 2024
If the domain of the function $\sin ^{-1}\left(\frac{3 x-22}{2 x-19}\right)+\log _e\left(\frac{3 x^2-8 x+5}{x^2-3 x-10}\right)$ is $(\alpha, \beta]$, then $...
JEE Main Mathematics Easy
View Solution
Q JEE MAINS 2024
A small steel ball is dropped into a long cylinder containing glycerine. Which one of the following is the correct...
JEE Main Physics Easy
View Solution
Q JEE MAIN 2024
Let f(x)=x^5+2x^3+3x+1,x∈R, and g(x) be a function such that g(f(x))=x for all x∈R. Then (g(7))/(g^' (7)) is equal to :
JEE Main Mathematics Medium
View Solution
Q JEE-Main 2024
Let the relations $R_1$ and $R_2$ on the set X={1,2,3,…,20} be given by $R_1$={(x,y):2x-3y=2} and $R_2$={(x,y):-5x+4y=0}. If M and N...
JEE Main Mathematics Hard
View Solution
Q JEE MAIN
The parabola $y^2=4 x$ divides the area of the circle $x^2+y^2=5$ in two parts. The area of the smaller part...
JEE Main Mathematics Easy
View Solution
Q JEE MAINS 2024
The fundamental frequency of a closed organ pipe is equal to the first overtone frequency of an open organ pipe....
JEE Main Physics Medium
View Solution
Q JEE MAIN 2024
A square is inscribed in the circle $x^2+y^2-10 x-6 y+30=0$. One side of this square is parallel to $y= x+3$....
JEE Main Mathematics Medium
View Solution
Q JEE MAIN 2024
If the set $\mathrm{R}=\{(\mathrm{a}, \mathrm{b}) ; \mathrm{a}+5 \mathrm{~b}=42, \mathrm{a}, \mathrm{b} \in \mathbb{N}\}$ has $m$ elements and $\sum_{n=1}^m\left(1+i^{n!}\right)=x+i y$, where $\mathrm{I}=\sqrt{-1}$,...
JEE Main Mathematics Medium
View Solution
Q JEE MAIN 2024
If 1/(√1+√2)+1/(√2+√3)+⋯+1/(√99+√100)=m and 1/(1⋅2)+1/(2⋅3)+⋯+1/(99⋅100)=n, then the point (m,n) lies on the line
JEE Main Mathematics Easy
View Solution
Q JEE-Main 2024
Let, $\alpha, \beta$ be the distinct roots of the equation $\mathrm{x}^2-\left(\mathrm{t}^2-5 \mathrm{t}+6\right) \mathrm{x}+1=0, \mathrm{t} \in \mathrm{R}$ and $\mathrm{a}_{\mathrm{n}}=\alpha^{\mathrm{n}}+\beta^{\mathrm{n}}$ Then the...
JEE Main Mathematics Medium
View Solution
Q JEE MAIN 2024
Let $z$ be a complex number such that $|z+2|=1$ and $\operatorname{lm}\left(\frac{z+1}{z+2}\right)=\frac{1}{5}$. Then the value of $|\operatorname{Re}(\overline{z+2})|$ is :
JEE Main Mathematics Medium
View Solution
Q JEE MAIN 2024
Let the point, on the line passing through the points $\mathrm{P}(1,-2,3)$ and $\mathrm{Q}(5,-4,7)$, farther from the origin and at a...
JEE Main Mathematics Easy
View Solution
Q JEE MAIN
Let the line L intersect the lines x-2=-y=z-1,2(x+1)=2(y-1)=z+1 and be parallel to the line $\frac{x-2}{3}=\frac{y-1}{1}=\frac{z-2}{2}$. Then which of the following...
JEE Main Mathematics Medium
View Solution
Q JEE MAINS 2024
A coil is placed perpendicular to a magnetic field of 5000" " T. When the field is changed to 3000"...
JEE Main Physics Medium
View Solution
Q JEE MAIN 2024
Suppose θ∈[0,π/4] is a solution of 4cos⁡θ-3sin⁡θ=1. Then cos⁡θ is equal to :
JEE Main Mathematics Easy
View Solution
Q JEE-Main 2024
A company has two plants A and B to manufacture motorcycles. 60% motorcycles are manufactured at plant A and the...
JEE Main Mathematics Easy
View Solution
Q JEE MAIN 2024
Let $[t]$ be the greatest integer less than or equal to t. Let $A$ be the set of al prime...
JEE Main Mathematics Hard
View Solution
Q JEE MAINS 2024
In the given arrangement of a doubly inclined plane two blocks of masses M and m are placed. The blocks...
JEE Main Physics Medium
View Solution
Q JEE MAIN 2024
Let $\alpha$ and $\beta$ be the sum and the product of all the non-zero solutions of the equation $...
JEE Main Mathematics Easy
View Solution
Q JEE MAIN 2024
Consider the following two statements Statement I: For any two non-zero complex numbers $z_1, z_2\left(\left|z_1\right|+\left|z_2\right|\right)\left|\frac{z_1}{\left|z_1\right|}+\frac{z_2}{\left|z_2\right|}\right| \leq 2\left(\left|z_1\right|+\left|z_2\right|\right)$ and Statement II:...
JEE Main Mathematics Hard
View Solution
Q JEE MAIN 2024
The equations of two sides AB and AC of a triangle $A B C$ are $4 x+y=14$ and $...
JEE Main Mathematics Medium
View Solution
Q JEE MAIN 2024
If 2 and 6 are the roots of the equation $\mathrm{ax}^2+\mathrm{bx}+1=0$, then the quadratic equation, whose roots are $\frac{1}{2 a+b}$...
JEE Main Mathematics Easy
View Solution
Q JEE-Main 2024
The shortest distance between the lines $\frac{x-3}{2}=\frac{y+15}{-7}=\frac{z-9}{5}$ and $\frac{x+1}{2}=\frac{y-1}{1}=\frac{z-9}{-3}$ is $\_\_\_\_$
JEE Main Mathematics Easy
View Solution
Q JEE MAINS 2024
Two charges q and 3q are separated by a distance ' $r$ ' in air. At a distance $x$ from...
JEE Main Physics Easy
View Solution
Q JEE MAIN
For three vectors $\vec{A}=(-x \hat{\imath}-6 \hat{\jmath}-2 \hat{k}), \vec{B}=(-\hat{\imath}+4 \hat{\jmath}+3 \hat{k})$ and $\vec{C}=(-8 \hat{\imath}-\hat{\jmath}+3 \hat{k})$, if $\overrightarrow{\mathrm{A}} \cdot(\overrightarrow{\mathrm{B}} \times \overrightarrow{\mathrm{C}})=0$, them...
JEE Main Physics Medium
View Solution
Q JEE MAIN 2024
Let $I(x)=\int \frac{6}{\sin ^2 x(1-\cot x)^2} d x$. If $I(0)=3$, then $I\left(\frac{\pi}{12}\right)$ is equal to :
JEE Main Mathematics Easy
View Solution
Q JEE MAIN
A particle is doing simple harmonic motion of amplitude 0.06 m and time period 3.14 s. The maximum velocity of...
JEE Main Physics Medium
View Solution
Q JEE MAIN 2024
Let a,b∈R. Let the mean and the variance of 6 observations -3,4,7,-6,a,b be 2 and 23 , respectively. The mean...
JEE Main Mathematics Medium
View Solution
Q JEE MAINS 2024
A force is represented by $F=a x^2+b t^{1 / 2}$ Where $\mathrm{x}=$ distance and $\mathrm{t}=$ time. The dimensions of $...
JEE Main Physics Medium
View Solution
Q JEE MAIN
A circular coil having 200 turns, $2.5 \times 10^{-4} \mathrm{~m}^2$ area and carrying 100$\mu \mathrm{A}$ current is placed in a...
JEE Main Physics Hard
View Solution
Q JEE-Main 2024
For α,β∈R and a natural number n, let
JEE Main Mathematics Easy
View Solution
Q JEE MAIN 2024
Let the line 2x+3y-k=0,k>0, intersect the x-axis and y-axis at the points A and B, respectively. If the equation of...
JEE Main Mathematics Medium
View Solution
Q JEE MAIN 2024
Let the first three terms $2, p$ and $q$, with $q \neq 2$, of a G.P. be respectively the $...
JEE Main Mathematics Easy
View Solution
Q JEE MAINS 2024
In a plane EM wave, the electric field oscillates sinusoidally at a frequency of $5 \times 10^{10} \mathrm{~Hz}$ and an...
JEE Main Physics Medium
View Solution
Q JEE MAIN
Radius of a certain orbit of hydrogen atom is 8.48Å. If energy of electron in this orbit is E/x, then...
JEE Main Physics Medium
View Solution
Q JEE MAIN 2024
Let a circle C of radius 1 and closer to the origin be such that the lines passing through the...
JEE Main Mathematics Easy
View Solution
Q JEE MAIN 2024
Let a unit vector which makes an angle of $60^{\circ}$ with $2 \hat{\imath}+2 \hat{\jmath}-\hat{k}$ and an angle of $45^{\circ}$ with...
JEE Main Mathematics Easy
View Solution
Q JEE-Main 2024
Let C be the circle of minimum area touching the parabola $y=6-x^2$ and the lines y=√3|x|. Then, which one of...
JEE Main Mathematics Medium
View Solution
Q JEE MAINS 2024
If the percentage errors in measuring the length and the diameter of a wire are 0.1% each. The percentage error...
JEE Main Physics Easy
View Solution
Q JEE MAIN 2024
Let the sum of two positive integers be 24 . If the probability, that their product is not less than...
JEE Main Mathematics Medium
View Solution
Q JEE MAIINS 2024
The given figure represents two isobaric processes for the same mass of an ideal gas, then
JEE Main Physics Medium
View Solution
Q JEE MAIN
A wire of resistance R and radius r is stretched till its radius became r/2. If new resistance of the...
JEE Main Physics Medium
View Solution
Q JEE MAIN 2024
The sum of all rational terms in the expansion of $\left(2^{\frac{1}{5}}+5^{\frac{1}{3}}\right)^{15}$ is equal to :
JEE Main Mathematics Easy
View Solution
Q JEE-Main 2024
Let A={n∈[100,700]∩N:n is neither a multiple of 3 nor a multiple of 4}. Then the number of elements in A...
JEE Main Mathematics Medium
View Solution
Q JEE MAIN
The refractive index of prism is $\mu=\sqrt{3}$ and the ratio of the angle of minimum deviation to the angle of...
JEE Main Physics Hard
View Solution
Q JEE MAIN 2024
If the shortest distance between the lines L_1:r ⃗=(2+λ)i ˆ+(1-3λ)j ˆ+(3+4λ)k ˆ,λ∈R L_2:r ⃗=2(1+μ)i ˆ+3(1+μ)j ˆ+(5+μ)k ˆ,μ∈R is m/√n, where...
JEE Main Mathematics Easy
View Solution
Q JEE MAIN 2024
Let $A$ and $B$ be two square matrices of order 3 such that $|A|=3$ and $|B|=2$. Then $...
JEE Main Mathematics Easy
View Solution
Q JEE MAINS 2024
Four identical particles of mass $m$ are kept at the four corners of a square. If the gravitational force exerted...
JEE Main Physics Hard
View Solution
Q JEE MAIN
When a dc voltage of 100V is applied to an inductor, a de current of 5A flows through it. When...
JEE Main Physics Medium
View Solution
Q JEE MAIN 2024
Let $A=\left[\begin{array}{lll}2 & a & 0 \\ 1 & 3 & 1 \\ 0 & 5 & b\end{array}\right]$. If $...
JEE Main Mathematics Hard
View Solution
Q JEE-Main 2024
The function $f(x)=\frac{x^2+2 x-15}{x^2-4 x+9}, x \in R$ is $\_\_\_\_$ .
JEE Main Mathematics Easy
View Solution
Q JEE MAINS 2024
Four identical particles of mass $m$ are kept at the four corners of a square. If the gravitational force exerted...
JEE Main Physics Easy
View Solution
Q JEE MAIN 2024
Let λ,μ∈R. If the system of equations 3x+5y+λz=3 7x+11y-9z=2 97x+155y-189z=μ has infinitely many solutions, then μ+2λ is equal to :
JEE Main Mathematics Medium
View Solution
Q JEE MAIN
A big drop is formed by coalescing 1000 small droplets of water. The ratio of surface energy of 1000 droplets...
JEE Main Physics Medium
View Solution
Q JEE MAIN 2024
Let $f(x)=4 \cos ^3 x+3 \sqrt{3} \cos ^2 x-10$. The number of points of local maxima of $f$ in interval...
JEE Main Mathematics Medium
View Solution
Q JEE MAIN 2024
Let $f(x)$ be a positive function such that the area bounded by $y=f(x), y=0$ from $x=0$ to $x=a>0$ is $...
JEE Main Mathematics Medium
View Solution
Q JEE MAIN 2024
The integral $\int_0^{\frac{\pi}{4}} \frac{136 \sin x}{3 \sin x+5 \cos x} d x$ is equal to :
JEE Main Mathematics Easy
View Solution
Q JEE MAIN
Three infinitely long charged thin sheets are placed as shown in figure. The magnitude of electric field at the point...
JEE Main Physics Medium
View Solution
Q JEE-Main 2024
The mean and standard deviation of 20 observations are found to be 10 and 2, respectively. On respectively, it was...
JEE Main Mathematics Medium
View Solution
Q JEE MAINS 2024
If the wavelength of the first member of Lyman series of hydrogen is λ. The wavelength of the second member...
JEE Main Physics Easy
View Solution
Q JEE MAIN
If the radius of earth is reduced to three-fourth of its present value without change in its mass then value...
JEE Main Physics Medium
View Solution
Q JEE MAIN 2024
The number of critical points of the function $f(x)=(x-2)^{2 / 3}(2 x+1)$ is:
JEE Main Mathematics Easy
View Solution
Q JEE-Main 2024
$\int_0^{\pi / 4} \frac{\cos ^2 x \sin ^2 x}{\left(\cos ^3 x+\sin ^3 x\right)^2} d x$ is equal to $\_\_\_\_$
JEE Main Mathematics Easy
View Solution
Q JEE MAIN 2024
If the function $f(x)=\frac{\sin 3 x+\alpha \sin x-\beta \cos 3 x}{x^3}, x \in R$, is continuous at $x=0$, then $f(0)$...
JEE Main Mathematics Easy
View Solution
Q JEE MAIN
In photoelectric experiment energy of 2.48eV irradiates a photo sensitive material. The stopping potential was measured to be 0.5 V....
JEE Main Physics Medium
View Solution
Q JEE MAINS 2024
A rigid wire consists of a semicircular portion of radius R and two straight sections. The wire is partially immerged...
JEE Main Physics Easy
View Solution
Q JEE MAIN 2024
Let $\mathrm{P}(\mathrm{x}, \mathrm{y}, \mathrm{z})$ be a point in the first octant, whose projection in the xy -plane is the point...
JEE Main Mathematics Medium
View Solution
Q JEE MAIN
A small ball of mass m and density $\rho$ is dropped in a viscous liquid of density $\rho_0$. After sometime,...
JEE Main Physics Medium
View Solution
Q JEE MAIN 2024
Let $A=\{1,3,7,9,11\}$ and $B=\{2,4,5,7,8,10,12\}$. Then the total number of one-one maps $f: A \rightarrow B$, such that $f(1)+f(3)=14$, is :
JEE Main Mathematics Easy
View Solution
Q JEE-Main 2024
If $\mathrm{A}(3,1,-1), \mathrm{B}\left(\frac{5}{3}, \frac{7}{3}, \frac{1}{3}\right), \mathrm{C}(2,2,1)$ and $\mathrm{D}\left(\frac{10}{3}, \frac{2}{3}, \frac{-1}{3}\right)$ are the vertices of a quadrilateral ABCD , then its...
JEE Main Mathematics Easy
View Solution
Q JEE MAIN 2024
Let the circles $C_1:(x-\alpha)^2+(y-\beta)^2=r_1^2$ and $C_2:(x-8)^2+\left(y-\frac{15}{2}\right)^2=r_2^2$ touch each other externally at the point $(6,6)$. If the point $(6,6)$ divides the...
JEE Main Mathematics Medium
View Solution
Q JEE MAINS 2024
The refractive index of a prism with apex angle A is cot⁡A/2. The angle of minimum deviation is :
JEE Main Physics Easy
View Solution
Q JEE MAIN
An element $\Delta l=\Delta x \hat{i}$ is placed at the origin and carries a large current I=10 A. The magnetic...
JEE Main Physics Medium
View Solution
Q JEE MAIN 2024
The sum of all the solutions of the equation $(8)^{2 x}-16 \cdot(8)^x+48=0$ is is:
JEE Main Mathematics Easy
View Solution
Q JEE MAIN 2024N
If the system of equations has infinitely many solutions, then $\lambda^4-\mu$ is equal to:
JEE Main Mathematics Easy
View Solution
Q JEE MAINS 2024
$$ \text { The relation between time ' } t \text { ' and distance ' } x \text {...
JEE Main Physics Hard
View Solution
Q JEE MAIN
A train starting from rest first accelerates uniformly up to a speed of 80 km/h for time t, then it...
JEE Main Physics Medium
View Solution
Q JEE MAIN 2024
The value of $k \in \mathbb{N}$ for which the integral $I_n=\int_0^1\left(1-x^k\right)^n d x, n \in \mathbb{N}$, satisfies $147 I_{20}=148 I_{21}$...
JEE Main Mathematics Medium
View Solution
Q JEE-Main 2024
If $f(x)=\left\{\begin{array}{cc}x^3 \sin \left(\frac{1}{x}\right), & x \neq 0 \\ 0, & x=0\end{array}\right.$, then
JEE Main Mathematics Medium
View Solution
Q JEE MAIN
Four particles A, B, C, D of mass$\frac{m}{2}, m, 2 m, 4 m$, have same momentum, respectively. The particle with...
JEE Main Physics Easy
View Solution
Q JEE MAIN 2024
For the function f(x)=sin⁡x+3x-2x2+x, where x0,2, consider the following two statements : (I) f is increasing in 0,2. (II) f'...
JEE Main Mathematics Hard
View Solution
Q JEE MAIN 2024
There are 5 points $\mathrm{P}_1, \mathrm{P}_2, \mathrm{P}_3, \mathrm{P}_4, \mathrm{P}_5$ on the side AB , excluding A and B , of...
JEE Main Mathematics Easy
View Solution
Q JEE MAIN
Let $\vec{a}, \vec{b}$ and $\overrightarrow{\mathrm{c}}$ be three non-zero vectors such that $\vec{b}$ and $\vec{c}$ are non-collinear if $\vec{a}+5 \vec{b}$is collinear...
JEE Main Mathematics Medium
View Solution
Q JEE MAIN 2024
If the system of equations $$ \begin{aligned} & x+(\sqrt{2} \sin \alpha) y+(\sqrt{2} \cos \alpha) z=0 \\ & \mathrm{x}+(\cos \alpha) \mathrm{y}+(\sin...
JEE Main Mathematics Easy
View Solution
Q JEE MAIN 2024
If y=y(x) is the solution of the differential equation dydx+2y=sin⁡(2x),y(0)=34, then y8 is equal to :
JEE Main Mathematics Easy
View Solution
Q JEE MAIN 2024
One of the points of intersection of the curves $y=1+3 x-2 x^2$ and $y=\frac{1}{x}$ is $\left(\frac{1}{2}, 2\right)$. Let the area...
JEE Main Mathematics Easy
View Solution
Q JEE MAIN
The pressure and volume of an ideal gas are related as (Constant). The work done when the gas is taken...
JEE Main Physics Medium
View Solution
Q JEE MAIN
Two charged conducting spheres of radii a and b are connected to each other by a conducting wire. The ratio...
JEE Main Physics Easy
View Solution
Q JEE MAIN 2024
Let the sum of the maximum and the minimum values of the function $f(x)=\frac{2 x^2-3 x+8}{2 x^2+3 x+8}$ be $\frac{m}{n}$,...
JEE Main Mathematics Easy
View Solution
Q JEE MAIN 2024
If the solution $y=y(x)$ of the differential equation $\left(x^4+2 x^3+3 x^2+2 x+2\right) d y-\left(2 x^2+2 x+3\right) d x=0$ satisfies $y(-1)=-\frac{\pi}{4}$,...
JEE Main Mathematics Hard
View Solution
Q JEE MAIN
The output Y of following circuit for given inputs is :
JEE Main Physics Medium
View Solution
Q
Let two straight lines drawn from the origin O intersect the line 3x+4y=12 at the points P and Q such...
JEE Main Mathematics Medium
View Solution
Q JEE MAIN 2024
Let a rectangle ABCD of sides 2 and 4 be inscribed in another rectangle PQRS such that the vertices of...
JEE Main Mathematics Hard
View Solution
Q JEE MAIN 2024
The vertices of a triangle are A(-1,3),B(-2,2) and C(3,-1). A new triangle is formed by shifting the sides of the...
JEE Main Mathematics Hard
View Solution
Q JEE MAIN
A LCR circuit is at resonance for a capacitor C, inductance L and resistance R. Now the value of resistance...
JEE Main Physics Medium
View Solution
Q JEE MAIN 2024
A capacitor is made of a flat plate of area A and a second plate having a stair-like structure as...
JEE Main Physics Medium
View Solution
Q JEE MAIN 2024
A solid sphere and a hollow cylinder roll up without slipping on same inclined plane with same initial speed v...
JEE Main Physics Medium
View Solution
Q JEE MAIN 2024
Three urns A, B and C contain 7 red, 5 black; 5 red, 7 black and 6 red, 6 black...
JEE Main Mathematics Easy
View Solution
Q JEE MAIN 2024
Let d be the distance of the point of intersection of the lines x+63=y2=z+11 and x-74=y-93=z-42 from the point (7,8,9)....
JEE Main Mathematics Hard
View Solution
Q JEE MAIN
Two planets A and B having masses m1 and m2 move around the sun in circular orbits of $r_1$ and...
JEE Main Physics Medium
View Solution
Q JEE MAIN 2024
A sphere of relative density σ and diameter D has concentric cavity of diameter d. The ratio of D/d, if...
JEE Main Physics Hard
View Solution
Q JEE MAIN 2024
Let $f: \mathrm{R} \rightarrow \mathrm{R}$ be a function given by $$ f(x)=\left\{\begin{array}{cl} \frac{1-\cos 2 x}{x^2} & , x0 \end{array}\right. $$...
JEE Main Mathematics Easy
View Solution
Q JEE MAIN 2024
A light emitting diode (LED) is fabricated using GaAs semiconducting material whose band gap is 1.42eV. The wavelength of light...
JEE Main Physics Easy
View Solution
Q JEE MAIN 2024
Given below are two statements: Statement (I): When an object is placed at the centre of curvature of a concave...
JEE Main Physics Medium
View Solution
Q JEE MAIN
Two different adiabatic paths for the same gas intersect two isothermal curves as shown in P-V diagram. The relation between...
JEE Main Physics Hard
View Solution
Q JEE MAIN
A light string passing over a smooth light pulley connects two blocks of masses $\mathrm{m}_1$ and $\mathrm{m}_2$ (where $\left.m_2>m_1\right)$. If...
JEE Main Physics Easy
View Solution
Q JEE MAIN 2024
A plane EM wave is propagating along x direction. It has a wavelength of 4 mm. If electric field is...
JEE Main Physics Medium
View Solution
Q JEE MAIN
Young's modulus is determined by the equation given by $\mathrm{Y}=49000 \frac{\mathrm{~m}}{\ell} \frac{\text { dyne }}{\mathrm{cm}^2}$ where M is the mass...
JEE Main Physics Medium
View Solution
Q JEE MAIN
A sample contains mixture of helium and oxygen gas. The ratio of root mean square speed of helium and oxygen...
JEE Main Physics Medium
View Solution
Q JEE MAIN 2024
A particle moving in a straight line covers half the distance with speed 6 m/s. The other half is covered...
JEE Main Physics Medium
View Solution
Q JEE MAIN
The correct truth table for the following logic circuit is :
JEE Main Physics Medium
View Solution
Q JEE MAIN
A clock has 75" " cm,60" " cm long second hand and minute hand respectively. In 30 minutes duration the...
JEE Main Physics Medium
View Solution
Q JEE MAIN 2024
Let $\alpha=1^2+4^2+8^2+13^2+19^2+26^2+\cdots \ldots$ upto 10 terms and $\beta=\sum_{n=1}^{10} n^4$. If $4 \alpha-\beta=55 k+40$, then k is equal to
JEE Main Mathematics Easy
View Solution
Q JEE MAIN
Paramagnetic substances: A. align themselves along the directions of external magnetic field. B. attract strongly towards external magnetic field. C....
JEE Main Physics Easy
View Solution
Q JEE MAIN 2024
If the function $f(x)=\left\{\begin{array}{cl}\frac{1}{|x|} & , \\ a x^2+2 b, & |x| \geq 2\end{array}\right.$ is differentiable on R , then...
JEE Main Mathematics Easy
View Solution
Q JEE MAIN 2024
Let $f: \mathbb{R} \rightarrow \mathbb{R}$ be a function defined by $$ \begin{aligned} & f(x)=\frac{4^x}{4^x+2} \text { and } \\ &...
JEE Main Mathematics Easy
View Solution
Q JEE MAIN
Given below are two statements : Statement I : In an LCR series circuit, current is maximum at resonance. Statement...
JEE Main Physics Hard
View Solution
Q JEE MAIN
Binding energy of a certain nucleus is $18 \times 10^8$ J. How much is the difference between total mass of...
JEE Main Physics Medium
View Solution
Q JEE MAIN 2024
Let $\alpha, \beta \in N$ be roots of equation $x^2-70 x+\lambda=0$, where $\frac{\lambda}{2}, \frac{\lambda}{3} \notin \mathrm{~N}$. If $\lambda$ assumes the...
JEE Main Mathematics Easy
View Solution
Q JEE MAIN
Match List I with List II Choose the correct answer from the options given below :
JEE Main Physics Hard
View Solution
Q JEE-Main 2024
Let $A=\{1,2,3, \ldots 20\}$. Let $R_1$ and $R_2$ two relation on A such that $\mathrm{R}_1=\{(\mathrm{a}, \mathrm{b}): \mathrm{b}$ is divisible by...
JEE Main Mathematics Medium
View Solution
Q JEE MAIN 2024
Let A={1,2,3,4} and R={(1,2),(2,3),(1,4)} be a relation on A. Let S be the equivalence relation on A such that R⊂S...
JEE Main Mathematics Easy
View Solution
Q JEE MAIN 2024
Two forces $\vec{F}_1$ and $\vec{F}_2$ are acting on a body. One force has magnitude thrice that of the other force...
JEE Main Physics Medium
View Solution
Q JEE MAIN
In the given circuit, the terminal potential difference of the cell is :
JEE Main Physics Medium
View Solution
Q JEE MAIN 2024
Let $\vec{a}$ and $\vec{b}$ be two vectors such that $|\vec{a}|=1,|\vec{b}|=4$ and $\vec{a} \cdot \vec{b}=2$. If $\vec{c}=(2 \vec{a} \times \vec{b})-3 \vec{b}$...
JEE Main Mathematics Easy
View Solution
Q JEE-Main 2024
Let the line of the shortest distance between the lines $\mathrm{L}_1: \vec{r}=(\hat{\imath}+2 \hat{\jmath}+3 \hat{k})+\lambda(\hat{\imath}-\hat{\jmath}+\hat{k})$ and $...
JEE Main Mathematics Easy
View Solution
Q JEE MAIN 2024
Let $y=y(x)$ be the solution of the differential equation $\left(1-x^2\right) d y=\left[x y+\left(x^3+2\right) \sqrt{3\left(1-x^2\right)}\right] d x,-1< x
JEE Main Mathematics Easy
View Solution
Q JEE MAIN
The specific heat at constant pressure of a real gas obeying $\mathrm{PV}^2=\mathrm{RT}$ equation is :
JEE Main Physics Hard
View Solution
Q JEE MAIN 2024
An elastic spring under tension of 3 N has a length a . Its length is b under tension 2...
JEE Main Physics Hard
View Solution
Q JEE-Main 2024
If $\int_{-\pi / 2}^{\pi / 2} \frac{8 \sqrt{2} \cos x d x}{\left(1+e^{\sin x}\right)\left(1+\sin ^4 x\right)}=\alpha \pi+\beta \log _e(3+2 \sqrt{2})$, where...
JEE Main Mathematics Easy
View Solution
Q JEE MAIN 2024
Let the foci and length of the latus rectum of an ellipse $\frac{x^2}{a^2}+\frac{y^2}{b^2}=1, a>b$ be $( \pm 5,0)$ and $\sqrt{50}$,...
JEE Main Mathematics Easy
View Solution
Q JEE MAIN 2024
A proton, an electron and an alpha particle have the same energies. Their de-Broglie wavelengths will be compared as:
JEE Main Physics Easy
View Solution
Q JEE MAIN
The value of unknown resistance (x) for which the potential difference between B and D will be zero in the...
JEE Main Physics Medium
View Solution
Q JEE-Main 2024
Let $\mathrm{P}=\{\mathrm{z} \in \mathbb{C}:|\mathrm{z}+2-3 \mathrm{i}| \leq 1\}$ and $\mathrm{Q}=\{\mathrm{z} \in \mathbb{C}: \mathrm{z}(1+\mathrm{i})+\overline{\mathrm{z}}(1-\mathrm{i}) \leq-8\}$. Let in $\mathrm{P} \cap \mathrm{Q},|\mathrm{z}-3+2 \mathrm{i}|$ be...
JEE Main Mathematics Hard
View Solution
Q JEE MAIN
A mixture of one mole of monoatomic gas and one mole of a diatomic gas (rigid) are kept at room...
JEE Main Physics Easy
View Solution
Q JEE MAIN 2024
If $\alpha$ denotes the number of solutions of $|1-\mathrm{i}|^{\mathrm{x}}=2^{\mathrm{x}}$ and $\beta=\left(\frac{|z|}{\arg (z)}\right)$, where $\mathrm{z}=\frac{\pi}{4}(1+\mathrm{i})^4\left(\frac{1-\sqrt{\pi} \mathrm{i}}{\sqrt{\pi}+\mathrm{i}}+\right. \left.\frac{\sqrt{\pi}-\mathrm{i}}{1+\sqrt{\pi} \mathrm{i}}\right), \mathrm{i}=\sqrt{-1}$, then the...
JEE Main Mathematics Medium
View Solution
Q JEE MAIN
$\sigma$ is the uniform surface charge density of a thin spherical shell of radius R. The electric field at any...
JEE Main Physics Medium
View Solution
Q JEE MAIN 2024
The value 9∫_0^9 [√(10x/(x+1))]dx, where [t] denotes the greatest integer less than or equal to t, is
JEE Main Mathematics Easy
View Solution
Q JEE MAIN 2024
Three capacitors of capacitances 25μF,30μF and 45μF are connected in parallel to a supply of 100 V. Energy stored in...
JEE Main Physics Hard
View Solution
Q JEE MAIN 2024
Two wavelengths $\lambda_1$ and $\lambda_2$ are used in Young's double slit experiment $\lambda_1=450 \mathrm{~nm}$ and $\lambda_2=650 \mathrm{~nm}$. The minimum order...
JEE Main Physics Medium
View Solution
Q JEE MAIN
While measuring diameter of wire using screw gauge the following readings were noted. Main scale reading is 1" " mm...
JEE Main Physics Hard
View Solution
Q JEE-Main 2024
Let the line $\mathrm{L}: \sqrt{2} \mathrm{x}+\mathrm{y}=\alpha$ pass through the point of the intersection P (in the first quadrant) of the...
JEE Main Mathematics Medium
View Solution
Q JEE MAIN
A proton and an electron are associated with same de-Broglie wavelength. The ratio of their kinetic energies is: (Assume $...
JEE Main Physics Medium
View Solution
Q JEE MAIN 2024
In the experiment to determine the galvanometer resistance by half-deflection method, the plot of 1/θ vs the resistance (R) of...
JEE Main Physics Medium
View Solution
Q JEE MAIN 2024
A soap bubble is blown to a diameter of 7 cm . 36960erg of work is done in blowing it...
JEE Main Physics Medium
View Solution
Q JEE-Main 2024
In the expansion of $(1+x)\left(1-x^2\right)\left(1+\frac{3}{x}+\frac{3}{x^2}+\frac{1}{x^3}\right)^5, x \neq 0$, the sum of the coefficient of $x^3$ and $x^{-13}$ is equal to
JEE Main Mathematics Medium
View Solution
Q JEE MAIN
Which of the following phenomena does not explain by wave nature of light. (A) reflection (B) diffraction (C) photoelectric effect...
JEE Main Physics Easy
View Solution
Q JEE MAIN 2024
Twelve wires each having resistance $2 \Omega$ are joined to form a cube. A battery of 6 V emf is...
JEE Main Physics Medium
View Solution
Q JEE MAIN 2024
An ac source is connected in given series LCR circuit. The rms potential difference across the capacitor of 20μF is...
JEE Main Physics Medium
View Solution
Q JEE-Main 2024
Let $\{x\}$ denote the fractional part of $x$ and $f(x)=\frac{\cos ^{-1}\left(1-\{x\}^2\right) \sin ^{-1}(1-\{x\})}{\{x\}-\{x\}^3}, x \neq 0$. If $L$ and R...
JEE Main Mathematics Medium
View Solution
Q JEE MAIN
Average force exerted on a non-reflecting surface at normal incidence is $2.4 \times 10^{-4} \mathrm{~N}$. If $360 \mathrm{~W} / \mathrm{cm}^2$...
JEE Main Physics Medium
View Solution
Q JEE MAIN 2024
A alternating current at any instant is given by $\mathrm{i}=\left[6+\sqrt{56} \sin \left(100 \pi \mathrm{t}+\frac{\pi}{3}\right)\right] \mathrm{A}$. The rms value of the...
JEE Main Physics Easy
View Solution
Q JEE MAIN 2024
If three helium nuclei combine to form a carbon nucleus then the energy released in this reaction is ............ ×...
JEE Main Physics Medium
View Solution
Q JEE MAIN 2024
Let $Q$ and $R$ be the feet of perpendiculars from the point $P(a, a, a)$ on the lines $x=y, z=1$...
JEE Main Mathematics Easy
View Solution
Q JEE MAIN 2024
If d_1 is the shortest distance between the lines x+1=2y=-12z,x=y+2=6z-6 and d_2 is the shortest distance between the lines (x-1)/2=(y+8)/(-7)=(z-4)/5,(x-1)/2=(y-2)/1=(z-6)/(-3),...
JEE Main Mathematics Medium
View Solution
Q JEE MAIN
Three bodies A,B and C have equal kinetic energies and their masses are 400g,1.2kg and 1.6kg respectively. The ratio of...
JEE Main Physics Easy
View Solution
Q JEE MAIN
Electromagnetic waves travel in a medium with speed of $1.5 \times 10^8 \mathrm{~ms}^{-1}$ The relative permeability of the medium is...
JEE Main Physics Medium
View Solution
Q JEE-Main 01.02.24_(S1)
Let 3,7,11,15,….,403 and 2,5,8,11,…,404 be two arithmetic progressions. Then the sum, of the common terms in them, is equal to
JEE Main Mathematics Easy
View Solution
Q JEE MAIN 2024
The total number of words (with or without meaning) that can be formed out of the letters of the word...
JEE Main Mathematics Medium
View Solution
Q JEE MAIN 2024
A body moves on a frictionless plane starting from rest. If S_n is distance moved between t=n-1 and t =n...
JEE Main Physics Medium
View Solution
Q JEE MAIN 2024
Let $S=(-1, \infty)$ and $f: S \rightarrow \mathbb{R}$ be defined as $f(x)=\int_{-1}^x\left(e^t-1\right)^{11}(2 t-1)^5(t-2)^7(t-3)^{12}(2 t-10)^{61} d t$ Let $p=$ Sum of...
JEE Main Mathematics Easy
View Solution
Q JEE MAIN
To project a body of mass m from earth's surface to infinity, the required kinetic energy is (assume, the radius...
JEE Main Physics Medium
View Solution
Q JEE MAIN 2024
The density and breaking stress of a wire are 6× 〖10〗^4 " " kg/m^3 and 1.2×〖10〗^8 " " N/m^2 respectively....
JEE Main Physics Medium
View Solution
Q JEE MAIN 2024
A group of 40 students appeared in an examination of 3 subjects - Mathematics, Physics & Chemistry. It was found...
JEE Main Mathematics Hard
View Solution
Q JEE MAIN 2024
Three blocks M_1,M_2,M_3 having masses 4 kg,6 kg and 10 kg respectively are hanging from a smooth pully using rope...
JEE Main Physics Easy
View Solution
Q JEE-Main 2024
If the Coefficient of $x^{30}$ in the expansion of $\left(1+\frac{1}{x}\right)^6\left(1+x^2\right)^7\left(1-x^3\right)^8 ; x \neq 0$ is $\alpha$, then $|\alpha|$ equals
JEE Main Mathematics Hard
View Solution
Q JEE MAIN 2024
The magnetic field existing in a region is given by $\vec{B}=0.2(1+2 x) \hat{k} T$. A square loop of edge 50...
JEE Main Physics Easy
View Solution
Q JEE MAIN 2024
If the integral $525 \int_0^{\frac{\pi}{2}} \sin 2 x \cos ^{\frac{11}{2}} x\left(1+\cos ^{\frac{5}{2}} x\right)^{\frac{1}{2}} d x$ is equal to $(n \sqrt{2}-64)$,...
JEE Main Mathematics Medium
View Solution
Q JEE MAIN
The ratio of the shortest wavelength of Balmer series to the shortest wavelength of Lyman series for hydrogen atom is...
JEE Main Physics Medium
View Solution
Q JEE MAIN
A particle is moving in one dimension (along x axis) under the action of a variable force. It's initial position...
JEE Main Physics Medium
View Solution
Q JEE MAIN
A bullet of mass 50 g is fired with a speed 100m/s on a plywood and emerges with 40 m/s....
JEE Main Physics Medium
View Solution
Q JEE MAIN 2024
The electric field between the two parallel plates of a capacitor of 1.5μF capacitance drops to one third of its...
JEE Main Physics Medium
View Solution
Q JEE MAIN 2024
Let $\mathrm{f}:\left[-\frac{\pi}{2}, \frac{\pi}{2}\right] \rightarrow \mathrm{R}$ be a differentiable function such that $f(0)=\frac{1}{2}$, If the $...
JEE Main Mathematics Medium
View Solution
Q JEE MAIN
The current in a conductor is expressed as $I=3 t^2+4 t^3$, where I is in Ampere and t is in...
JEE Main Physics Easy
View Solution
Q JEE MAIN 2024
Let $S$ be the set of positive integral values of a for which $\frac{\mathrm{ax}^2+2(\mathrm{a}+1) \mathrm{x}+9 \mathrm{a}+4}{\mathrm{x}^2-8 \mathrm{x}+32}
JEE Main Mathematics Easy
View Solution
Q JEE MAIN 2024
A 2 A current carrying straight metal wire of resistance 1Ω, resistivity 2×〖10〗^(-6) Ωm, area of cross-section 10〖" " mm〗^2...
JEE Main Physics Medium
View Solution
Q JEE ,MAIN
To find the spring constant (k) of a spring experimentally, a student commits 2% positive error in the measurement of...
JEE Main Physics Medium
View Solution
Q JEE MAIN
A plane is in level flight at constant speed and each of its two wings has an area of $...
JEE Main Physics Medium
View Solution
Q JEE MAIN 2024
If $2 \sin ^3 x+\sin 2 x \cos x+4 \sin x-4=0$ has exactly 3 solutions in the interval $...
JEE Main Mathematics Easy
View Solution
Q JEE-Main 2024
The number of elements in the set S={(x,y,z):x,y,z∈Z,x+2y+3z=42,x,y,z ≥0} equals
JEE Main Mathematics Medium
View Solution
Q JEE MAIN 2024
In Young's double slit experiment, carried out with light of wavelength 5000Å , the distance between the slits is 0.3...
JEE Main Physics Medium
View Solution
Q JEE MAIN 2024
Three rotten apples are accidently mixed with fifteen good apples. Assuming the random variable x to be the number of...
JEE Main Mathematics Hard
View Solution
Q JEE MAIN
A tuning fork resonates with a sonometer wire of length 1" " m stretched with a tension of 6N. When...
JEE Main Physics Hard
View Solution
Q JEE MAIN 2024
An alternating voltage of amplitude 40 V and frequency 4kHz is applied directly across the capacitor of 12μF. The maximum...
JEE Main Physics Medium
View Solution
Q JEE MAIN 2024
$f(x)=\left|\begin{array}{ccc}3 x^2+2 & 2 x & x^3+6 \\ x^3-x & 4 & x^2-2\end{array}\right|$ for all $x \in \mathbb{R}$, then $...
JEE Main Mathematics Easy
View Solution
Q JEE-Main 2024
If $x=x(t)$ is the solution of the differential equation $(t+1) d x=\left(2 x+(t+1)^4\right) d t, x(0)=2$, then, $x(1)$ equals
JEE Main Mathematics Easy
View Solution
Q JEE MAIN
The identical spheres each of mass 2M are placed at the corners of a right angled triangle with mutually perpendicular...
JEE Main Physics Medium
View Solution
Q JEE MAIN 2024
In the given figure R_1=10Ω,R_2=8Ω,R_3=4Ω and R_4=8Ω. Battery is ideal with emf 12" " V. Equivalent resistant of the circuit...
JEE Main Physics Medium
View Solution
Q JEE MAIN 2024
A hydrogen atom changes its state from $n=3$ to $\mathrm{n}=2$. Due to recoil, the percentage change in the wave length...
JEE Main Physics Hard
View Solution
Q JEE MAIN
A line with direction ratios 2,1,2 meets the lines x=y+2=z and x+2=2y=2z respectively at the point P and Q. if...
JEE Main Mathematics Medium
View Solution
Q JEE-Main 2024
If the shortest distance between the lines $\frac{x-\lambda}{-2}=\frac{y-2}{1}=\frac{z-1}{1}$ and $\frac{x-\sqrt{3}}{1}=\frac{y-1}{-2}=\frac{z-2}{1}$ is 1 , then the sum of all possible values...
JEE Main Mathematics Easy
View Solution
Q JEE MAIN
The radius of a nucleus of mass number 64 is 4.8 fermi. Then the mass number of another nucleus having...
JEE Main Physics Medium
View Solution
Q JEE MAIN 2024
The heat absorbed by a system in going through the given cyclic process is :
JEE Main Physics Easy
View Solution
Q JEE MAIN 2024
If $...
JEE Main Mathematics Easy
View Solution
Q JEE MAIN
If $\frac{{ }^{11} \mathrm{C}_1}{2}+\frac{{ }^{11} \mathrm{C}_2}{3}+\cdots \cdot+\frac{{ }^{11} \mathrm{C}_9}{10}=\frac{\mathrm{n}}{\mathrm{m}}$ with $\operatorname{gcd}(\mathrm{n}, \mathrm{m})=1$, then n+m is equal to
JEE Main Mathematics Easy
View Solution
Q JEE MAIN 2024
Let $g(x)$ be a linear function and $f(x)=\left\{\begin{array}{ll}g(x) & , x \leq 0 \\ \left(\frac{1+x}{2+x}\right)^{\frac{1}{x}} & , x>0\end{array}\right.$, is continuous...
JEE Main Mathematics Hard
View Solution
Q JEE-Main 2024
If $5 f(x)+4 f\left(\frac{1}{x}\right)=x^2-2, \forall x \neq 0$ and $y=9 x^2 f(x)$, then y is strictly increasing in :
JEE Main Mathematics Easy
View Solution
Q JEE MAIN 2024
An infinite plane sheet of charge having uniform surface charge density $+\sigma_3 \mathrm{C} / \mathrm{m}^2$ is placed on $\mathrm{x}-\mathrm{y}$ plane....
JEE Main Physics Hard
View Solution
Q JEE MAIN 2024
Time periods of oscillation of the same simple pendulum measured using four different measuring clocks were recorded as 4.62s,4.632s,4.6s and...
JEE Main Physics Medium
View Solution
Q JEE MAIN
Two identical charged spheres are suspended by strings of equal lengths. The strings make an angle θ with each other....
JEE Main Physics Hard
View Solution
Q JEE MAIN
The area (in sq. units) of the part of circle $x^2+y^2=169$ which is below the line 5x-y=13 is $...
JEE Main Mathematics Medium
View Solution
Q JEE MAIN 2024
A body of mass 50kg is lifted to a height of 20m from the ground in the two different ways...
JEE Main Physics Easy
View Solution
Q JEE MAIN
The distance between object and its 3 times magnified virtual image as produced by a convex lens is 20" "...
JEE Main Physics Easy
View Solution
Q JEE MAIN
If the mean and variance of the data 65,68,58,44, 48, 45, 60, α,β,60 where α>β are 56 and 66.2 respectively,...
JEE Main Mathematics Easy
View Solution
Q JEE MAIN 2024
Two marbles are drawn in succession from a box containing 10 red, 30 white, 20 blue and 15 orange marbles,...
JEE Main Mathematics Easy
View Solution
Q JEE MAIN
A rectangular loop of sides 12cm and 5cm, with its sides parallel to the x-axis and y-axis respectively moves with...
JEE Main Physics Hard
View Solution
Q JEE-Main 2024
Let $C: x^2+y^2=4$ and $C^{\prime}: x^2+y^2-4 \lambda x+9=0$ be two circles. If the set of all values of $\lambda$ so...
JEE Main Mathematics Hard
View Solution
Q JEE MAIN 2024
Let M denote the median of the following frequency distribution. Then 20 M is equal to :
JEE Main Mathematics Easy
View Solution
Q JEE MAIN 2024
A simple pendulum doing small oscillations at a place R height above earth surface has time period of T_1=4" "...
JEE Main Physics Medium
View Solution
Q JEE MAIN
If the solution curve y=y(x) of the differential equation $\left(1+y^2\right)\left(1+\log _e x\right) d x+x d y=0, x>0$ passes through the...
JEE Main Mathematics Medium
View Solution
Q JEE MAIN 2024
In an ac circuit, the instantaneous current is zero, when the instantaneous voltage is maximum. In this case, the source...
JEE Main Physics Medium
View Solution
Q JEE MAIN 2024
For $\alpha, \beta, \gamma \neq 0$. If $\sin ^{-1} \alpha+\sin ^{-1} \beta+\sin ^{-1} \gamma=\pi$ and $(\alpha+\beta+\gamma)(\alpha-\gamma+\beta)=3 \alpha \beta$, then $\gamma$...
JEE Main Mathematics Easy
View Solution
Q JEE MAIN 2024
A wooden block of mass 5 kg rests on soft horizontal floor. When an iron cylinder of mass 25 kg...
JEE Main Physics Medium
View Solution
Q JEE MAIN
If the points of intersection of two distinct conics $x^2+y^2=4 b$ and $\frac{x^2}{16}+\frac{y^2}{b^2}=1$ lie on the curve $y^2=3 x^2$, then...
JEE Main Mathematics Hard
View Solution
Q JEE MAIN 2024
The co-ordinates of a particle moving in $x-y$ plane are given by: $x=2+4 t, y=3 t+8 t^2$. The motion of...
JEE Main Physics Hard
View Solution
Q JEE MAIN
A regular polygon of 6 sides is formed by bending a wire of length 4π meter. If an electric current...
JEE Main Physics Medium
View Solution
Q JEE MAIN 2024
Match list-I with list-II: (Where a = radius of planet orbit, r = radius of planet, M = mass of...
JEE Main Physics Medium
View Solution
Q JEE MAIN 2024
The distance of the point $Q(0,2,-2)$ form the line passing through the point $P(5,-4,3)$ and perpendicular to the lines $...
JEE Main Mathematics Medium
View Solution
Q JEE MAIN 2024
P-T diagram of an ideal gas having three different densities $\rho_1, \rho_2, \rho_3$ (in three different cases) is shown in...
JEE Main Physics Medium
View Solution
Q JEE-Main 2024
Let $\frac{x^2}{a^2}+\frac{y^2}{b^2}=1, a>b$ be an ellipse, whose eccentricity is $\frac{1}{\sqrt{2}}$ and the length of the latus rectum is $\sqrt{14}$. Then...
JEE Main Mathematics Easy
View Solution
Q JEE MAIN 2024
Two conducting circular loops A and B are placed in the same plane with their centres coinciding as shown in...
JEE Main Physics Medium
View Solution
Q JEE MAIN
A monochromatic light of wavelength 6000Å is incident on the single slit of width 0.01mm. If the diffraction pattern is...
JEE Main Physics Easy
View Solution
Q JEE MAIN 2024
The value of net resistance of the network as shown in the given figure is :
JEE Main Physics Medium
View Solution
Q JEE MAIN
The minimum energy required by a hydrogen atom in ground state to emit radiation in Balmer series is nearly :
JEE Main Physics Easy
View Solution
Q JEE MAIN
Let α,β be the roots of the equation$x^2-x+2=0$ with Im⁡(α)>Im⁡(β). Then $\alpha^6+\alpha^4+\beta^4-5 \alpha^2$ is equal to
JEE Main Mathematics Medium
View Solution
Q JEE MAIN 2024
Ratio of radius of gyration of a hollow sphere to that of a solid cylinder of equal mass, for moment...
JEE Main Physics Medium
View Solution
Q JEE MAIN 2024
The sum of the series $\frac{1}{1-3 \cdot 1^2+1^4}+\frac{2}{1-3 \cdot 2^2+2^4}+\frac{3}{1-3 \cdot 3^2+3^4}+\cdots$. up to 10 terms is
JEE Main Mathematics Medium
View Solution
Q JEE-Main 2024
Let f:R→R be defined as $f(x)=\left\{\begin{array}{ccc}\frac{a-b \cos 2 x}{x^2} & ; & x1\end{array}\right.$ If f is continuous everywhere in R...
JEE Main Mathematics Easy
View Solution
Q JEE MAIN
Consider a block and trolley system as shown in figure. If the coefficient of kinetic friction between the trolley and...
JEE Main Physics Medium
View Solution
Q JEE MAIN
All the letters of the word "GTWENTY" are written in all possible ways with or without meaning and these words...
JEE Main Mathematics Easy
View Solution
Q JEE MAIN 2024
Consider the system of linear equation x+y+z= 4μ,x+2y+2λz=10μ,x+3y+4λ^2 z=μ^2+15, where λ,μ∈R. Which one of the following statements is NOT correct?
JEE Main Mathematics Medium
View Solution
Q JEE MAIN 2024
If the collision frequency of hydrogen molecules in a closed chamber at 〖27〗^∘ C is Z, then the collision frequency...
JEE Main Physics Easy
View Solution
Q JEE MAIN 2024
An infinitely long positively charged straight thread has a linear charge density $\lambda \mathrm{Cm}^{-1}$. An electron revolves along a circular...
JEE Main Physics Hard
View Solution
Q JEE MAIN 2024
Let $\vec{a}=3 \hat{\imath}+\hat{\jmath}-2 \hat{k}, \vec{b}=4 \hat{\imath}+\hat{\jmath}+7 \hat{k}$ and $\overrightarrow{\mathrm{c}}=\hat{\imath}-3 \hat{\jmath}+4 \hat{k}$ be three vectors. If a vectors $\overrightarrow{\mathrm{p}}$ satisfies $...
JEE Main Mathematics Easy
View Solution
Q JEE MAIN
Equation of two diameters of a circle are 2x-3y=5 and 3x-4y=7. The line joining the points $\left(-\frac{22}{7},-4\right)$ and $\left(-\frac{1}{7}, 3\right)$...
JEE Main Mathematics Easy
View Solution
Q JEE MAIN 2024
To measure the internal resistance of a battery, potentiometer is used. For $\mathrm{R}=10 \Omega$, the balance point is observed at...
JEE Main Physics Hard
View Solution
Q JEE MAIN 2024
An electron rotates in a circle around a nucleus having positive charge Ze. Correct relation between total energy (E) of...
JEE Main Physics Medium
View Solution
Q JEE MAIN 2024
If the domain of the function f(x)=cos^(-1)⁡((2-|x|)/4)+(log_e⁡(3-x))^(-1) is [-α,β)-{y}, then α+β+γ is equal to :
JEE Main Mathematics Medium
View Solution
Q JEE-Main 2024
For $0
JEE Main Mathematics Easy
View Solution
Q JEE MAIN
A particle moving in a circle of radius R with uniform speed takes time T to complete one revolution. If...
JEE Main Physics Medium
View Solution
Q JEE MAIN
Let A be a square matrix such that $A A^T=I$. Then $\frac{1}{2} A\left[\left(A+A^T\right)^2+\left(A-A^T\right)^2\right]$ is equal to
JEE Main Mathematics Medium
View Solution
Q JEE MAIN 2024
Let $y=y(x)$ be the solution of the differential equation $...
JEE Main Mathematics Hard
View Solution
Q JEE MAIN 2024
A body travels 102.5 m in $\mathrm{n}^{\text {th }}$ second and 115.0 m in $(\mathrm{n}+2)^{\text {th }}$ second. The acceleration...
JEE Main Physics Medium
View Solution
Q JEE-Main 2024
If the system of equations 2x+3y-z=5 x+αy+3z=-4 3x-y+βz=7 has infinitely many solutions, then 13αβ is equal to
JEE Main Mathematics Medium
View Solution
Q JEE MAIN 2024
In hydrogen like system the ratio of coulombian force and gravitational force between an electron and a proton is in...
JEE Main Physics Medium
View Solution
Q JEE MAIN
Suppose $f(x)=\frac{\left(2^x+2^{-x}\right) \tan x \sqrt{\tan ^{-1}\left(x^2-x+1\right)}}{\left(7 x^2+3 x+1\right)^3}$ Then the value of f^' (0) is equal to
JEE Main Mathematics Easy
View Solution
Q JEE MAIN
A simple pendulum of length 1" " m has a wooden bob of mass 1" " kg. It is struck...
JEE Main Physics Hard
View Solution
Q JEE-Main 2024
Let f:R→R and g:R→R be defined as $$f(x)=\left\{\begin{array}{lll} \log _e x & , & x>0 \\ e^{-x} & , &...
JEE Main Mathematics Medium
View Solution
Q JEE MAIN 2024
The equation of stationary wave is : Which of the following is NOT correct
JEE Main Physics Medium
View Solution
Q JEE MAIN 2024
The angle between vector Q ⃗ and the resultant of (2Q ⃗+2P ⃗) and (2Q ⃗-2P ⃗) is:
JEE Main Physics Medium
View Solution
Q JEE MAIN
If the value of the integral $\int_{-\frac{\pi}{2}}^{\frac{\pi}{2}}\left(\frac{x^2 \cos x}{1+\pi^x}+\frac{1+\sin ^2 x}{1+e^{\sin x^{2023}}}\right) d x=\frac{\pi}{4}(\pi+a)-2$ then the value of a is
JEE Main Mathematics Medium
View Solution
Q JEE MAIN 2024
Let $\alpha, \beta, \gamma, \delta \in \mathrm{Z}$ and let $\mathrm{A}(\alpha, \beta), \mathrm{B}(1,0), \mathrm{C}(\gamma, \delta)$ and $D(1,2)$ be the vertices of...
JEE Main Mathematics Easy
View Solution
Q JEE MAIN 2024
Two integers x and y are chosen with replacement from the set {0,1,2,3, 10}. Then the probability that |x-y|>5 is
JEE Main Mathematics Medium
View Solution
Q JEE MAIN
The dimensional formula of angular impulse is :
JEE Main Physics Easy
View Solution
Q JEE MAIN 2024
If a rubber ball falls from a height h and rebounds upto the height of h/2. The percentage loss of...
JEE Main Physics Medium
View Solution
Q JEE-Main 2024
The area enclosed by the curves xy+4y=16 and x+y=6 is equal to :
JEE Main Mathematics Medium
View Solution
Q JEE MAIN 2024
Given below are two statements: Statement-I: Figure shows the variation of stopping potential with frequency (v) for the two photosensitive...
JEE Main Physics Medium
View Solution
Q JEE MAIN
Let R be a relation on Z×Z defined by (a,b)R(c,d) if and only if ad-bc is divisible by 5 ....
JEE Main Mathematics Medium
View Solution
Q JEE MAIN 2024
A wooden block, initially at rest on the ground, is pushed by a force which increases linearly with time t....
JEE Main Physics Medium
View Solution
Q JEE MAIN
The radius (r), length (l) and resistance (R) of a metal wire was measured in the laboratory as r=(0.35±0.05)cm R=(100±10)...
JEE Main Physics Medium
View Solution
Q JEE-Main 2024
Let S={x∈R:(√3+√2 )^x+(√3-√2 )^x=10}. Then the number of elements in S is :
JEE Main Mathematics Easy
View Solution
Q JEE MAIN
Let PQR be a triangle with R(-1,4,2). Suppose M(2,1,2) is the mid point of PQ. The distance of the centroid...
JEE Main Mathematics Easy
View Solution
Q JEE MAIN 2024
The solution curve of the differential equation $y \frac{d x}{d y}=x\left(\log _e x-\log _e y+1\right), x>0, y>0$ passing through the...
JEE Main Mathematics Medium
View Solution
Q JEE MAIN 2024
Let (α,β,γ) be the foot of perpendicular from the point (1,2,3) on the line (x+3)/5=(y-1)/2=(z+4)/3. then 19(α+β+γ) is equal to...
JEE Main Mathematics Easy
View Solution
Q JEE MAIN 2024
Given below are two statements : Statement-I: When a capillary tube is dipped into a liquid, the liquid neither rises...
JEE Main Physics Medium
View Solution
Q JEE MAIN 2024
Which figure shows the correct variation of applied potential difference $(V)$ with photoelectric current $(I)$ at two different intensities of...
JEE Main Physics Easy
View Solution
Q JEE MAIN
In series LCR circuit, the capacitance is changed from C to 4C. To keep the resonance frequency unchanged, the new...
JEE Main Physics Easy
View Solution
Q JEE MAIN
Let $A=\left[\begin{array}{lll}1 & 0 & 0 \\ 0 & \alpha & \beta \\ 0 & \beta & \alpha\end{array}\right]$ and $...
JEE Main Mathematics Easy
View Solution
Q JEE MAIN 2024
Let y=y(x) be the solution of the differential equation sec⁡xdy+{2(1-x)tan⁡x+x(2-x)} dx=0 such that y(0)=2. Then y(2) is equal to :
JEE Main Mathematics Easy
View Solution
Q JEE MAIN 2024
If G be the gravitational constant and u be the energy density then which of the following quantity have the...
JEE Main Physics Medium
View Solution
Q JEE MAIN
Consider the function $\mathrm{f}:\left[\frac{1}{2}, 1\right] \rightarrow \mathrm{R}$ defined by $f(x)=4 \sqrt{2} x^3-3 \sqrt{2} x-1$. Consider the statements (I) The curve...
JEE Main Mathematics Easy
View Solution
Q JEE MAIN 2024
An effective power of a combination of 5 identical convex lenses which are kept in contact along the principal axis...
JEE Main Physics Easy
View Solution
Q JEE MAIN
10 divisions on the main scale of a Vernier calliper coincide with 11 divisions on the Vernier scale. If each...
JEE Main Physics Medium
View Solution
Q JEE MAIN 2024
Following gates section is connected in a complete suitable circuit. For which of the following combination, bulb will glow (ON):
JEE Main Physics Medium
View Solution
Q JEE MAIN 2024
On celcius scale the temperature of body increases by 40ºC. The increase in temperature on Fahrenheit scale is:
JEE Main Physics Medium
View Solution
Q JEE MAIN 2024
Let $g: R \rightarrow R$ be a non constant twice differentiable such that $g^{\prime}\left(\frac{1}{2}\right)=g^{\prime}\left(\frac{3}{2}\right)$. If a real valued function $f$...
JEE Main Mathematics Easy
View Solution
Q JEE MAIN
Let O be the origin and the position vector of A and B be $2 \hat{\imath}+2 \hat{\jmath}+\hat{k}$ and $...
JEE Main Mathematics Easy
View Solution
Q JEE MAIN 2024
Light emerges out of a convex lens when a source of light kept at its focus. The shape of wavefront...
JEE Main Physics Easy
View Solution
Q JEE MAIN 2024
A metal wire of uniform mass density having length L and mass M is bent to form a semicircular arc...
JEE Main Physics Medium
View Solution
Q JEE MAIN 2024
The area (in square units) of the region bounded by the parabola $y^2=4(x-2)$ and the line $y=2 x-8$
JEE Main Mathematics Easy
View Solution
Q JEE MAIN
The de Broglie wavelengths of a proton and an α particle are λ and 2λ respectively. The ratio of the...
JEE Main Physics Easy
View Solution
Q JEE MAIN 2024
The resistances of the platinum wire of a platinum resistance thermometer at the ice point and steam point are 8...
JEE Main Physics Medium
View Solution
Q JEE-Main 2024
If n is the number of ways five different employees can sit into four indistinguishable offices where any office may...
JEE Main Mathematics Medium
View Solution
Q JEE MAIN
A function y=f(x) satisfies $f(x) \sin 2 x+\sin x-\left(1+\cos ^2 x\right) f^{\prime}(x)=0$ with condition $f(0)=0$. Then $f\left(\frac{\pi}{2}\right)$ is equal to
JEE Main Mathematics Easy
View Solution
Q JEE MAIN 2024
The value of $\lim _{n \rightarrow \infty} \sum_{k=1}^n \frac{n^3}{\left(n^2+k^2\right)\left(n^2+3 k^2\right)}$ is:
JEE Main Mathematics Medium
View Solution
Q JEE MAIN 2024
If the system of linear equations $$ \begin{aligned} & x-2 y+z=-4 \\ & 2 x+\alpha y+3 z=5 \\ & 3...
JEE Main Mathematics Medium
View Solution
Q JEE MAIN
A galvanometer has a resistance of 50Ω and it allows maximum current of 5mA. It can be converted into voltmeter...
JEE Main Physics Easy
View Solution
Q JEE MAIN 2024
Given below are two statements : Statement I : When speed of liquid is zero everywhere, pressure difference at any...
JEE Main Physics Medium
View Solution
Q JEE-Main 2024
If $\tan \mathrm{A}=\frac{1}{\sqrt{x\left(x^2+x+1\right)}}, \tan B=\frac{\sqrt{x}}{\sqrt{x^2+x+1}}$ and $\tan C=\left(x^{-3}+x^{-2}+x^{-1}\right)^{\frac{1}{2}}, 0
JEE Main Mathematics Hard
View Solution
Q JEE MAIN
If $\alpha,-\frac{\pi}{2}
JEE Main Mathematics Easy
View Solution
Q JEE MAIN 2024
In an experiment to measure focal length (f) of convex lens, the least counts of the measuring scales for the...
JEE Main Physics Medium
View Solution
Q JEE MAIN
For $\mathrm{x} \in\left(-\frac{\pi}{2}, \frac{\pi}{2}\right)$, if $y(x)=\int \frac{\operatorname{cosec} x+\sin x}{\operatorname{cosec} x \sec x+\tan x \sin ^2 x} d x$ and $...
JEE Main Mathematics Medium
View Solution
Q JEE MAIN 2024
$\lim _{x \rightarrow 0} \frac{\mathrm{e}^{2|\sin x|}-2|\sin x|-1}{x^2}$
JEE Main Mathematics Easy
View Solution
Q JEE-Main 2024
If $\mathrm{A}=\left[\begin{array}{cc}\sqrt{2} & 1 \\ -1 & \sqrt{2}\end{array}\right], \mathrm{B}=\left[\begin{array}{ll}1 & 0 \\ 1 & 1\end{array}\right], \mathrm{C}=\mathrm{ABA}^{\mathrm{T}}$ and $\mathrm{X}=\mathrm{A}^{\mathrm{T}} \mathrm{C}^2 \mathrm{~A}$,...
JEE Main Mathematics Easy
View Solution
Q JEE MAIN 2024
The maximum area of a triangle whose one vertex is at $(0,0)$ and the other two vertices lie on the...
JEE Main Mathematics Medium
View Solution
Q JEE MAIN 2024
Which of the following nuclear fragments corresponding to nuclear fission between neutron $\left(\begin{array}{l}1 \\ 0\end{array} \mathrm{n}\right)$ and uranium isotope $...
JEE Main Physics Easy
View Solution
Q JEE MAIN
Let $\left(5, \frac{a}{4}\right)$, be the circumcenter of a triangle with vertices $A(a,-2), B(a, 6)$ and $C\left(\frac{a}{4},-2\right)$. Let $\alpha$ denote the...
JEE Main Mathematics Medium
View Solution
Q JEE MAIN 2024
If $f(x)=\frac{4 x+3}{6 x-4}, x \neq \frac{2}{3}$ and (fof) $(x)=g(x)$, where $\mathrm{g}: \mathbb{R}-\left\{\frac{2}{3}\right\} \rightarrow \mathbb{R}-\left\{\frac{2}{3}\right\}$, then (gogog) (4) is equal...
JEE Main Mathematics Easy
View Solution
Q JEE-Main 2024
The value of the integral $\int_0^{\frac{\pi}{4}} \frac{x d x}{\sin ^4(2 x)+\cos ^4(2 x)}$ equals :
JEE Main Physics Easy
View Solution
Q JEE MAIN
A parallel plate capacitor has a capacitance C=200pF. It is connected to 230" " V ac supply with an angular...
JEE Main Physics Medium
View Solution
Q JEE MAIN 2024
K_a for CH_3 COOH is 1.8×〖10〗^(-5) and K_b for NH_4 OH is 1.8×〖10〗^(-5). The pH of ammonium acetate solution will...
JEE Main Chemistry Easy
View Solution
Q JEE MAIN 2024
The area of the region $\left\{(x, y): y^2 \leq 4 x, x0, x \neq 3\right\}$ is
JEE Main Mathematics Easy
View Solution
Q JEE MAIN 2024
The electric field in an electromagnetic wave is given by $\overrightarrow{\mathrm{E}}=\hat{\mathrm{i}} 40 \cos \omega\left(\mathrm{t}-\frac{\mathrm{z}}{\mathrm{c}}\right) \mathrm{NC}^{-1}$. The magnetic field induction of...
JEE Main Physics Easy
View Solution
Q JEE MAIN 2024
Let $\vec{a}=a_i \hat{\imath}+a_2 \hat{\jmath}+a_3 \hat{k}$ and $\vec{b}=b_1 \hat{\imath}+b_2 \hat{\jmath}+b_3 \hat{k}$ be two vectors such that $|\vec{a}|=1 ; \vec{a} \cdot \vec{b}=2$...
JEE Main Mathematics Hard
View Solution
Q JEE MAIN
A ball of mass 0.5kg is attached to a string of length 50cm. The ball is rotated on a horizontal...
JEE Main Physics Easy
View Solution
Q JEE MAIN 2024
Consider the following reaction: 3PbCl_2+2(NH_4 )_3 PO_4→Pb_3 (PO_4 )_2+6NH_4 Cl If 72mmol of PbCl_2 is mixed with 50mmol of (NH_4...
JEE Main Chemistry Hard
View Solution
Q JEE MAIN 2024
Among the following oxide of p - block elements, number of oxides having amphoteric nature is Cl_2 O_7,CO,PbO_2,〖" " N〗_2...
JEE Main Chemistry Easy
View Solution
Q JEE MAIN 2024
If one of the diameters of the circle $x^2+y^2-10 x+4 y+13=0$ is a chord of another circle $C$, whose center...
JEE Main Mathematics Easy
View Solution
Q JEE MAIN
Two moles a monoatomic gas is mixed with six moles of a diatomic gas. The molar specific heat of the...
JEE Main Physics Easy
View Solution
Q JEE MAIN 2024
An electron is projected with uniform velocity along the axis inside a current carrying long solenoid. Then :
JEE Main Physics Easy
View Solution
Q JEE MAIN
In a △ABC, suppose y=x is the equation of the bisector of the angle B and the equation of the...
JEE Main Mathematics Easy
View Solution
Q JEE MAIN 2024
Lowest Oxidation number of an atom in a compound A_2 " " B is -2 . The number of an...
JEE Main Chemistry Easy
View Solution
Q JEE MAIN 2024
If the foci of a hyperbola are same as that of the ellipse $\frac{x^2}{9}+\frac{y^2}{25}=1$ and the eccentricity of the hyperbola...
JEE Main Mathematics Medium
View Solution
Q JEE MAIN 2024
Total number of deactivating groups in aromatic electrophilic substitution reaction among the following is
JEE Main Chemistry Easy
View Solution
Q JEE MAIN
$\lim _{x \rightarrow \frac{\pi}{2}}\left(\frac{1}{\left(x-\frac{\pi}{2}\right)^2} \int_{x^3}^{\left(\frac{\pi}{2}\right)^3} \cos \left(\frac{1}{t^3}\right) d t\right)$ is equal to
JEE Main Mathematics Easy
View Solution
Q JEE MAIN
Two identical capacitors have same capacitance C. One of them is charged to the potential V and other to the...
JEE Main Physics Medium
View Solution
Q JEE-Main 2024
A bag contains 8 balls, whose colours are either white or black. 4 balls are drawn at random without replacement...
JEE Main Mathematics Medium
View Solution
Q JEE MAIN
If z=x+iy,xy≠0, satisfies the equation z^2+iz ‾=0, then |z^2 | is equal to :
JEE Main Mathematics Easy
View Solution
Q JEE MAIN 2024
Number of colourless lanthanoid ions among the following is…. Eu^(3+),Lu^(3+),Nd^(3+),La^(3+),Sm^(3+)
JEE Main Chemistry Medium
View Solution
Q JEE MAIN 2024
The number of molecules/ion/s having trigonal bipyramidal shape is PF_5,BrF_5,PCl_5,[PtCl_4 ]^(2-),BF_3,Fe(CO)_5
JEE Main Chemistry Medium
View Solution
Q JEE MAIN
If $\mathrm{z}=\frac{1}{2}-2 \mathrm{i}$, is such that $|\mathrm{z}+1|=\alpha \mathrm{z}+\beta(1+\mathrm{i}), \mathrm{i}=\sqrt{-1}$ and $\alpha, \beta \in \mathrm{R}$, then $\alpha+\beta$ is equal to
JEE Main Mathematics Easy
View Solution
Q JEE MAIN 2024
Let $a$ be the sum of all coefficients in the expansion of $\left(1-2 x+2 x^2\right)^{2023}\left(3-4 x^2+2 x^3\right)^{2024}$ and $...
JEE Main Mathematics Easy
View Solution
Q JEE-Main_2024
A ceiling fan having 3 blades of length 80 cm each is rotating with an angular velocity of 1200rpm. The...
JEE Main Physics Medium
View Solution
Q JEE MAIN
The reading in the ideal voltmeter (V) shown in the given circuit diagram is
JEE Main Physics Easy
View Solution
Q JEE MAIN 2024
The ratio of ( ^14 C)/( ^12 C) in a piece of wood is 1/8 part that of atmosphere. If...
JEE Main Chemistry Medium
View Solution
Q JEE MAIN 2024
Total number of essential amino acid among the given list of amino acids is ______ Arginine, Phenylalanine, Aspartic acid, Cysteine,...
JEE Main Chemistry Medium
View Solution
Q JEE MAIN 2024
Number of ambidentate ligands among the following is $\_\_\_\_$ $ \mathrm{NO}_2^{-}, \mathrm{SCN}^{-}, \mathrm{C}_2 \mathrm{O}_4^{2-}, \mathrm{NH}_3, \mathrm{CN}^{-}, \mathrm{SO}_4^{2-}, \mathrm{H}_2 \mathrm{O} $
JEE Main Chemistry Easy
View Solution
Q JEE MAIN 2024
The number of white coloured salts among the following is (A) SrSO_4 (B) Mg(NH_4 ) PO_4 (c) BaCrO_4 (D) Mn(OH)_2...
JEE Main Chemistry Hard
View Solution
Q JEE MAIN 2024
The total number of species from the following in which one unpaired electron is present, is N_2,O_2,C_2^-,O_2^-,O_2^(2-),H_2^+,CN^-,He_2^+
JEE Main Chemistry Easy
View Solution
Q JEE MAIN
In the given circuit if the power rating of Zener diode is 10" " mW, the value of series resistance...
JEE Main Physics Medium
View Solution
Q JEE MAIN 2024
The potential for the given half cell at 298" " K is (-)………...×〖10〗^(-2) " " V. 2H^+ _"aq) " +2e^-→H_2...
JEE Main Chemistry Easy
View Solution
Q JEE MAIN
let $S_a$ denote the sum of first n terms an arithmetic progression. If S_20=790 and S_10=145, then S_15- S_5 is...
JEE Main Mathematics Easy
View Solution
Q JEE MAIN 2024
Molarity (M) of an aqueous solution containing xg of anhyd. CuSO_4 in 500" " mL solution at 32 ^∘ C...
JEE Main Chemistry Medium
View Solution
Q JEE-Main_2024
In a closed organ pipe, the frequency of fundamental note is 30Hz. A certain amount of water is now poured...
JEE Main Physics Medium
View Solution
Q JEE MAIN 2024
Number of optical isomers possible for 2 – chlorobutan
JEE Main Chemistry Easy
View Solution
Q JEE MAIN 2024
For 0
JEE Main Mathematics Medium
View Solution
Q JEE MAIN 2024
When equal volume of 1 MHCl and $1 \mathrm{MH}_2 \mathrm{SO}_4$ are separately neutralised by excess volume of 1 M NaOH...
JEE Main Chemistry Easy
View Solution
Q JEE MAIN
If R is the radius of the earth and the acceleration due to gravity on the surface of earth is...
JEE Main Physics Easy
View Solution
Q JEE MAIN 2024
The standard reduction potentials at 298" " K for the following half cells are given below : ■(&Cr_2 O_7^(2-)+14H^++6e^-→2Cr^(3+)+7H_2 O,E^∘=1.33"...
JEE Main Chemistry Easy
View Solution
Q JEE-Main_2024
Consider a Disc of mass 5 kg, radius 2 m, rotating with angular velocity of 10rad/s about an axis perpendicular...
JEE Main Physics Medium
View Solution
Q JEE MAIN 2024
How many compounds among the following compounds show inductive, mesomeric as well as hyperconjugation effects?
JEE Main Chemistry Medium
View Solution
Q JEE MAIN 2024
A line passing through the point  makes an angle of  with the positive direction of -axis. If this line is...
JEE Main Mathematics Easy
View Solution
Q JEE-Main_2024
A capacitor of capacitance C and potential V has energy E. It is connected to another capacitor of capacitance 2C...
JEE Main Physics Medium
View Solution
Q JEE MAIN
In an A.P., the sixth terms a_6=2. If the a_1 a_4 a_5 is the greatest, then the common difference of...
JEE Main Mathematics Easy
View Solution
Q JEE-Main_2024
The displacement and the increase in the velocity of a moving particle in the time interval of t to (t+1)s...
JEE Main Physics Hard
View Solution
Q JEE MAIN 2024
Given below are two statements : Statement I : The rate law for the reaction A+B→C is rate (r)=k[A]^2 ["...
JEE Main Chemistry Medium
View Solution
Q JEE MAIN
With rise in temperature, the Young's modulus of elasticity
JEE Main Physics Easy
View Solution
Q JEE MAIN 2024
The heat of solution of anhydrous $\mathrm{CuSO}_4$ and $\mathrm{CuSO}_4 \cdot 5 \mathrm{H}_2 \mathrm{O}$ are $-70 \mathrm{~kJ} \mathrm{~mol}^{-1}$ and $...
JEE Main Chemistry Easy
View Solution
Q JEE MAIN
If in a G.P. of 64 terms, the sum of all the terms is 7 times the sum of the...
JEE Main Mathematics Easy
View Solution
Q JEE-Main_2024
The distance between object and its two times magnified real image as produced by a convex lens is 45cm. The...
JEE Main Physics Easy
View Solution
Q JEE MAIN 2024
$0.05 \mathrm{MCuSO}_4$ when treated with $0.01 \mathrm{MKK}_2 \mathrm{Cr}_2 \mathrm{O}_7$ gives green colour solution of $\mathrm{Cu}_2 \mathrm{Cr}_2 \mathrm{O}_7$. The [SPM: Semi...
JEE Main Chemistry Medium
View Solution
Q JEE-Main_2024
Each of three blocks P,Q and R shown in figure has a mass of 3kg. Each of the wire A...
JEE Main Physics Medium
View Solution
Q JEE MAIN 2024
Identify the incorrect statements regarding primary standard of titrimetric analysis (A) It should be purely available in dry form. (B)...
JEE Main Chemistry Medium
View Solution
Q JEE-Main_2024
A electron of hydrogen atom on an excited state is having energy $E_n$ =-0.85eV. The maximum number of allowed transitions...
JEE Main Physics Medium
View Solution
Q JEE MAIN 2024
On reaction of Lead Sulphide with dilute nitric acid which of the following is not formed ?
JEE Main Chemistry Medium
View Solution
Q JEE-Main_2024
Two cells are connected in opposition as shown. Cell $E_1$ is of 8V emf and 2Ω internal resistance; the cell...
JEE Main Physics Easy
View Solution
Q JEE-Main_2024
The horizontal component of earth's magnetic field at a place is $3.5 \times 10^{-5} T$. A very long straight conductor...
JEE Main Physics Medium
View Solution
Q JEE MAIN 2024
Identify the product A and product B in the following set of reactions.
JEE Main Chemistry Easy
View Solution
Q JEE-Main_2024
A series L,R circuit connected with an ac source E=(25sin⁡1000t)V has a power factor of 1/√2. If the source of...
JEE Main Physics Medium
View Solution
Q JEE-Main_2024
At which temperature the r.m.s. velocity of a hydrogen molecule equal to that of an oxygen molecule at $47^{\circ}$ C...
JEE Main Physics Easy
View Solution
Q JEE MAIN 2024
Identify major product " X " formed in the following reaction :
JEE Main Chemistry Easy
View Solution
Q JEE-Main_2024
A particle of mass m projected with a velocity ' u ' making an angle of $30^{\circ}$ with the horizontal....
JEE Main Physics Medium
View Solution
Q JEE MAIN 2024
Compare the energies of following sets of quantum numbers for multielectron system. (A) n=4,1=1 (B) n=4,1=2 (C) n=3,1=1 (D) n=3,1=2...
JEE Main Chemistry Medium
View Solution
Q JEE-Main_2024
A spherical body of mass 100" " g is dropped from a height of 10" " m from the ground....
JEE Main Physics Hard
View Solution
Q JEE-Main_2024
The electrostatic potential due to an electric dipole at a distance ' r ' varies as :
JEE Main Physics Easy
View Solution
Q JEE MAIN 2024
For the given reaction, choose the correct expression of $\mathrm{K}_{\mathrm{C}}$ from the following :- $\mathrm{Fe}_{(\mathrm{aq})}^{3+}+\mathrm{SCN}_{(\mathrm{aq})}^{-} \rightleftharpoons\left(\mathrm{FeSCN)}_{(\mathrm{aq})}^{2+}\right.$
JEE Main Chemistry Easy
View Solution
Q JEE MAIN 2024
Given below are two statements: Statement (I) : The NH_2 group in Aniline is ortho and para directing and a...
JEE Main Chemistry Medium
View Solution
Q JEE-Main_2024
Two thermodynamical process are shown in the figure. The molar heat capacity for process A and B are $C_A$ and...
JEE Main Physics Hard
View Solution
Q JEE-Main_2024
A Zener diode of breakdown voltage 10V is used as a voltage regulator as shown in the figure. The current...
JEE Main Physics Medium
View Solution
Q JEE-Main_2024
An electric toaster has resistance of 60Ω at room temperature $\left(27^{\circ} \mathrm{C}\right)$. The toaster is connected to a 220 V...
JEE Main Physics Medium
View Solution
Q JEE-Main_2024
The gravitational potential at a point above the surface of earth is $-5.12 \times 10^7 \mathrm{~J} / \mathrm{kg}$ and the...
JEE Main Physics Medium
View Solution
Q JEE MAIN 2024
Choose the correct option for free expansion of an ideal gas under adiabatic condition from the following :
JEE Main Chemistry Medium
View Solution
Q JEE-Main_2024
Primary coil of a transformer is connected to 220V ac. Primary and secondary turns of the transforms are 100 and...
JEE Main Physics Easy
View Solution
Q JEE MAIN 2024
Match List - I with List -II. Choose the correct answer from options given below:
JEE Main Chemistry Medium
View Solution
Q JEE-Main_2024
The diffraction pattern of a light of wavelength 400 nm diffracting from a slit of width 0.2 mm is focused...
JEE Main Physics Medium
View Solution
Q JEE MAIN 2024
Given below are two statements : Statement (I) : Potassium hydrogen phthalate is a primary standard for standardisation of sodium...
JEE Main Chemistry Medium
View Solution
Q JEE MAINS 2024
If the wavelength of the first member of Lyman series of hydrogen is λ. The wavelength of the second member...
JEE Main Physics Hard
View Solution
Q JEE MAIN 2024
In Kjeldahl's method for estimation of nitrogen, CuSO_4 acts as :
JEE Main Chemistry Easy
View Solution
Q JEE-Main_2024
Two insulated circular loop A and B radius ' a ' carrying a current of 'I' in the anti clockwise...
JEE Main Physics Easy
View Solution
Q JEE MAINS 2024
A rigid wire consists of a semicircular portion of radius R and two straight sections. The wire is partially immerged...
JEE Main Physics Easy
View Solution
Q JEE MAIN 2024
What is the structure of C ?
JEE Main Chemistry Medium
View Solution
Q JEE MAINS 2024
The refractive index of a prism with apex angle A is cot⁡A/2. The angle of minimum deviation is :
JEE Main Physics Medium
View Solution
Q JEE-Main_2024
The electric field of an electromagnetic wave in free space is represented as $\vec{E}=E_0 \cos (\omega t-k z) \hat{\imath}$. The...
JEE Main Physics Medium
View Solution
Q JEE MAINS 2024
The relation between time ' t ' and distance ' x ' is t= αx^2+βx, where α and β are...
JEE Main Physics Hard
View Solution
Q JEE MAIN 2024
The electronic configuration of $\mathrm{Cu}($ □ II) is $3 \mathrm{~d}^9$ whereas that of $\mathrm{Cu}(\mathrm{I})$ is $3 \mathrm{~d}^{10}$. Which of the...
JEE Main Chemistry Easy
View Solution
Q JEE MAINS 2024
Identify the logic operation performed by the given circuit
JEE Main Physics Easy
View Solution
Q JEE MAIN 2024
Given below are two statements : one is labelled as Assertion (A) and the other is labelled as Reason (R)....
JEE Main Chemistry Easy
View Solution
Q JEE-Main_2024
The ratio of the magnitude of the kinetic energy to the potential energy of an electron in the $...
JEE Main Physics Easy
View Solution
Q JEE MAIN 2024
Given below are two statements : one is labelled as Assertion (A) : and the other is labelled as Reason...
JEE Main Chemistry Medium
View Solution
Q JEE MAIN 2024
Arrange the bonds in order of increasing ionic character in the molecules. LiF,K_2 O,N_2,SO_2 and CIF_3.
JEE Main Chemistry Hard
View Solution
Q JEE-Main_2024
The work function of a substance is 3.0eV. The longest wavelength of light that can cause the emission of photoelectrons...
JEE Main Physics Easy
View Solution
Q JEE MAINS 2024
The parameter that remains the same for molecules of all gases at a given temperature is :
JEE Main Chemistry Easy
View Solution
Q JEE MAIN 2024
For the given compounds, the correct order of increasing $\mathrm{pK}_{\mathrm{a}}$ value
JEE Main Chemistry Medium
View Solution
Q JEE MAIN 2024
Ionic reactions with organic compounds proceed through: (A) Homolytic bond cleavage (B) Heterolytic bond cleavage (C) Free radical formation (D)...
JEE Main Chemistry Easy
View Solution
Q JEE-Main_2024
Young's modules of material of a wire of length 'L' and cross-sectional area is . If the length of the...
JEE Main Physics Easy
View Solution
Q JEE MAIN 2024
Which of the following compound will most easily be attacked by an electrophile?
JEE Main Chemistry Easy
View Solution
Q JEE MAIN 2024
Given below are two statements one is labelled as Assertion (A) and the other is labelled as Reason (R): Assertion...
JEE Main Chemistry Medium
View Solution
Q JEE MAIN 2024
Which of the following complex is homoleptic?
JEE Main Chemistry Easy
View Solution
Q JEE-Main_2024
A potential divider circuit is shown in figure. The output voltage $\mathrm{V}_0$ is
JEE Main Physics Easy
View Solution
Q JEEE MAINS 2024
Number of molecules/species from the following having one unpaired electron is $\mathrm{O}_2, \mathrm{O}_2^{-1}, \mathrm{NO}, \mathrm{CN}^{-1}, \mathrm{O}_2^{2-}$
JEE Main Chemistry Easy
View Solution
Q JEE MAIN 2024
Given below are two statements. Statement (I): The oxidation state of an element in a particular compound is the charge...
JEE Main Chemistry Medium
View Solution
Q JEE MAINS 2024
The number of different chain isomers for $\mathrm{C}_7 \mathrm{H}_{16}$ is $\_\_\_\_$ .
JEE Main Chemistry Medium
View Solution
Q JEE MAIN 2024
Given below are two statements: Statement (I) : Aminobenzene and aniline are same organic compounds. Statement (II) : Aminobenzene and...
JEE Main Chemistry Easy
View Solution
Q JEE MAIN 2024
Relative stability of the contributing structures is :
JEE Main Chemistry Easy
View Solution
Q JEE MAINS 2024
2.5 g of a non-volatile, non-electrolyte is dissolved in 100 g of water at $25^{\circ} \mathrm{C}$. The solution showed boiling...
JEE Main Chemistry Medium
View Solution
Q JEE MAIN 2024
Identify A and B in the following sequence of reaction
JEE Main Chemistry Easy
View Solution
Q JEE-Main_2024
All surfaces shown in figure are assumed to be frictionless and the pulleys and the string are light. The acceleration...
JEE Main Physics Hard
View Solution
Q JEE MAINS 2024
Consider the following transformation involving first order elementary reaction in each step at constant temperature as shown below. $...
JEE Main Chemistry Hard
View Solution
Q JEE MAIN 2024
The F-ions make the enamel on teeth much harder by converting hydroxyapatite (the enamel on the surface of teeth) into...
JEE Main Chemistry Easy
View Solution
Q JEE MAIN 2024
In which one of the following pairs the central atoms exhibit $\mathrm{sp}^2$ hybridization?
JEE Main Chemistry Easy
View Solution
Q JEE MAIN 2024
Given below are two statements: one is labelled as Assertion (A) and the other is labelled as Reason (R). Assertion...
JEE Main Chemistry Easy
View Solution
Q JEE MAIN 2024
Correct order of basic strength of Pyrrole
JEE Main Chemistry Medium
View Solution
Q JEE MAIN 2024
Given below are two statements: Statement (I): A solution of [Ni(H_2 O)_6 ]^(2+) is green in colour. Statement (II): A...
JEE Main Chemistry Easy
View Solution
Q JEE MAIN 2024
In the following sequence of reaction, the major products B and C respectively are :
JEE Main Chemistry Medium
View Solution
Q JEE MAIN 2024
Consider the following reaction $\mathrm{MnO}_2+\mathrm{KOH}+\mathrm{O}_2 \rightarrow \mathrm{~A}+\mathrm{H}_2 \mathrm{O}$ Product ' $A$ ' in neutral or acidic medium disproportionate to give...
JEE Main Chemistry Medium
View Solution
Q JEE MAIN 2024
Match List-I with List-II.
JEE Main Physics Medium
View Solution
Q JEE MAINS 2024
Only 2 mL of $\mathrm{KMnO}_4$ solution of unknown molarity is required to reach the end point of a titration of...
JEE Main Chemistry Easy
View Solution
Q JEE MAIN 2024
Methods used for purification of organic compounds are based on :
JEE Main Chemistry Easy
View Solution
Q JEE MAINS 2024
The de-Broglie's wavelength of an electron in the $4^{\text {th }}$ orbit is $\_\_\_\_$ $\pi \mathrm{a}_0 \cdot\left(\mathrm{a}_0=\right.$ Bohr's radius $)$
JEE Main Chemistry Medium
View Solution
Q JEE MAINS 2024
Xg of ethylamine is subjected to reaction with NaNO_2/HCl followed by water; evolved dinitrogen gas which occupied 2.24 L volume...
JEE Main Chemistry Medium
View Solution
Q JEE MAIN 2024
In case of isoelectronic species the size of F^-,Ne and Na^+is affected by:
JEE Main Chemistry Easy
View Solution
Q JEE-Main_2024
A solution containing 10g of an electrolyte $\mathrm{AB}_2$ in 100g of water boils at $100.52^{\circ} \mathrm{C}$. The degree of ionization...
JEE Main Chemistry Easy
View Solution
Q JEE MAIN 2024
The molar conductivity for electrolytes A and B are plotted against $C^{1 / 2}$) as shown below. Electrolytes A and...
JEE Main Chemistry Easy
View Solution
Q JEE MAINS 2024
The number of correct reaction(s) among the following is
JEE Main Chemistry Easy
View Solution
Q JEE-Main_2024
Major product B of the following reaction has π-bond.
JEE Main Chemistry Easy
View Solution
Q JEE MAINS 2024
The enthalpy of formation of ethane (C_2 H_6 ) from ethylene by addition of hydrogen where the bondenergies of C-H,C-C,H-H...
JEE Main Chemistry Easy
View Solution
Q JEE-Main_2024
Consider the following reaction A+B→C The time taken for A to become $1 / 4^{\text {th }}$ of its initial...
JEE Main Chemistry Medium
View Solution
Q JEE-Main_2024
If 279" " g of aniline is reacted with one equivalent of benzenediazonium chloride, the mximum amount of aniline yellow...
JEE Main Chemistry Medium
View Solution
Q JEE-Main_2024
Number of molecules from the following which are exceptions to octet rule is $...
JEE Main Chemistry Easy
View Solution
Q JEE MAINS 2024
The correct order of first ionization enthalpy values of the following elements is : (A) 0 (B) N (C) Be...
JEE Main Chemistry Easy
View Solution
Q JEE MAIN 2024
An ideal gas, $\overline{\mathrm{C}}_{\mathrm{V}}=\frac{5}{2} \mathrm{R}$, is expanded adiabatically against a constant pressure of 1 atm untill it doubles in volume....
JEE Main Chemistry Hard
View Solution
Q JEE-Main_2024
The 'spin only' magnetic moment value of $\mathrm{MO}_4{ }^{2-}$ is BM. (Where M is a metal having least metallic radii....
JEE Main Chemistry Hard
View Solution
Q JEE MAIN 2024
9.3g of pure aniline is treated with bromine water at room temperature to give a white precipitate of the product...
JEE Main Chemistry Medium
View Solution
Q JEE MAINS 2024
Identify the correct set of reagents or reaction conditions ' X ' and ' Y ' in the following set...
JEE Main Chemistry Easy
View Solution
Q JEE-Main_2024
The number of optical isomers in following compound is : _____ .
JEE Main Chemistry Easy
View Solution
Q JEE MAIN 2024
In the lewis dot structure for NO_2^-, total number of valence electrons around nitrogen is
JEE Main Chemistry Easy
View Solution
Q JEE MAIN 2024
The number of halobenzenes from the following that can be prepared by Sandmeyer's reaction is .......
JEE Main Chemistry Easy
View Solution
Q JEE MAINS 2024
The Molarity (M) of an aqueous solution containing 5.85 g of NaCl in 500 mL water is i. (Given :...
JEE Main Chemistry Easy
View Solution
Q JEE-Main_2024
Number of amine compounds from the following giving solids which are soluble in NaOH upon reaction with Hinsberg's reagent is...
JEE Main Chemistry Easy
View Solution
Q JEE MAIN 2024
Among $\mathrm{CrO}, \mathrm{Cr}_2 \mathrm{O}_3$ and $\mathrm{CrO}_3$, the sum of spin-only magnetic moment values of basic and amphoteric oxides is $\_\_\_\_$...
JEE Main Chemistry Easy
View Solution
Q JEE MAIN 2024
An artificial cell is made by encapsulating 0.2M glucose solution within a semipermeable membrane. The osmotic pressure developed when the...
JEE Main Chemistry Medium
View Solution
Q JEE-Main_2024
Consider the figure provided. 1 mol of an ideal gas is kept in a cylinder, fitted with a piston, at...
JEE Main Chemistry Medium
View Solution
Q JEE MAIN 2024
During Kinetic study of reaction 2 A+B→C+D, the following results were obtained : Based on above data, overall order of...
JEE Main Chemistry Medium
View Solution
Q JEE MAINS 2024
Number of elements from the following that CANNOT form compounds with valencies which match with their respective group valencies is...
JEE Main Chemistry Medium
View Solution
Q JEE MAIN 2024
The major products from the following reaction sequence are product A and product B. The total sum of π electrons...
JEE Main Chemistry Medium
View Solution
Q JEE MAINS 2024
Identify the product in the following reaction :
JEE Main Chemistry Easy
View Solution
Q JEE MAIN 2024
The spin only magnetic moment value of the ion among Ti^(2+),V^(2+),Co^(3+) and Cr^(2+), that acts as strong oxidising agent in...
JEE Main Chemistry Hard
View Solution
Q JEE MAINS 2024
The element which shows only one oxidation state other than its elemental form is :
JEE Main Chemistry Easy
View Solution
Q JEE MAIN 2024
Frequency of the de-Broglie wave of election in Bohr's first orbit of hydrogen atom is $\times 10^{13} \mathrm{~Hz}$ (nearest integer)....
JEE Main Chemistry Easy
View Solution
Q JEE MAIN 2024
Consider the given chemical reaction sequence : Total sum of oxygen atoms in Product A and Product B are
JEE Main Chemistry Hard
View Solution
Q JEE MAINS 2024
Which of the following is the correct structure of L-Glucose?
JEE Main Chemistry Easy
View Solution
Q JEE MAIN 2024
The major product of the following reaction is P. Number of oxygen atoms present in product ' P ' is...
JEE Main Chemistry Easy
View Solution
Q JEE MAIN 2024
The heat of combustion of solid benzoic acid at constant volume is -321.30" " kJ at 〖27〗^∘ C. The heat...
JEE Main Chemistry Easy
View Solution
Q JEE MAINS 2024
Which of the following nitrogen containing compound does not give Lassaigne's test ?
JEE Main Chemistry Easy
View Solution
Q JEE MAIN 2024
In a borax bead test under hot condition, a metal salt (one from the given) is heated at point B...
JEE Main Chemistry Medium
View Solution
Q JEE MAIN 2024
9.3 g of pure aniline upon diazotisation followed by coupling with phenol gives an orange dye. The mass of orange...
JEE Main Chemistry Easy
View Solution
Q JEE MAIN 2024
The value of Rydberg constant (R_H ) is 2.18×〖10〗^(-18) " " J. The velocity of electron having mass 9.1×〖10〗^(-31) "...
JEE Main Chemistry Easy
View Solution
Q JEE MAINS 2024
Given below are two statements. Statement 1. Acidity of $\alpha$-hydrogens of aldehydes and ketones is responsible for Aldol reaction. Statement...
JEE Main Chemistry Easy
View Solution
Q JEE-Main_2024
Number of complexes with even number of electrons in $t_{2 g}$ orbitals is - $...
JEE Main Chemistry Medium
View Solution
Q JEE MAIN 2024
The number of neutrons present in the more abundant isotope of boron is ' x '. Amorphous boron upon heating...
JEE Main Chemistry Medium
View Solution
Q JEE MAIN 2024
Number of molecules from the following which can exhibit hydrogen bonding is . (nearest integer)
JEE Main Chemistry Easy
View Solution
Q JEE MAIN 2024
Match List I with List II Choose the correct answer from the options given below :
JEE Main Chemistry Easy
View Solution
Q JEE MAIN 2024
Molar ionic conductivities of divalent cation and anion are 57" " S〖" " cm〗^2 〖" " mol〗^(-1) and 73" "...
JEE Main Chemistry Easy
View Solution
Q JEE MAIN 2024
Time required for 99.9% completion of a first order reaction is time the time required for completion of 90% reaction.(nearest...
JEE Main Chemistry Easy
View Solution
Q JEE-Main 2024
Iron (III) catalyses the reaction between iodide and persulphate ions, in which A. $\mathrm{Fe}^{3+}$ oxidises the iodide ion B. $\mathrm{Fe}^{3+}$...
JEE Main Chemistry Medium
View Solution
Q JEE MAINS 2024
Which among the following is incorrect statement ?
JEE Main Chemistry Easy
View Solution
Q JEE MAIN 2024
The difference in the 'spin-only' magnetic moment values of $\mathrm{KMnO}_4$ and the manganese product formed during titration of $\mathrm{KMnO}_4$ against...
JEE Main Chemistry Easy
View Solution
Q JEE MAIN 2024
Given below are two statement : Statement I : Bromination of phenol in solvent with low polarity such as CHCl_3...
JEE Main Chemistry Easy
View Solution
Q JEE MAINS 2024
Number of molecules/ions from the following in which the central atom is involved in $\mathrm{sp}^3$ hybridization is $...
JEE Main Chemistry Hard
View Solution
Q JEE-Main 2024
Match List I with List II Choose the correct answer from the options given below :
JEE Main Chemistry Easy
View Solution
Q JEE MAIN 2024
Consider the dissociation of the weak acid HX as given below $ \mathrm{HX}(\mathrm{aq}) \rightleftharpoons \mathrm{H}^{+}(\mathrm{aq})+\mathrm{X}^{-}(\mathrm{aq}), \mathrm{Ka}=1.2 \times 10^{-5} $ $\left[\mathrm{K}_{\mathrm{a}}:\right.$...
JEE Main Chemistry Hard
View Solution
Q JEE MAIN 2024
Ail organic compound has 42.1% carbon, 6.4% hydrogen and remainder is oxygen. If its molecular weight is 342 , then...
JEE Main Chemistry Medium
View Solution
Q JEE-Main 2024
Given below are two statements: Statement I : $\mathrm{N}\left(\mathrm{CH}_3\right)_3$ and $\mathrm{P}\left(\mathrm{CH}_3\right)_3$ can act as ligands to form transition metal complexes....
JEE Main Chemistry Hard
View Solution
Q JEEE MAINS 2024
Which one of the following molecules has maximum dipole moment?
JEE Main Chemistry Easy
View Solution
Q JEE MAIN 2024
The metal that shows highest and maximum number of oxidation state is:
JEE Main Chemistry Easy
View Solution
Q JEE MAIN 2024
Match List I with List II : Choose the correct answer from the options given below :
JEE Main Chemistry Medium
View Solution
Q JEE MAIN 2024
Which of the following gives a positive test with ninhydrin?
JEE Main Chemistry Easy
View Solution
Q JEE MAIN 2024
A conductivity cell with two electrodes (dark side) are half filled with infinitely dilute aqueous solution of a weak electrolyte....
JEE Main Chemistry Medium
View Solution
Q JEE MAIN 2024
Among the following halogens $\mathrm{F}_2, \mathrm{Cl}_2, \mathrm{Br}_2$ and $\mathrm{I}_2$
JEE Main Chemistry Easy
View Solution
Q JEE MAIN 2024
The correct order of ligands arranged in increasing field strength.
JEE Main Chemistry Easy
View Solution
Q JEE MAINS 2024
Number of complexes from the following with even number of unpaired "d" electrons is
JEE Main Chemistry Hard
View Solution
Q JEE MAIN 2024
Given below are two statements : Statement I: Nitration of benzene involves the following step Statement II: Use of Lewis...
JEE Main Chemistry Easy
View Solution
Q JEE MAIN 2024
Which of the following are aromatic?Which of the following are aromatic?
JEE Main Chemistry Medium
View Solution
Q JEE-Main 2024
In the given compound, the number of $2^{\circ}$ carbon atom /s is
JEE Main Chemistry Easy
View Solution
Q JEE MAIN 2024
Given below are two statements : one is labelled as Assertion (A) and the other is labelled as Reason (R)....
JEE Main Chemistry Easy
View Solution
Q JEE MAIN 2024
At $-20^{\circ} \mathrm{C}$ and 1 atm pressure, a cylinder is filled with equal number of $\mathrm{H}_2 . \mathrm{I}_2$ and HI...
JEE Main Chemistry Easy
View Solution
Q JEE MAINS 2024
One of the commonly used electrode is calomel electrode. Under which of the following categories calomel electrode comes?
JEE Main Chemistry Easy
View Solution
Q JEE MAIN 2024
Which one of the following complexes will exhibit the least paramagnetic behaviour ? [Atomic number, Cr=24,Mn=25,Fe=26,Co=27 ]
JEE Main Chemistry Easy
View Solution
Q JEE MAINS 2024
Identify (B) and (C) and how are (A) and (C) related (B) (C) ?
JEE Main Chemistry Easy
View Solution
Q JEE MAIN 2024
The incorrect statement regarding the given structure is The incorrect statement regarding the given structure is
JEE Main Chemistry Easy
View Solution
Q JEE MAIN 2024
Which among the following aldehydes is most reactive towards nucleophilic addition reactions?
JEE Main Chemistry Easy
View Solution
Q JEE MAIN 2024
The density of ' $x$ ' M solution (' x ' molar) of NaOH is $1.12 \mathrm{~g} \mathrm{~mL}^{-1}$. while in...
JEE Main Chemistry Medium
View Solution
Q JEE MAIN 2024
An octahedral complex with the formula $\mathrm{CoCl}_3 \mathrm{nNH}_3$ upon reaction with excess of $\mathrm{AgNO}_3$ solution given 2 moles of AgCl....
JEE Main Chemistry Easy
View Solution
Q JEE MAIN 2024
Thiosulphate reacts differently with iodine and bromine in the reaction given below : $2 \mathrm{~S}_2 \mathrm{O}_3^{2-}+\mathrm{I}_2 \rightarrow \mathrm{~S}_4 \mathrm{O}_6^{2-}+2 \mathrm{I}^{-}$...
JEE Main Chemistry Easy
View Solution
Q JEE MAIN 2024
The number of element from the following that do not belong to lanthanoids is : Eu,Cm,Er,Tb,Yb and Lu
JEE Main Chemistry Easy
View Solution
Q JEE MAINS 2024
In the precipitation of the iron group (III) in qualitative analysis, ammonium chloride is added before adding ammonium hydroxide to...
JEE Main Chemistry Easy
View Solution
Q JEE MAIN 2024
14. The electron affinity value are negative for : A. Be→Be^- B. N→N^- C. O→O^(2-) D. Na→Na E. Al→Al^- Choose...
JEE Main Chemistry Medium
View Solution
Q JEE MAIN 2024
What will be the decreasing order of basic strength of the following conjugate bases? $...
JEE Main Chemistry Hard
View Solution
Q JEE MAIN 2024
Match List I with List II : Choose the correct answer from the options given below :
JEE Main Chemistry Easy
View Solution
Q JEE MAIN 2024
Consider the following complexes. The correct order of A, B, C and D in terms of wavenumber of light absorbed...
JEE Main Chemistry Easy
View Solution
Q JEE MAIN 2024
Which of the following material is not a semiconductor.
JEE Main Chemistry Easy
View Solution
Q JEE MAIN 2024
In Reimer - Tiemann reaction, phenol is converted into salicylaldehyde through an intermediate. The structure of intermediate is ______.
JEE Main Chemistry Medium
View Solution
Q JEE MAIN 2024
For the given hypothetical reactions, the equilibrium constants are as follows: The equilibrium constant for the reaction X⇌W is
JEE Main Chemistry Easy
View Solution
Q JEE MAIN 2024
Match List I and with List II Choose the correct answer from the option below :
JEE Main Chemistry Easy
View Solution
Q JEE MAIN 2024
Match List I with List-II Choose the correct answer from the option below :
JEE Main Physics Easy
View Solution
Q JEE MAIN 2024
Given below are two statements : One is labelled as Assertion A and the other is labelled as Reason R:...
JEE Main Chemistry Easy
View Solution
Q JEE MAIN 2024
The incorrect postulates of the Dalton's atomic theory are : (A) Atoms of different elements differ in mass. (B) Matter...
JEE Main Chemistry Easy
View Solution
Q JEE MAIN 2024
Identify the factor from the following that does not affect electrolytic conductance of a solution.
JEE Main Chemistry Easy
View Solution
Q JEE MAIN 2024
Identify the major products A and B respectively in the following set of reactions.
JEE Main Chemistry Easy
View Solution
Q JEE MAIN 2024
Combustion of glucose $\left(\mathrm{C}_6 \mathrm{H}_{12} \mathrm{O}_6\right)$ produces $\mathrm{CO}_2$ and water. The amount of oxygen (in g ) required for the...
JEE Main Chemistry Easy
View Solution
Q JEE MAIN 2024
Match List I with List II : Choose the correct answer from the options given below :
JEE Main Chemistry Easy
View Solution
Q JEE MAIN 2024
Which among the following compounds will undergo fastest $\mathrm{S}_{\mathrm{N}} 2$ reaction.
JEE Main Chemistry Easy
View Solution
Q JEE MAIN 2024
Which of the following statements are correct ? A. Glycerol is purified by vacuum distillation because it decomposes at its...
JEE Main Chemistry Medium
View Solution
Q JEE MAIN 2024
Given below are two statements: Statement I : IUPAC name of Compound A is 4-chloro-1, 3-dinitrobenzene: Statement II: IUPAC name...
JEE Main Chemistry Easy
View Solution
Q JEE MAIN 2024
Given below are two statements : Statement I : Gallium is used in the manufacturing of thermometers. Statement II :...
JEE Main Chemistry Easy
View Solution
Q JEE MAIN 2024
Match List I with List II : Choose the correct answer from the options given below :
JEE Main Chemistry Easy
View Solution
Q JEE MAIN 2024
The reaction at cathode in the cells commonly used in clocks involves.
JEE Main Chemistry Easy
View Solution
Q JEE MAIN 2024
DNA molecule contains 4 bases whoes structure are shown below. One of the structure is not correct, identify the incorrect...
JEE Main Chemistry Hard
View Solution
Q JEE MAIN 2024
Identify ' A ' in the following reaction :
JEE Main Chemistry Easy
View Solution
Q JEE MAIN 2024
One Faraday of electricity liberates $x \times 10^{-1}$ gram atom of copper from copper sulphate, x is _____ .
JEE Main Chemistry Easy
View Solution
Q JEE MAINS 2024
Match List -I with List II :
JEE Main Chemistry Medium
View Solution
Q JEE MAIN 2024
The ionization energy of sodium in $\mathrm{kJmol}^{-1}$. If electromagnetic radiation of wavelength 242 nm is just sufficient to ionize sodium...
JEE Main Chemistry Medium
View Solution
Q JEE MAIN 2024
Number of σ and π bonds present in ethylene molecule is respectively :
JEE Main Chemistry Easy
View Solution
Q JEE MAIN 2024
Which of the following is metamer of the given compound (X)?
JEE Main Chemistry Easy
View Solution
Q JEE MAIN 2024
Given below are two statements : Statement I: In group 13, the stability of +1 oxidation state increases down the...
JEE Main Chemistry Easy
View Solution
Q JEE MAIN 2024
Consider the following reaction at 298" " K. $\frac{3}{2} \mathrm{O}_{2(\mathrm{~g})} \rightleftharpoons \mathrm{O}_{3(\mathrm{~g})} \cdot \mathrm{K}_{\mathrm{p}}=2.47 \times 10^{-29}$ $\Delta_{\mathrm{r}} \mathrm{G}^{\Theta}$ for the...
JEE Main Chemistry Hard
View Solution
Q JEE MAIN 2024
Given below are two statements : Statement I : Picric acid is 2, 4, 6-trinitrotoluene. Statement II : Phenol-2, 4-disulphuric...
JEE Main Chemistry Easy
View Solution
Q JEE-Main 2024
Which of the following reactions are disproportionation reactions?
JEE Main Chemistry Easy
View Solution
Q JEE MAIN 2024
For the compounds : (A) H_3 C-CH_2-O-CH_2-CH_2-CH_3 (B) H_3 C-CH_2-CH_2-CH_2-CH_3 (C) (D) The increasing order of boiling point is :...
JEE Main Chemistry Easy
View Solution
Q JEE-Main 2024
Number of alkanes obtained on electrolysis of a mixture of $\mathrm{CH}_3 \mathrm{COONa}$ and $\mathrm{C}_2 \mathrm{H}_5 \mathrm{COONa}$ is ______.
JEE Main Chemistry Easy
View Solution
Q JEE MAIN 2024
Match List I with List II : Choose the correct answer from the options given below :
JEE Main Chemistry Easy
View Solution
Q JEE-Main 2024
The total number of hydrogen atoms in product A and product B is ________ .
JEE Main Chemistry Medium
View Solution
Q JEE-Main 2024
In acidic medium, K_2 Cr_2 O_7 shows oxidising action as represented in the half reaction Cr_2 O_7^(2-)+XH^++Ye^-→2" " A+ZH_2 O...
JEE Main Chemistry Easy
View Solution
Q JEE MAIN 2024
The statement(s) that are correct about the species O^(2-),F^-,Na^+and Mg^(2+). (A) All are isoelectronic (B) All have the same nuclear...
JEE Main Chemistry Easy
View Solution
Q JEE MAIN 2024
Functional group present in sulphonic acid is :
JEE Main Chemistry Easy
View Solution
Q JEE MAIN 2024
Given below are two statements : One is labelled as Assertion (A) and the other is labelled as Reason (R)...
JEE Main Chemistry Easy
View Solution
Q JEE-Main2024
The number of species from the following in which the central atom uses sp^3 hybrid orbitals in its bonding is...
JEE Main Chemistry Easy
View Solution
Q JEE-Main 2024
If one strand of a DNA has the sequence ATGCTTCA, sequence of the bases in complementary strand is:
JEE Main Chemistry Easy
View Solution
Q JEE MAIN 2024
Identify compound (Z) in the following reaction sequence
JEE Main Chemistry Easy
View Solution
Q JEE MAIN 2024
Number of compounds among the following which contain sulphur as heteroatom is Furan,Thiophene, Pyridine, Pyrrole, Cysteine, Tyrosine
JEE Main Chemistry Easy
View Solution
Q JEE-Main 2024
The product of the following reaction is P. The number of hydroxyl groups present in the product P is _______.
JEE Main Chemistry Medium
View Solution
Q JEE MAIN 2024
The following reaction occurs in the Blast furnance where iron ore is reduced to iron metal Using the Le-chatelier's principle,...
JEE Main Chemistry Easy
View Solution
Q JEE MAINS 2024
The correct sequence of ligands in the order of decreasing field strength is
JEE Main Chemistry Easy
View Solution
Q JEE MAIN 2024
Number of moles of methane required to produce $22 \mathrm{gCO}_{2(\mathrm{~g})}$ after combustion is $x \times 10^{-2}$ moles. The value of...
JEE Main Physics Easy
View Solution
Q JEE MAIN 2024
Consider the given reaction. The total number of oxygen atoms present per molecule of the product (P) is
JEE Main Chemistry Easy
View Solution
Q JEE MAIN 2024
From the compounds given below, number of compounds which give positive Fehling's test is Benzaldehyde, Acetaldehyde, Acetone, Acetophenone,Methanal, 4-nitrobenzaldehyde, cyclohexane...
JEE Main Chemistry Easy
View Solution
Q JEE MAIN 2024
The 'Spin only' Magnetic moment for $\left[\mathrm{Ni}\left(\mathrm{NH}_3\right)_6\right]^{2+}$ is $\_\_\_\_$ $\times 10^{-1} \mathrm{BM}$. ( given = Atomic number of Ni: 28)
JEE Main Chemistry Easy
View Solution
Q JEE MAIN 2024
The number of species from the following which are paramagnetic and with bond order equal to one is $...
JEE Main Chemistry Easy
View Solution
Q JEE MAIN 2024
Given below are two statements: Statement-I: The gas liberated on warming a salt with dil H_2 SO_4, turns a piece...
JEE Main Chemistry Easy
View Solution
Q JEE-Main 2024
What pressure (bar) of H_2 would be required to make emf of hydrogen electrode zero in pure water at 25^∘...
JEE Main Chemistry Easy
View Solution
Q JEE MAIN 2024
Following is a confirmatory test for aromatic primary amines. Identify reagent (A) and (B)
JEE Main Chemistry Medium
View Solution
Q JEE MAIN 2024
Given below are two statements : one is labelled as Assertion (A) and the other is labelled as Reason (R)....
JEE Main Chemistry Easy
View Solution
Q JEE MAIN 2024
The mass of sodium acetate (CH_3 COONa) required to prepare 250" " mL of 0.35M aqueous solution is _____ g....
JEE Main Chemistry Easy
View Solution
Q JEE MAIN 2024
The osmotic pressure of a dilute solution is $7 \times 10^5 \mathrm{~Pa}$ at 273 K . Osmotic pressure of the...
JEE Main Chemistry Easy
View Solution
Q JEE MAIN 2024
Molar mass of the salt from $\mathrm{NaBr}, \mathrm{NaNO}_3, \mathrm{KI}$ and $\mathrm{CaF}_2$ which does not evolve coloured vapours on heating with...
JEE Main Chemistry Medium
View Solution
Q JEE MAIN 2024
2MnO_4^-+bI^-+cH_2 O→xI_2+yMnO_2+zOH^- If the above equation is balanced with integer coefficients, the value of z is _______.
JEE Main Chemistry Easy
View Solution
Q JEE MAIN 2024
A solution of H_2 SO_4 is 31.4%H_2 SO_4 by mass and has a density of 1.25" " g/mL. The molarity...
JEE Main Chemistry Medium
View Solution
Q JEE MAIN 2024
Match List I with List II Choose the correct answer from the options given below:
JEE Main Chemistry Easy
View Solution
Q JEE MAIN 2024
□( ) 0.05" " cm thick coating of silver is deposited on a plate of 0.05〖" " m〗^2 area. The...
JEE Main Chemistry Medium
View Solution
Q JEE MAIN 2024
For the reaction N_2 O_4 (" " g)⇌2NO_2 (" " g), K_p=0.492" " atm at 300" " K.K_c for the...
JEE Main Chemistry Easy
View Solution
Q JEE MAIN 2024
The compound formed by the reaction of ethanal with semicarbazide contains _____ number of nitrogen atoms.
JEE Main Chemistry Easy
View Solution
Q JEE MAIN 2024
Consider the oxides of group 14 elements SiO_2,GeO_2,SnO_2,PbO_2,CO and GeO. The amphoteric oxides are
JEE Main Physics Easy
View Solution
Q JEE MAIN 2024
On a thin layer chromatographic plate, an organic compound moved by 3.5" " cm, while the solvent moved by 5"...
JEE Main Chemistry Easy
View Solution
Q JEE MAIN 2024
For a reaction taking place in three steps at same temperature, overall rate constant K=(K_1 〖" " K〗_2)/〖" " K〗_3...
JEE Main Chemistry Medium
View Solution
Q JEE MAIN 2024
The total number of molecular orbitals formed from 2s and 2p atomic orbitals of a diatomic molecule
JEE Main Chemistry Easy
View Solution
Q JEE MAIN 2024
The mass of zinc produced by the electrolysis of zinc sulphate solution with a steady current of 0.015 A for...
JEE Main Chemistry Easy
View Solution
Q JEE MAIN 2024
if IUPAC name of an element is "Unununnium" then the element belongs to nth group of periodic table. The value...
JEE Main Chemistry Medium
View Solution
Q JEE MAIN 2024
An ideal gas undergoes a cyclic transformation starting from the point A and coming back to the same point by...
JEE Main Chemistry Easy
View Solution
Q JEE MAIN 2024
The arenium ion which is not involved in the bromination of Aniline is .
JEE Main Chemistry Easy
View Solution
Q JEE MAIN 2024
Number of compounds with one lone pair of electrons on central atom amongst following is O_3,H_2 O,SF_4,ClF_3,NH_3,BrF_5,XeF_4
JEE Main Chemistry Easy
View Solution
Q JEE MAIN 2024
The pH at which $\mathrm{Mg}(\mathrm{OH})_2\left[\mathrm{~K}_{\mathrm{sp}}=1 \times 10^{-11}\right]$ begins to precipitate from a solution containing 0.10 M $\mathrm{Mg}^{2+}$ ions is
JEE Main Chemistry Easy
View Solution
Q JEE MAIN 2024
The rate of first order reaction is $0.04 \mathrm{~mol} \mathrm{~L}^{-1} \mathrm{~s}^{-1}$ at 10 minutes and $0.03 \mathrm{~mol} \mathrm{~L}^{-1} \mathrm{~s}^{-1}$ at...
JEE Main Chemistry Medium
View Solution
Q JEE MAIN 2024
In alkaline medium. MnO_4^-oxidises I^-to
JEE Main Chemistry Easy
View Solution
Q JEE MAIN 2024
Match List I with List II Choose the correct answer from the options given below:
JEE Main Chemistry Easy
View Solution
Q JEE MAIN 2024
Choose the correct Statements from the following: (A) Ethane-1 2-diamine is a chelating ligand. (B) Metallic aluminium is produced by...
JEE Main Chemistry Hard
View Solution
Q JEE MAIN 2024
The linear combination of atomic orbitals to form molecular orbitals takes place only when the combining atomic orbitals A. have...
JEE Main Physics Easy
View Solution
Q JEE MAIN 2024
Which of the following is not correct ?
JEE Main Chemistry Easy
View Solution
Q JEE MAIN 2024
Chlorine undergoes disproportionation in alkaline medium as shown below : a Cl_2 (" " g)+bOH^- (aq)→cClO^- (aq)+dCl^- (aq) +e_2 O(l)...
JEE Main Chemistry Easy
View Solution
Q JEE MAIN 2024
The Lassiagne's extract is boiled with dil HNO_3 before testing for halogens because,
JEE Main Chemistry Easy
View Solution
Q JEE MAIN 2024
The correct statements from following are: A. The strength of anionic ligands can be explained by crystal field theory. B....
JEE Main Chemistry Hard
View Solution
Q JEE MAIN 2024
The final product A formed in the following multistep reaction sequence is
JEE Main Chemistry Easy
View Solution
Q JEE MAIN 2024
Compound A formed in the following reaction reacts with B gives the product C. Find out A and B.
JEE Main Chemistry Easy
View Solution
Q JEE MAIN 2024
Given below are two statements: Statement I: IUPAC name of $\mathrm{HO}-\mathrm{CH}_2-\left(\mathrm{CH}_2\right)_3-\mathrm{CH}_2-\mathrm{COCH}_3$ is 7-hydroxyheptan-2-one. Statement II: 2-oxoheptan-7-ol is the correct IUPAC...
JEE Main Chemistry Easy
View Solution
Q JEE MAIN 2024
Match List-I with List-II Choose the correct answer from the options given below
JEE Main Chemistry Easy
View Solution
Q JEE MAIN 2024
Type of amino acids obtained by hydrolysis of proteins is :
JEE Main Chemistry Easy
View Solution
Q JEE MAIN 2024
Given below are two statements: One is labelled as Assertion A and the other is labelled as Reason R: Assertion...
JEE Main Chemistry Easy
View Solution
Q JEE MAIN 2024
In which one of the following metal carbonyls, CO forms a bridge between metal atoms?
JEE Main Chemistry Medium
View Solution
Q JEE MAIN 2024
Integrated rate law equation for a first order gas phase reaction is given by (where P_i is initial pressure and...
JEE Main Chemistry Medium
View Solution
Q JEE MAIN 2024
What happens to freezing point of benzene when small quantity of napthalene is added to benzene?
JEE Main Chemistry Easy
View Solution
Q JEE MAIN 2024
KMnO_4 decomposes on heating at 513" " K to form O_2 along with
JEE Main Chemistry Easy
View Solution
Q JEE MAIN 2024
Given below are two statement one is labeled as Assertion (A) and the other is labeled as Reason (R). Assertion...
JEE Main Chemistry Easy
View Solution
Q JEE MAIN 2024
'Adsorption' principle is used for which of the following purification method?
JEE Main Physics Easy
View Solution
Q JEE MAIN 2024
In the given reactions identify the reagent A and reagent B
JEE Main Chemistry Easy
View Solution
Q JEE MAIN 2024
The interaction between π bond and lone pair of electrons present on an adjacent atom is responsible for
JEE Main Chemistry Easy
View Solution
Q JEE MAIN 2024
Identify the incorrect pair from the following:
JEE Main Chemistry Easy
View Solution
Q JEE MAIN 2024
Identify correct statements from below: A. The chromate ion is square planar. B. Dichromates are generally prepared from chromates. C....
JEE Main Physics Medium
View Solution
Q JEE MAIN 2024
The final product A, formed in the following multistep reaction sequence is:
JEE Main Chemistry Easy
View Solution
Q JEE MAIN 2024
Identify product A and product B :
JEE Main Chemistry Easy
View Solution
Q JEE MAIN 2024
The correct sequence of electron gain enthalpy of the elements listed below is A. Ar B. Br C. F D....
JEE Main Chemistry Hard
View Solution
Q JEE MAIN 2024
Given below are two statements: One is labelled as Assertion A and the other is labelled as Reason R: Assertion...
JEE Main Chemistry Medium
View Solution
Q JEE MAIN 2024
Given below are two statements : one is labelled as Assertion A and the other is labelled as Reason R...
JEE Main Chemistry Easy
View Solution
Q JEE MAIN 2024
Appearance of blood red colour, on treatment of the sodium fusion extract of an organic compound with FeSO_4 in presence...
JEE Main Chemistry Easy
View Solution
Q JEE MAIN 2024
Match List-I with List-II
JEE Main Chemistry Easy
View Solution
Q JEE MAIN 2024
The product (C) in the below mentioned reaction is:
JEE Main Chemistry Easy
View Solution
Q JEE MAIN 2024
The major product (P) in the following reaction is
JEE Main Chemistry Easy
View Solution
Q JEE MAIN 2024
Structure of 4-Methylpent-2-enal is
JEE Main Chemistry Easy
View Solution
Q JEE MAIN 2024
A species having carbon with sextet of electrons and can act as electrophile is called
JEE Main Chemistry Easy
View Solution
Q JEE MAIN 2024
Example of vinylic halide is
JEE Main Chemistry Easy
View Solution
Q JEE MAIN 2024
The correct set of four quantum numbers for the valence electron of rubidium atom (Z=37) is:
JEE Main Chemistry Easy
View Solution
Q JEE MAIN 2024
The metals that are employed in the battery industries are A. Fe B. Mn C. Ni D. Cr E. Cd...
JEE Main Chemistry Easy
View Solution
Q JEE MAIN 2024
Given below are two statements: Statement-I : The orbitals having same energy are called as degenerate orbitals. Statement-II : In...
JEE Main Chemistry Easy
View Solution
Q JEE MAIN 2024
Given below are two statements : Statement I : The electronegativity of group 14 elements from Si to Pb gradually...
JEE Main Chemistry Medium
View Solution
Q JEE MAIN 2024
The compound that is white in color is
JEE Main Chemistry Easy
View Solution
Q JEE MAIN 2024
Aluminium chloride in acidified aqueous solution forms an ion having geometry
JEE Main Chemistry Easy
View Solution
Q JEE MAIN 2024
Identify the mixture that shows positive deviations from Raoult's Law
JEE Main Chemistry Easy
View Solution
Q JEE MAIN 2024
The difference in energy between the actual structure and the lowest energy resonance structure for the given compound is
JEE Main Chemistry Easy
View Solution
Q JEE MAIN 2024
Diamagnetic Lanthanoid ions are:
JEE Main Chemistry Easy
View Solution
Q JEE MAIN 2024
In chromyl chloride test for confirmation of Cl^- ion, a yellow solution is obtained. Acidification of the solution and addition...
JEE Main Chemistry Medium
View Solution
Q JEE MAIN 2024
Which of the following molecule/species is most stable?
JEE Main Chemistry Easy
View Solution
Q JEE MAIN 2024
Match List I with List II List-I List-II (Substances) (Element present) A. Ziegler catalyst I. Rhodium B. Blood Pigment II....
JEE Main Chemistry Easy
View Solution
Q JEE MAIN 2024
Give below are two statements: Statement-I : Noble gases have very high boiling points. Statement-II: Noble gases are monoatomic gases....
JEE Main Chemistry Easy
View Solution
Q JEE MAIN 2024
Given below are the two statements: one is labeled as Assertion (A) and the other is labeled as Reason (R)....
JEE Main Chemistry Easy
View Solution
Q JEE MAIN 2024
Sugar which does not give reddish brown precipitate with Fehling's reagent is:
JEE Main Chemistry Easy
View Solution
Q JEE MAIN 2024
This reduction reaction is known as:
JEE Main Chemistry Easy
View Solution
Q JEE MAIN 2024
Given below are two statements : one is labelled as Assertion A and the other is labelled as Reason R:...
JEE Main Chemistry Easy
View Solution
Q JEE MAIN 2024
In a test experiment on a model aeroplane in wind tunnel, the flow speeds on the upper and lower surfaces...
JEE Main Physics Easy
View Solution
Q JEE MAIN 2024
An electron is moving under the influence of the electric field of a uniformly charged infinite plane sheet s having...
JEE Main Physics Hard
View Solution
Q JEE MAIN 2024
When the displacement of a simple harmonic oscillator is one third of its amplitude, the ratio of total energy to...
JEE Main Physics Easy
View Solution
Q JEE MAIN 2024
A $16 \Omega$ wire is bend to form a square loop. A 9 V battery with internal resistance $1 \Omega$...
JEE Main Physics Medium
View Solution
Q JEE MAIN 2024
In a double slit experiment shown in figure, when light of wavelength 400 nm is used, dark fringe is observed...
JEE Main Physics Hard
View Solution
Q JEE MAIN 2024
The magnetic potential due to a magnetic dipole at a point on its axis situated at a distance of 20...
JEE Main Physics Medium
View Solution
Q JEE MAIN 2024
A cylinder is rolling down on an inclined plane of inclination $60^{\circ}$. It's acceleration during rolling down will be $...
JEE Main Physics Medium
View Solution
Q JEE MAIN 2024
A square loop of side 10 cm and resistance $0.7 \Omega$ is placed vertically in east-west plane. A uniform magnetic...
JEE Main Physics Medium
View Solution
Q JEE MAIN 2024
A ball rolls off the top of a stairway with horizontal velocity $u$. The steps are 0.1 m high and...
JEE Main Physics Hard
View Solution
Q JEE MAIN 2024
When a hydrogen atom going from $n=2$ to $n=1$ emits a photon, its recoil speed is $\frac{\mathrm{x}}{5} \mathrm{~m} / \mathrm{s}$....
JEE Main Physics Hard
View Solution
Q JEE MAIN 2024
Two vessels A and B are of the same size and are at same temperature. A contains 1 g of...
JEE Main Physics Easy
View Solution
Q JEE MAIN 2024
The explosive in a Hydrogen bomb is a mixture of ${ }_1 \mathrm{H}^2,{ }_1 \mathrm{H}^3$ and ${ }_3 \mathrm{Li}^6$ in...
JEE Main Physics Medium
View Solution
Q JEE MAIN 2024
A capacitor of capacitance 100μF is charged to a potential of 12 V and connected to a 6.4mH inductor to...
JEE Main Physics Easy
View Solution
Q JEE MAIN 2024
At what distance above and below the surface of the earth a body will have same weight, (take radius of...
JEE Main Physics Hard
View Solution
Q JEE MAIN 2024
A thermodynamic system is taken from an original state A to an intermediate state B by a linear process as...
JEE Main Physics Medium
View Solution
Q JEE MAIN 2024
A biconvex lens of refractive index 1.5 has a focal length of 20 cm in air. Its focal length when...
JEE Main Physics Easy
View Solution
Q JEE MAIN 2024
The deflection in moving coil galvanometer falls from 25 divisions to 5 division when a shunt of 24Ω is applied....
JEE Main Physics Easy
View Solution
Q JEE MAIN 2024
The de-Broglie wavelength of an electron is the same as that of a photon. If velocity of electron is 25%...
JEE Main Physics Medium
View Solution
Q JEE MAIN 2024
A galvanometer having coil resistance 10Ω shows a full scale deflection for a current of 3 mA. For it to...
JEE Main Physics Medium
View Solution
Q JEE MAIN 2024
If the radius of curvature of the path of two particles of same mass are in the ratio 3:4, then...
JEE Main Physics Easy
View Solution
Q JEE MAIN 2024
Match List I with List II Chose the correct answer from the options given below
JEE Main Physics Easy
View Solution
Q JEE MAIN 2024
A block of mass 100 kg slides over a distance of 10 m on a horizontal surface. If the co-efficient...
JEE Main Physics Easy
View Solution
Q JEE MAIN 2024
The resistance $\mathrm{R}=\frac{\mathrm{V}}{\mathrm{I}}$ where $\mathrm{V}=(200 \pm 5) \mathrm{V}$ and $\mathrm{I}=(20 \pm 0.2) \mathrm{A}$, the percentage error in the measurement of...
JEE Main Physics Easy
View Solution
Q JEE MAIN 2024
The potential energy function (in J ) of a particle in a region of space is given as $...
JEE Main Physics Easy
View Solution
Q JEE MAIN 2024
A body starts moving from rest with constant acceleration covers displacement $S_1$ in first (p-1) seconds and $S_2$ in first...
JEE Main Physics Medium
View Solution
Q JEE MAIN 2024
Two charges of 5Q and -2Q are situated at the points (3a,0) and (-5a,0) respectively. The electric flux through a...
JEE Main Physics Easy
View Solution
Q JEE MAIN 2024
A convex mirror of radius of curvature 30 cm forms an image that is half the size of the object....
JEE Main Physics Easy
View Solution
Q JEE MAIN 2024
Given below are two statements: Statement I : If a capillary tube is immersed first in cold water and then...
JEE Main Physics Hard
View Solution
Q JEE MAIN 2024
The electric current through a wire varies with time as $I=I_0+\beta \mathrm{t}$. where $I_0=20 \mathrm{~A}$ and $\beta=3 \mathrm{~A} / \mathrm{s}$....
JEE Main Physics Medium
View Solution
Q JEE MAIN 2024
In the given circuit, the breakdown voltage of the Zener diode is 3.0 V. What is the value of $I_z$...
JEE Main Physics Medium
View Solution
Q JEE MAIN 2024
If $\alpha$ satisfies the equation $x^2+x+1=0$ and $(1+\alpha)^7=\mathrm{A}+\mathrm{B} \alpha+\mathrm{C} \alpha^2, \mathrm{~A}, \mathrm{~B}, \mathrm{C} \geq 0$, then $5(3 \mathrm{~A}-2 \mathrm{~B}-\mathrm{C})$ is...
JEE Main Mathematics Easy
View Solution
Q JEE MAIN 2024
Let $...
JEE Main Mathematics Hard
View Solution
Q JEE MAIN 2024
Let $f(x)=x^3+x^2 f^{\prime}(1)+x f^{\prime \prime}(2)+f^{\prime \prime}(3), x \in R$. Then $f^{\prime}(10)$ is equal to
JEE Main Mathematics Medium
View Solution
Q JEE MAIN 2024
Let the set of all $a \in R$ such that the equation $\cos 2 x+a \sin x=2 a-7$ has a...
JEE Main Mathematics Medium
View Solution
Q JEE MAIN 2024
A fair die is tossed repeatedly until a six is obtained. Let $X$ denote the number of tosses required and...
JEE Main Mathematics Hard
View Solution
Q JEE MAIN 2024
If $8=3+\frac{1}{4}(3+p)+\frac{1}{4^2}(3+2 p)+\frac{1}{4^3}(3+3 p)+\cdots \infty$, then the value of $p$ is
JEE Main Mathematics Easy
View Solution
Q JEE MAIN 2024
Let the area of the region $...
JEE Main Mathematics Medium
View Solution
Q JEE MAIN 2024
If the solution of the differential equation $(2 x+3 y-2) d x+(4 x+6 y-7) d y=0, y(0)=3$, is $...
JEE Main Mathematics Medium
View Solution
Q JEE MAIN 2024
Let for a differentiable function $f:(0, \infty) \rightarrow R$, $f(x)-f(y) \geq \log _{\varepsilon}\left(\frac{x}{y}\right)+x-y, \forall x, y \in(0, \infty).$ Then $...
JEE Main Mathematics Hard
View Solution
Q JEE MAIN 2024
The least positive integral value of $\alpha$, for which the angle between the vectors $\alpha \hat{\imath}-2 \hat{\jmath}+2 k$ and $...
JEE Main Mathematics Easy
View Solution
Q JEE MAIN 2024
The function $\mathrm{f}: \mathrm{N}-\{1\} \rightarrow \mathrm{N}$; defined by $\mathrm{f}(\mathrm{n})=$ the highest prime factor of $n$, is :
JEE Main Mathematics Easy
View Solution
Q JEE MAIN 2024
Consider the matrix $...
JEE Main Mathematics Medium
View Solution
Q JEE MAIN 2024
If $a=\lim _{x \rightarrow 0} \frac{\sqrt{1+\sqrt{1+x^4}}-\sqrt{2}}{x^4}$ and $b=\lim _{x \rightarrow 0} \frac{\sin ^2 x}{\sqrt{2}-\sqrt{1+\cos x}}$, then the value of $...
JEE Main Mathematics Hard
View Solution
Q JEE MAIN 2024
Let $\overrightarrow{\mathrm{a}}=\hat{\imath}+2 \hat{\jmath}+\mathrm{k}, \overrightarrow{\mathrm{b}}=3(\hat{\imath}-\hat{\jmath}+\mathrm{k})$. Let $\vec{c}$ be the vector such that $\vec{a} \times \vec{c}=\vec{b}$ and $\vec{a} \cdot \vec{c}=3$. Then $...
JEE Main Mathematics Medium
View Solution
Q JEE MAIN 2024
The portion of the line $4 x+5 y=20$ in the first quadrant is trisected by the lines $\mathrm{L}_1$ and $\mathrm{L}_2$...
JEE Main Mathematics Easy
View Solution
Q JEE MAIN 2024
The length of the chord of the ellipse $\frac{x^2}{25}+\frac{y^2}{16}=1$, whose mid point is $\left(1, \frac{2}{5}\right)$, is equal to :
JEE Main Mathematics Medium
View Solution
Q JEE MAIN 2024
Let $a_1, a_2, \ldots . . a_{10}$ be 10 observations such that $\sum_{\mathrm{k}=1}^{10} \mathrm{a}_{\mathrm{k}}=50$ and $\sum_{\forall \mathrm{k}
JEE Main Mathematics Medium
View Solution
Q JEE MAIN 2024
Consider the function $f(x)=\left\{\begin{array}{cl} \frac{a\left(7 x-12-x^2\right)}{b\left|x^2-7 x+12\right|} & , x3 \\ b & , x=3 \end{array}\right.$ Where $[\mathrm{x}]$ denotes the...
JEE Main Mathematics Medium
View Solution
Q JEE MAIN 2024
Four distinct points (2k,3k),(1,0),(0,1) and (0,0) lie on a circle for k equal to :
JEE Main Mathematics Easy
View Solution
Q JEE MAIN 2024
If $S=\{z \in C:|z-i|=|z+i|=|z-1|\}$, then, $n(S)$ is:
JEE Main Mathematics Easy
View Solution
Q JEE MAIN 2024
Let $S=\{1,2,3, \ldots, 10\}$. Suppose M is the set of all the subsets of S , then the relation $...
JEE Main Mathematics Medium
View Solution
Q JEE MAIN 2024
If $\int_0^1 \frac{1}{\sqrt{3+x}+\sqrt{1+x}} d x=a+b \sqrt{2}+c \sqrt{3}$, where $\mathrm{a}, \mathrm{b}, \mathrm{c}$ are rational numbers, then $2 \mathrm{a}+3 \mathrm{~b}-4 \mathrm{c}$ is...
JEE Main Mathematics Medium
View Solution
Q JEE MAIN 2024
If the shortest distance between the lines $\frac{x-4}{1}=\frac{y+1}{2}=\frac{z}{-3}$ and $\frac{x-\lambda}{2}=\frac{y+1}{4}=\frac{z-2}{-5}$ is $\frac{6}{\sqrt{5}}$, then the sum of all possible values of...
JEE Main Mathematics Easy
View Solution
Q JEE MAIN 2024
If the shortest distance of the parabola $y^2=4 x$ from the centre of the circle $x^2+y^2-4 x-16 y+64=0$ is d...
JEE Main Mathematics Medium
View Solution
Q JEE MAIN 2024
The number of common terms in the progressions 4,9,14,19,....., up to 25th term and 3,6,9,12, up to 37th term is...
JEE Main Mathematics Easy
View Solution
Q JEE MAIN 2024
If A denotes the sum of all the coefficients in the expansion of $\left(1-3 x+10 x^2\right)^n$ and B denotes the...
JEE Main Mathematics Easy
View Solution
Q JEE MAIN 2024
If $(a, b)$ be the orthocentre of the triangle whose vertices are $(1,2),(2,3)$ and $(3,1)$, and $...
JEE Main Mathematics Medium
View Solution
Q JEE MAIN 2024
Let $x=x(t)$ and $y=y(t)$ be solutions of the differential equations $\frac{\mathrm{dx}}{\mathrm{dt}}+\mathrm{ax}=0$ and $\frac{\mathrm{dy}}{\mathrm{dt}}+\mathrm{by}=0$ respectively, $\mathrm{a}, \mathrm{b} \in \mathrm{R}$. Given that...
JEE Main Mathematics Medium
View Solution
Q JEE MAIN 2024
The distance, of the point (7,-2,11) from the line $\frac{x-6}{1}=\frac{y-4}{0}=\frac{z-8}{3}$ along the line $\frac{x-5}{2}=\frac{y-1}{-3}=\frac{z-5}{6}$, is :
JEE Main Mathematics Medium
View Solution
Q JEE MAIN 2024
${ }^{n-1} C_r=\left(k^2-8\right)^n C_{r+1}$ if and only if :
JEE Main Mathematics Hard
View Solution
Q JEE MAIN 2024
From the given list, the number of compounds with +4 oxidation state of Sulphur $...
JEE Main Chemistry Easy
View Solution
Q JEE MAIN 2024
Sum of bond order of CO and $NO^+$ is
JEE Main Chemistry Easy
View Solution
Q JEE MAIN 2024
The number of electrons present in all the completely filled subshells having $\mathrm{n}=4$ and $\mathrm{s}=+\frac{1}{2}$ is (Where $\mathrm{n}=$ principal quantum...
JEE Main Chemistry Easy
View Solution
Q JEE MAIN 2024
Among the following, total number of meta directing functional groups is (Integer based) $\begin{aligned} & -\mathrm{OCH}_3,-\mathrm{NO}_2,-\mathrm{CN},-\mathrm{CH}_3-\mathrm{NHCOCH}_3 \\ & -\mathrm{COR},-\mathrm{OH},-\mathrm{COOH},-\mathrm{Cl}\end{aligned}$
JEE Main Chemistry Easy
View Solution
Q JEE MAIN 2024
Among the given organic compounds, the total number of aromatic compounds is
JEE Main Chemistry Medium
View Solution
Q JEE MAIN 2024
3-Methylhex-2-ene on reaction with HBr in presence of peroxide forms an addition product (A). The number of possible stereoisomers for...
JEE Main Chemistry Medium
View Solution
Q JEE MAIN 2024
If three moles of an ideal gas at 300 K expand isotherrnally from $30dm^3$ to $45dm^3$ against a constant opposing...
JEE Main Chemistry Medium
View Solution
Q JEE MAIN 2024
Mass of methane required to produce 22 g of $CO_2$ after complete combustion is g. (Given Molar mass in g...
JEE Main Chemistry Easy
View Solution
Q JEE MAIN 2024
Consider the following data for the given reaction $2 \mathrm{HI}_{(\mathrm{g})} \rightarrow \mathrm{H}_{2(\mathrm{~g})}+\mathrm{I}_{2(\mathrm{~g})}$ The order of the reaction is
JEE Main Chemistry Easy
View Solution
Q JEE MAIN 2024
The mass of silver (Molar mass of $Ag:108gmol^{-1}$) displaced by a quantity of electricity which displaces 5600 mL of $O_2$...
JEE Main Chemistry Easy
View Solution
Q JEE MAIN 2024
The electronic configuration for Neodymium is: [Atomic Number for Neodymium 60]
JEE Main Chemistry Easy
View Solution
Q JEE MAIN 2024
The correct statement regarding nucleophilic substitution reaction in a chiral alkyl halide is ;
JEE Main Chemistry Easy
View Solution
Q JEE MAIN 2024
NaCl reacts with conc. $H_2 SO_4$ and $K_2Cr_2O_7$ to give reddish fumes (B), which react with NaOH to give yellow...
JEE Main Chemistry Medium
View Solution
Q JEE MAIN 2024
IUPAC name of following compound (P) is :
JEE Main Chemistry Easy
View Solution
Q JEE MAIN 2024
Given below are two statements : Statement (I) : Aqueous solution of ammonium carbonate is basic. Statement (II) : Acidic/basic...
JEE Main Chemistry Medium
View Solution
Q JEE MAIN 2024
Yellow compound of lead chromate gets dissolved on treatment with hot NaOH solution. The product of lead formed is a...
JEE Main Chemistry Easy
View Solution
Q JEE MAIN 2024
Cyclohexene is _______ type of an organic compound.
JEE Main Chemistry Easy
View Solution
Q JEE MAIN 2024
Given below are two statements : one is labelled as Assertion (A) and the other is labelled as Reason (R)....
JEE Main Chemistry Easy
View Solution
Q JEE MAIN 2024
The ascending order of acidity of -OH group in the following compounds is : Choose the correct answer from the...
JEE Main Chemistry Easy
View Solution
Q JEE MAIN 2024
Given below are two statements : Statement (I) : p-nitrophenol is more acidic than m-nitrophenol and o-nitrophenol. Statement (II) :...
JEE Main Chemistry Easy
View Solution
Q JEE MAIN 2024
Given below are two statements : Statement (I) : The 4f and 5f - series of elements are placed separately...
JEE Main Chemistry Easy
View Solution
Q JEE MAIN 2024
Choose the polar molecule from the following :
JEE Main Chemistry Easy
View Solution
Q JEE MAIN 2024
Consider the following complex ions $\begin{aligned} & \mathrm{P}=\left[\mathrm{FeF}_6\right]^{3-} \\ & \mathrm{Q}=\left[\mathrm{V}\left(\mathrm{H}_2 \mathrm{O}\right)_6\right]^{2+} \\ & \mathrm{R}=\left[\mathrm{Fe}\left(\mathrm{H}_2 \mathrm{O}\right)_6\right]^{2+}\end{aligned}$ The correct order of...
JEE Main Chemistry Easy
View Solution
Q JEE MAIN 2024
A solution of two miscible liquids showing negative deviation from Raoult's law will have :
JEE Main Chemistry Easy
View Solution
Q JEE MAIN 2024
Which of the following has highly acidic hydrogen?
JEE Main Chemistry Easy
View Solution
Q JEE MAIN 2024
Which of the following electronic configuration would be associated with the highest magnetic moment?
JEE Main Chemistry Easy
View Solution
Q JEE MAIN 2024
Highest enol content will be shown by :
JEE Main Chemistry Easy
View Solution
Q JEE MAIN 2024
Two nucleotides are joined together by a linkage known as :
JEE Main Chemistry Easy
View Solution
Q JEE MAIN 2024
If average depth of an ocean is 4000 m and the bulk modulus of water is $2 \times 10^9 \mathrm{Nm}^{-2}$,...
JEE Main Physics Medium
View Solution
Q JEE MAIN 2024
The charge accumulated on the capacitor connected in the following circuit is $\mu \mathrm{C} ($ Given $\mathrm{C}=150 \mu \mathrm{~F})$
JEE Main Physics Medium
View Solution
Q JEE MAIN 2024
Two long, straight wires carry equal currents in opposite directions as shown in figure. The separation between the wires is...
JEE Main Physics Medium
View Solution
Q JEE MAIN 2024
A particle executes simple harmonic motion with an amplitude of 4 cm . At the mean position, velocity of the...
JEE Main Physics Easy
View Solution
Q JEE MAIN 2024
Four particles each of mass 1kg are placed at four corners of a square of side 2 m. Moment of...
JEE Main Physics Easy
View Solution
Q JEE MAIN 2024
In a nuclear fission process, a high mass nuclide $(\mathrm{A} \approx 236)$ with binding energy $7.6 \mathrm{MeV} /$ Nucleon dissociated...
JEE Main Physics Easy
View Solution
Q JEE MAIN 2024
Two immiscible liquids of refractive indices $\frac{8}{5}$ and $\frac{3}{2}$ respectively are put in a beaker as shown in the figure....
JEE Main Physics Easy
View Solution
Q JEE MAIN 2024
Two coils have mutual inductance 0.002H. The current changes in the first coil according to the relation $i=i_0$ sin⁡ωt, where...
JEE Main Physics Medium
View Solution
Q JEE MAIN 2024
A thin metallic wire having cross sectional area of $10^{-4}m^2$ is used to make a ring of radius 30 cm....
JEE Main Physics Hard
View Solution
Q JEE MAIN 2024
A particle starts from origin at $t = 0$ with a velocity $5{\rm{\hat im}}/{\rm{s}}$ and moves in $x - y$...
JEE Main Physics Medium
View Solution
Q JEE MAIN 2024
The average kinetic energy of a monatomic molecule is 0.414eV at temperature : (Use $K_B=1.38×10^{-23}J/mol-K$)
JEE Main Physics Medium
View Solution
Q JEE MAIN 2024
A wire of resistance R and length L is cut into 5 equal parts. If these parts are joined parallely,...
JEE Main Physics Easy
View Solution
Q JEE MAIN 2024
A wire of length 10 cm and radius $\sqrt 7 \times {10^{ - 4}}\;{\rm{m}}$ connected across the right gap of...
JEE Main Physics Hard
View Solution
Q JEE MAIN 2024
Given below are two statements : Statement (I) : Planck's constant and angular momentum have same dimensions. Statement (II) :...
JEE Main Physics Medium
View Solution
Q JEE MAIN 2024
A plane electromagnetic wave propagating in x -direction is described by $...
JEE Main Physics Medium
View Solution
Q JEE MAIN 2024
A convex lens of focal length 40 cm forms an image of an extended source of light on a photoelectric...
JEE Main Physics Easy
View Solution
Q JEE MAIN 2024
An electric charge ${10^{ - 6}}\mu {\rm{C}}$ is placed at origin (0, 0)m of X-Y co-ordinate system. Two points P...
JEE Main Physics Easy
View Solution
Q JEE MAIN 2024
A rectangular loop of length 2.5 m and width 2m is placed at $60^∘$ to a magnetic field of 4T....
JEE Main Physics Easy
View Solution
Q JEE MAIN 2024
The radius of third stationary orbit of electron for Bohr's atom is R. The radius of fourth stationary orbit will...
JEE Main Physics Easy
View Solution
Q JEE MAIN 2024
0.08 kg air is heated at constant volume through $5^∘$ C. The specific heat of air at constant volume is...
JEE Main Physics Medium
View Solution
Q JEE MAIN 2024
Two bodies of mass 4g and 25g are moving with equal kinetic energies. The ratio of magnitude of their linear...
JEE Main Physics Easy
View Solution
Q JEE MAIN 2024
Identify the physical quantity that cannot be measured using spherometer :
JEE Main Physics Medium
View Solution
Q JEE MAIN 2024
Which of the following circuits is reverse - biased ?
JEE Main Physics Easy
View Solution
Q JEE MAIN 2024
A train is moving with a speed of 12m/s on rails which are 1.5 m apart. To negotiate a curve...
JEE Main Physics Easy
View Solution
Q JEE MAIN 2024
The acceleration due to gravity on the surface of earth is g. If the diameter of earth reduces to half...
JEE Main Physics Easy
View Solution
Q JEE MAIN 2024
A proton moving with a constant velocity passes through a region of space without any change in its velocity. If...
JEE Main Physics Medium
View Solution
Q JEE MAIN 2024
If the refractive index of the material of a prism is $\cot \left(\frac{A}{2}\right)$, where A is the angle of prism...
JEE Main Physics Easy
View Solution
Q JEE MAIN 2024
Given below are two statements : Statement (I) :Viscosity of gases is greater than that of liquids. Statement (II) :...
JEE Main Physics Easy
View Solution
Q JEE MAIN 2024
Position of an ant ( S in metres) moving in Y-Z plane is given by $S=2 t^2 \hat{\jmath}+5 \hat{k}$ (where...
JEE Main Physics Easy
View Solution
Check this project | Best Developer Portfolio